多细胞生物体有着井然有序的结构层次,家鸽与油菜相比特有的结构层次是( )。
下列关于动物体结构与其生活环境相适应的因果关系的叙述,不一定的是( )。
夏季高温时段,用较低温度的地下水灌溉,容易导致农作物萎蔫。其主要原因是( )。
分化中的两栖类细胞核中,RNA的合成非常旺盛,但移植到去核卵细胞后,RNA的合成立即停止。下列对这一实验现象的分析,最合理的是( )。
以下诗文或谚语与所蕴含的科学知识不对应的是( )。
下列关于生物膜的叙述,不正确的是( )。
下列关于无机盐和其他化合物对人体与动物机能影响的叙述,正确的是( )。
浓度增加在前人进行的下列研究中,采用的核心技术相同或相似的一组是( )。
①证明光合作用所释放的氧气来自于水
②用紫外线等处理青霉菌选育高产青霉素菌株
③用T2噬菌体侵染大肠杆菌证明DNA是遗传物质
④用甲基绿和吡罗红对细胞染色,观察核酸的分布
我国谚语中的“螳螂捕蝉,黄雀在后”体现了食物链的原理。若鹰迁入了蝉、螳螂和黄雀所在的树林中,捕食黄雀并栖息于林中。下列叙述正确的是( )。
人轮状病毒是一种双链RNA病毒,主要感染小肠上皮细胞,可使机体出现呕吐、腹泻等症状导致脱水。以下相关叙述正确的是( )。
有研究发现:将四个特定基因导入处于分化终端的体细胞(如成纤维细胞等)中,可诱导其形成具有胚胎干细胞样分化潜能的诱导性多能干细胞。这项技术可应用于( )。
下列有关植物组织培养的叙述,错误的是( )。
下列关于糖的叙述,正确的是( )。
有关动物细胞有丝分裂的叙述,正确的是( )。
结核杆菌是结核病的病原体,近年来因抗药菌株增多等原因,使人类结核病的发病率和死亡率上升,因此,世界卫生组织将每年的3月24日确定为世界结核病防治日。下列有关结核杆菌的叙述,正确的是( )。
如图为人体消化系统的部分结构示意图,下列叙述不正确的是( )。

下图表示的是某动物细胞内三种细胞器膜在某过程前与后的面积变化,那么该过程产生的物质很可能是下列哪一项( )。

下列关于高等动物细胞增殖的叙述,错误的是( )。
期已经形成了1对中心体,在有丝分裂前期形成纺锤体
期某染色质的1个DNA分子发生片段缺失,则该细胞有丝分裂产生的2个子细胞均含有该异常DNA用某种高等植物的纯合红花植株与纯合白花植株进行杂交,全部表现为红花。若自交,得到的
植株中,红花为272株,白花为212株;若用纯合白花植株的花粉给
红花植株授粉,得到的子代植株中,红花为101株,白花为302株。根据上述杂交实验结果推断,下列叙述正确的是( )。
中白花植株都是纯合体
中红花植株的基因型有2种
中白花植株的基因类型比红花植株的多从种植于室内普通光照和室外强光光照下的同种植物中分别提取叶片的叶绿体色素,用纸层析法分离,结果如图,下列判断正确的是( )。

某种致病性极强的细菌外毒素由α和β两个亚单位组成,其中β亚单位无毒性,但能促进α亚单位进入宿主细胞发挥毒性作用。因此,研制疫苗时应选择该细菌的( )。
①外毒素
②减毒外毒素
③外毒素α亚单位
④外毒素β亚单位
在丝瓜地生态系统中,丝瓜、昆虫甲、昆虫乙存在捕食关系。下图表示甲、乙两种昆虫种群数量变化的调查结果。下列叙述正确的是( )。

下图曲线b表示在最适温度、最适pH条件下,反应物浓度与酶促反应速率的关系,据图分析正确的是( )。

如图表示细胞凋亡的过程,其中酶Ⅰ为核酸内切酶,能够切割DNA形成DNA片段;酶Ⅱ为一类蛋白水解酶,能选择性地促进某些蛋白质的水解,从而造成细胞凋亡。下列相关叙述,错误的是( )。

下列叙述错误的是( )。
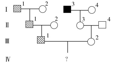
生物研究小组的同学对某地区人类的遗传病进行调查,在调查后的数据统计中发现甲种遗传病(简称甲病)的发病率较高,对患甲病的家族调查中还发现连续几代人均患病;而乙种遗传病(简称乙病)的发病率较低,以下是甲病和乙病在该地区每万人中的基本情况(该地区男女比例相同)。


生长抑素(SS)是一种含14个氨基酸的环状多肽,由下丘脑合成释放,可直接影响促甲状腺激素(TSH)的分泌。
(1)合成1分子SS可产生________分子
;下丘脑分泌的SS经________运输到达靶器官。
(2)急性高血糖和药物A均可促进SS的分泌,进而影响TSH,有人对健康志愿者进行不同处理,测定其血浆中TSH水平,结果如下图(注:TSH为促甲状腺激素释放激素)。

②用TRH处理后,受试者体内________分泌的TSH含量升高,导致机体________分泌增多,细胞代谢速率加快,产热增加。
③由实验结果可知:与对照组相比,处理组TSH的增加较________,说明SS对TSH的分泌具有________作用。从总体趋势看,与药物A相比,急性高血糖对SS分泌的促进作用更________。
④设置处理组3的目的是探究________。
某位教师在《细胞的衰老》这节课上的教学过程如下:
(1)讲解:
①个体衰老与细胞衰老的关系。
②细胞衰老的特性。
(2)讲解:
对于细胞衰老的原因,科学家提出的自由基学说和端粒学说普遍被人们接受。
(3)教师小结。
请根据以上案例回答问题:
(1)这位教师在教学过程中有哪些不足之处?(8分)
(2)写出改进本节课教学的措施。(12分)
