高中阶段数学核心素养包括:数学抽象,逻辑推理,数学建模,直观抽象( ),数据分析。
学生对数学学习活动不应只接受记忆,模仿,练习。高中数学还应倡导自主搜索、( )、合作交流、阅读自学等学习数学的模式,这些方式应有助于学生学习的主动性。
人们在学习数学和运用数学解决问题时,不断地经历直观感知、观察发现、归纳类比、空间想象、抽象概括、符号表示、运算求解、数据处理、演绎证明等,这些过程是( )的具体表现,有助于学生对客观事物中蕴含的数学模式进行思考和做出判断。
近几年我国大学、中学数学建模的实验表明,开展数学运用的数学活动有利于激发学生学习数学的兴趣,有利于激发学生的应用意识,有利于( )。
评价是关注学生数学学习的结果,也是关注他们学习的过程,既要关注学生学习的水平,也要关注他们数学活动中表现出来的( )变化,在数学教育中评价应对应多元化目标。
数学探究即数学探究性课题学习,是指学生围绕数学问题自主探索、学习的过程,这个过程包括( ),提出有意义的数学问题,猜测、探究适当的数学结论。
数学建模是数学学习的一种新方式,它为学生提供了自主学习的空间,有助于学生体验数学解决实际问题的过程,( ),有助于激发学生学习数学的兴趣。
通过在高中阶段数学文化的学习,学生将初步了解数学科学与人类社会发展之间的相互作用,体验数学的学科价值,应用价值,人文价值,开阔视野,寻求数学进步的历史痕迹,激发对于数学创新原动力的认识,受到优秀文化的熏陶,领会数学的( )价值,从而提高自我的文化修养。
设集合A=
,B=
,若A⊆,B则实数a的取值范围为( )。
设
,则f[f(3)]的值( )。
给定映射f(x,y)→(x+2y,2x-y),在映射f的作用下,(3,1)的原象为( )。
,
)要求完成下列两项调查:
①从某社区125户高收入家庭,280户中等收入家庭,95户低收入家庭中选出100户调查社会购买力某项指标;
②从某中学的15名艺术特长生中选出3人调查学习负担情况,他们用的抽样方法依次是( )。
一个射手进行射击,记事件E1:脱靶,E2:中靶,E3:中靶环数大于4,E4:中靶环数小于5,则上述事件中,互斥而又不对立只有( )。
如果茎叶图记录了甲、乙两组数据各五名学生一次英语听力测试的成绩。已知甲组数据的中位数为15,乙组数据的平均数为16.8,则x,y分别为( )。

已知平面向量
=(2, -1),
=(1, 3)。那么
等于( )。


若l、m、n是互不相同的空间曲线,α、β是不重合的平面,则下列命题为真命题的是( )。
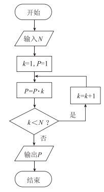
执行如图所示的程序图,如果输入的N是6,那么输出的P是( )。

公比为2的等比数列{
}的各项数都是正数,且
,则
为( )。
下表是某厂1-4月份用水量(单位:百吨)的一组数据:

由散点图可知,用水量y与月份x之间有较好的线性相关关系,其回归直线方程y=-0.7x+a,则a等于( )。
若
,则
的值为( )。



函数y=Asin(ωx+φ)(A>0,ω>0)的部分图像,如图所示,则f(1)+f(2)+f(3)+……+f(11)等于( )。




某几何体的三视图如图所示,则此几何体的体积为( )。




如图所示是曾经在北京召开的国际数学大会的会标,它是由4个相同的直角三角形与中间的小正方形拼成的一个大正方形。若直角三角形中较小的锐角为θ,大正方形的面积是1,小正方形的面积是
,则
的值等于( )。




在△ABC中,角A、B、C所对的边分别为a、b、c,△ABC的面积为S,若acosB+bcosA=csinC,
,则B为( )。
已知2a+1<0,关于x的不等式
的解集是( )。
在△ABC中,角A、B、C所对的边分别为a、b、c,且
,则B的取值范围是( )。
]
,π]
]
,π)设
是等差数列{
}的前几项和,若
,则
的值为( )。



设向量
、
为互相垂直的单位向量,
,且
与
的夹角为锐角,则实数m的取值范围是( )。
,+∞)
)
)∪(
,+∞)
)在某次数学测试中,学生成绩ξ服从正态分布N(100,
)(σ>0),若ξ在(80,120)内的概率为0.8,则ξ≤80的概率为( )。
如图,正方形
中E、F、G、H分别为
、AB、
、
的中点,则异面直线EF与GH所成的角等于( )。

xsina+y+2=0的倾斜角是( )。
] ∪[
,π]
]
] ∪[
,π)命题p:关于x的不等式
解集为{x|x≥2},命题q:若函数
的值恒小于0,则-4
”为假
”为假
集中装有大小形状相同,编号分别为1、2、3、4的4个白球和4个黑球,从中取出3个球,则取出球的编号互不相同的取法种数为( )。
等比数列{
}中,命题p:正整数m,n,k满足m+n=2k是命题
成立的( )。
若双曲线
(a>0,b>0)的右支上到原点和右焦点的距离相等的点有两个,则双曲线离心率的取值范围是( )。

若不等式组
,表示面积为1的直角三角形区域,则实数k的值为( )。
在Rt∆ABC中,∠C=90°,∠B=60°,BC=1,以AC为轴将Rt∆ABC旋转一周所得的几何体的外接球的表面积为( )。



方程
(a∈R)有实根b,且Z=a+bi,则Z为( )。
设
,则f'(1)等于( )。
+ln10如图,已知圆的半径为10,其内接三角形ABC的内角A,B分别为60°和45°,现向圆内随机撒一粒豆子,则豆子落在三角形ABC内的概率为( )。





在4次独立重复实验中,随机事件A恰好发生1次的概率不大于其恰好发生两次的概率,则事件A在一次试验中发生的概率的取值范围是( )。
若
,则在
的展开中,含
项的系数为( )。
一射手对靶射击,直到命中为止,每次命中的概率为0.6,现有4颗子弹,命中后的剩余子弹数目ξ的期望值为( )。
若曲线
在点(0,6)处的切线方程是x-y+1=0,则( )。
直线
,(t为参数)截圆
得劣弧所对的圆心角是( )。
不等式
恒成立,则实数a的取值范围是( )。
)
]以抛物线C:
(p>0)的顶点为圆心的圆,交抛物线C于A,B两点,交抛物线C的准线于D,E两点,已知
,
,则抛物线C的焦点到准线的距离为( )。
已知椭圆C:
(a>b>0)的图像经过点A(0,1)和B(1,
)。
(1)求椭圆C的方程;
(2)若直线l与椭圆C交与不同的两点M、N(M、N不是左、右顶点)G是椭圆C的右顶点,且
=0,证明直线l过定点,并求出定点的坐标。
设
,其中a∈R。
(1)若曲线y=f(x)在点(1,f(1))处的切线与y轴相交于点(0,6)求函数f(x)的单调区间。
(2)设f'(x)是函数y等于f(x)的导函数,
,讨论g(x)= f'(x)的零点个数。
若等边三角形ABC的边长为
,平面内一点M满足
,求
的值。
(1)用“直角坐标系”方法、“非直角坐标系”方法分别求解;
(2)以本题为例,说说“一题多解”的意义和作用;
(3)谈谈你在实际教学过程中,如何渗透向量思想方法?
