初中化学课程标准中确立了化学课程改革的基本理念,下列选项与之无关的是( )。
课程改革要求依据学生的已有经验,心理发展水平和全面发展的需求选择化学课程内容,初中化学课程内容主要包括( )。
①科学探究
②身边的化学物质
③情感、态度、价值观
④物质的化学变化
⑤知识与技能
⑥物质构成的奥秘
⑦化学与社会发展
⑧过程与方法
科学探究,是学生积极主动地获取化学知识,认识和解决化学问题的重要实践活动。初中化学对科学探究主题的内容和学习目标提出的具体要求有( )。
①增进对科学探究的理解
②发展科学探究能力
③学习基本的实验技能
④学生的实验活动
物质构成的奥秘部分内容旨在帮助学生用微粒的观念去学习化学,通过观察、想象、类比、模型化的方法使学生初步理解化学现象的本质,其教学特点包括( )。
①宏观到微观
②定性到定量
③实验与理解
提问是课堂教学基本技能之一,化学课堂提问有一些基本要求,初中化学课堂提问不包括( )。
下列有关初中化学课程评价的说法不正确的是( )。
下列符合化学实验“绿色化学”的有( )。
①在萃取操作的演示实验中,将
萃取溴水改为
萃取碘水
②在铜和浓硝酸反应的实验中,将铜片改为可调节高度的铜丝
③将实验室的废酸液和废碱液中和后再排放
可用如图装置制取(必要时可加热)、净化、收集的气体是( )。

分类是化学研究中常用的方法。下列分类方法不正确的是( )。
①根据元素原子最外层电子数的多少将元素分为金属和非金属
②根据电解质在水溶液中能否完全电离将电解质分为强电解质和弱电解质
③依据组成元素的种类,将纯净物分为单质和化合物
④根据酸分子中含有的氢原子个数,将酸分为一元酸、二元酸等
⑤根据氧化物中是否含有金属元素,将氧化物分为碱性氧化物﹑酸性氧化物
⑥根据分散系的稳定性大小,将分散系分为胶体、浊液和溶液
⑦根据化学反应的热效应,将化学反应分为放热反应、吸热反应
现代以石油化工为基础的三大合成材料是( )。
①合成氨
②塑料
③医药
④合成橡胶
⑤合成尿素
⑥合成纤维
⑦合成洗涤剂
下列图示实验合理的是( )。


气体化学与生活、社会密切相关。下列说法不正确的是( )。
几种物质的溶解度曲线如右图,则下列说法正确的是( )。

中学化学教材中有大量数据,下列是某同学对数据的利用情况,其中正确的是( )。
实验室不能长期放置的试剂是( )。
①酚酞溶液
②银氨溶液
③稀硫酸
④
溶液(加少量
)
⑤氢硫酸
⑥
悬浊液
⑦
溶液
⑧石灰水
溶液、
胶体共同具备的性质是( )。
溶液都发生聚沉
和
是氧元素的两种核素,
表示阿伏加德罗常数,下列说法正确的是( )。
与
互为同分异构体
与
核外电子排布方式不同
与
间的相互转化
和1.12L
,均含有0.1
个氧原子某物质结构简式如下图所示,有关该物质的说法中正确的是( )。

溶液呈紫色
该物质分别与浓溴水和
,反应时最多消耗
和
的物质的量分别为4
和7
溶液振荡,紫色褪去能证明其结构中存在碳碳双键下列实验事实中能用勒夏特列原理来解释的是( )。
的生成
⇌
当反应达到平衡时,下列措施:①升温;②恒容通入惰性气体;③增加CO的浓度;④减压;⑤加催化剂;⑥恒压通入惰性气体,能提高
转化率的是( )。
温室下,下列叙述正确的是(溶液体积变化忽略不计)( )。



,则
25℃时,在
的饱和溶液中
⇌
,在该温度下有关
的溶度积和溶解平衡的叙述正确的是( )。
的
溶液中加入
固体,
增大
固体,则
的溶度积常数增大
固体,则该溶液中
固体,则该溶液中
减小X、Y、Z是短周期的三种主族元素,在周期表中的位置如图所示,下列说法正确的是( )。

碱金属与卤素所形成的化合物大都具有的性质是( )。
①高沸点;
②能溶于水;
③水溶液能导电;
④低熔点;
⑤熔融状态不导电
100℃时,
,将100℃时pH=10的
溶液和pH=1的
,混合,所得混合溶液的pH=2,则
溶液和
溶液的体积比是( )。
已知下述三个实验均能发生化学反应。下列判断正确的是( )。
①将铁钉放入硫酸铜溶液中
②向硫酸亚铁溶液中滴入几滴浓硝酸
③将铁钉放入氯化铁溶液中

既显氧化性又显还原性
下列叙述中,不正确的是( )。
①原子晶体中只含有极性键
②金属在常温时都以晶体形式存在
③每个水分子内含有两个氢键
④分子晶体中一定有分子间作用力,有的还可能有氢键
下列离子方程式书写正确的是( )。




下列有关原电池的叙述中,错误的是( )。
某化合物由碳、氢、氧三种元素组成,其红外光谱图有
键,
键、
键的振动吸收,该有机物的相对分子质量是60,则该有机物的结构简式是( )。




二甘醇可用作溶剂,纺织助剂等,一旦进入人体会导致急性肾衰竭,危及生命。二甘醇的结构简式是
。下列有关二甘醇的叙述正确的是( )。

已知
呈正八面体结构,若其中有两个
分子分别被
取代,所形成的
的几何异构体种数有(不考虑光学异构)多少种( )。

下列化合物中,在核磁共振氢谱图中能给出3种信号峰的是( )。
在一定条件下发生加聚反应生成
的单体是( )。


下列有机物:①乙醇;②苯酚;③甲醚;④丙三醇的沸点由高到低的顺序是( )。
1,2-二氯乙烯可以形成
和
两种不同的空间异构体。下列物质中,能形成类似上述两种空间异构的是( )。




属于苯的同系物的是( )。




某有机物的结构简式如下图,则此有机物可发生反应的类型有( )。

①取代反应;
②加成反应;
③消去反应;
④水解反应;
⑤氧化反应;
⑥加聚反应
能够鉴定氯乙烷中氯元素的存在的操作是( )。
溶液
溶液
溶液,加热后加入稀硝酸酸化,然后加入
溶液
的乙醇溶液,加热后加入
。向一容积为1L的密闭容器中加入一定量的X、Y,发生化学反应
⇌
。下图是容器中X、Z的物质的量浓度随时间变化的曲线。根据以上信息判断,下列说法中正确的是( )。

金属材料是工农业生产和人们生活离不开的材料之一,人类每年要从自然界获取大量的金属材料资源。
探究铁、铜、银三种金属活动性强弱。下面为某同学的实验方案,我们一起对实验分析、完善并归纳。
【实验药品】铁片、铜片、银片、20%稀硫酸、
,溶液、
溶液、
溶液
【提出假设】三种金属的活动性强弱为:
【实验方案】取体积相等的金属片,用砂纸打磨光亮;分别进行下列实验操作。

【观察分析】
(1)上述实验中能观察到金属表面有气泡产生的是 ① (填字母A、B、C)。
(2)我国古代“湿法炼铜”就是利用了实验试管D中的反应原理,该反应属于 ②反应(填:基本反应类型)。
【方案完善】通过上述实验还不能证明铁、铜、银三种金属的活动性强弱,请你在此基础上补充一个实验以达到实验目的。
实验操作步骤③实验现象 ④ 结论 ⑤ 。
【讨论归纳】根据上述实验探究过程,请你归纳探究金属活动性强弱的方法一般有: ⑥ 。
【拓展运用】
(1)向一定量的铁粉中逐滴加入稀硫酸至过量,右图是反应过程中某种物质的质量Y随加入稀硫酸的质量变化的关系,则Y不可能表示 ⑦ 。

A.消耗铁粉的质量
B.生成硫酸亚铁的质量
C.溶液的总质量
D.生成氢气的质量
(2)铜的化学性质比铁稳定,但铜在一定条件下也会生锈。某化学兴趣小组用A~D装置探究铜生锈的条件(A、B、D中均为煮沸过的蒸馏水,B中试管上层充满
,C中放有干燥剂,向D中通入空气,一段时间后将试管密封)。

十天后发现,只有A中铜生锈,且水面处铜生锈较严重。铜生锈的条件是 ⑧ 。
(3)实验室废液中含有硝酸银、硝酸铜,实验小组利用稀硫酸和铁粉分别回收银和铜,设计如下方案。先在废液中加入过量的铁粉,充分反应后过滤得到滤渣A。再对滤渣A按如下流程图处理:

a.先在废液中加入过量的铁粉。
b.含有硫酸亚铁的滤液有 ⑨ (填框图中字母)。
c.如果在过滤操作中发现滤液浑浊﹐在仪器洁净、滤纸未破损的前提下,你认为滤液的浑浊的原因可能是 ⑩ 。
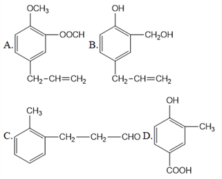
A,B,C,D四种芳香族化合物的结构简式如下所示,请回答下列问题:

(1)写出A中无氧官能团的名称 ① ,用上图中的A、B、C、D填空:能发生银镜反应的有 ② ;
(2)按下图C经过一步反应可生成E,E是B的同分异构体,
则反应①的反应类型为③,写出反应②的化学方程式: ④ ;
(3)G、H和D互为同分异构体,它们具有如下特点:
①G和H都是苯二元取代物,这两个取代基分别为羟基和含有结构的基团;
②G和H苯环上的一氯代物有两种不同结构;
③G可以发生银镜反应,H分子中苯环不与取代基碳原子直接相连。
写出G的结构简式为 ⑤ 。
氯乙烯是合成聚氯乙烯(PVC)的单体。乙烯氧氯化法是生产氯乙烯的主要方法。分三步进行(如图所示):

(1)下列关于乙烯、氯乙烯和聚氯乙烯的说法中,正确的是 ① (填字母)。
A.都能在氧气中燃烧
B.都能发生加成反应使溴水褪色
C.都能使酸性高锰酸钾溶液褪色
D.氯乙烯分子中所有原子处于同一平面
(2)从环境保护的角度分析,氧氯化法的优点是 ②
(3)焚烧是废旧塑料的处理方法之一,但在焚烧过程中会排放出有毒物质,要寻找新的方法以减少环境污染,写出两种方法 ③ , ④ 。
水是宝贵的资源﹐防止水污染的根本措施是消除污染源。已知某化工厂工业废水中含有硫酸。科技人员设计了边排放边中和硫酸的工艺来处理该工厂的废水,方案如下:

请你通过计算说明:要使该工厂废水达到排放要求,NaOH溶液的流量应为多少?(计算结果精确到0.1)
阅读下列教材片段内容,回答问题。
……
实验室制取二氧化碳的研究与实践
1.实验室里制取气体的装置的确定
实验室里制取气体的装置包括发生装置和收集装置两部分。下面列出了确定气体发生装置和收集装置时应考虑的因素。

2.二氧化碳和氧气制取实验及相关性质比较

根据上述比较,分析制取二氧化碳和氧气的发生装置和收集装置各有什么不同。试设计制取二氧化碳的装置,并与同学讨论、交流,分析各自设计的装置的优缺点。
3.通过讨论,选择一套最佳装置来制取二氧化碳。并讨论怎样检验生成的气体是二氧化碳?
请你据以上教材内容设计你的教学:
请你据以上教材内容设计你的教学:
(一)初中化学教学要注重“三维目标”的落实,根据教材内容片段,你认为主要的目标是:
1.知识与技能: ①
2.过程与方法: ②
3.情感、态度与价值观: ③ 。
(二)该片段的教学重点是 ④ ,为完成这一重点内容教学,采用的主要的教学方 ⑤ 。
(三)针对气体制取的相关问题,某教师设计了以下问题帮助学生理解、掌握、应用知识来解决实际问题。
1.实验室常用下列装置来制取气体:

(1)用双氧水和二氧化锰来制取氧气时,可选用B作为发生装置,依据是 ⑥ ;用E装置收集氧气,检验氧气是否集满的方法是 ⑦ 。
(2)实验室常用氯化铵固体与碱石灰固体共热来制取氨气,常温下
是一种无色、有刺激性气味的气体,密度比空气小。
极易溶于水,其水溶液呈碱性。制取并收集
,应该从上图中选择的收集装置是 ⑧ 。
是一种碱性气体﹐干燥时可选用下列干燥剂中的 ⑨ (填选项字母)。
A.固体氢氧化钠
B.浓硫酸
C.生石灰
(3)某同学欲收集一种难溶性气体,认为F装置可以代替C装置。请简述该同学应如何使用F装置? ⑩
2.检验二氧化碳可用澄清的石灰水,设计实验验证二氧化碳与氢氧化钠、氢氧化钙都能发生反应。

(1)关闭K,通入二氧化碳,A,B中均无明显变化。B中盛放 ⑪ 溶液。
(2)打开K,继续通入二氧化碳。此步实验目的是 ⑫ 通常情况下,1体积的水约能溶解1体积二氧化碳,因此上述实验不足以证明二氧化碳和氢氧化钠发生了反应。
(3)用洗涤干净的上述装置重新实验,分别量取50mL上述溶液放入A,B中,关闭K,通入约500mL二氧化碳,A、B中均无明显变化。此实验可以说明二氧化碳和氢氧化钠发生了反应,其理由是 ⑬ 。
(4)用右图装置制取并收集一定量
气体时,预先在装置m中添加了一些植物油,若不使用植物油,其结果是 ⑭ ;用该装置可以完成气体的制取和收集以及气体的一些性质实验,还可以用于 ⑮ 。

