登录 注册 退出 电话:13805314440
首页 国考 省考选调 事业单位 人才引进 军队文职 三支一扶 医疗卫生 教师招考 教师资格 招警 银行 国企 社区
  • 浙江
  • 山东
  • 江苏
  • 广东
  • 四川
  • 福建
  • 广西
  • 安徽
  • 上海
  • 北京
  • 辽宁
  • 天津
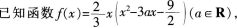
  • 河北
  • 海南
  • 河南
  • 江西
  • 湖南
  • 湖北
  • 山西
  • 内蒙古
  • 吉林
  • 黑龙江
  • 贵州
  • 重庆
  • 陕西
  • 甘肃
  • 云南
  • 新疆
  • 宁夏
  • 青海
  • 西藏
  • 深圳
  • 广州
  • 2017年杭州市教育系统教师招聘考试《中学数学》真题及答案(精选)

    编辑:公联 时间:2025-09-13 【联系客服】
    一、选择题(本大题共9小题,每小题3分,共27分)
    1
    在等差数列{an}中,a2=5,a4=7,则a6=( )。
    A、9
    B、10
    C、11
    D、12
    2
    函数y=x2-2x在区间[2,3]上的最大值是( )。
    A、0
    B、3
    C、4
    D、5
    3
    已知向量a=(-3,1),b=(x,9),若a⊥b,则x=( )。
    A、1
    B、2
    C、3
    D、4
    4
    若双曲线的渐近线方程为2017年杭州市教育系统教师招聘考试《中学数学》真题及答案(精选)(图1)它的一个焦点是F(2,0),则双曲线的方程是( )。
    A、2017年杭州市教育系统教师招聘考试《中学数学》真题及答案(精选)(图2)
    B、2017年杭州市教育系统教师招聘考试《中学数学》真题及答案(精选)(图3)
    C、2017年杭州市教育系统教师招聘考试《中学数学》真题及答案(精选)(图4)
    D、2017年杭州市教育系统教师招聘考试《中学数学》真题及答案(精选)(图5)
    5
    已知圆O的方程为x2+y2=1,过点P(-2,0)作圆的两条切线,切点分别是A,B,则直线AB的方程是( )。
    A、2017年杭州市教育系统教师招聘考试《中学数学》真题及答案(精选)(图6)
    B、2017年杭州市教育系统教师招聘考试《中学数学》真题及答案(精选)(图7)
    C、x=-2
    D、2017年杭州市教育系统教师招聘考试《中学数学》真题及答案(精选)(图8)
    6
    2017年杭州市教育系统教师招聘考试《中学数学》真题及答案(精选)(图9)
    A、4
    B、3
    C、2
    D、1
    7
    已知函数f(x)=5x+bcosx,其中b为常数。那么“b=0”是“f(x)为奇函数”的( )。
    A、充分而不必要条件
    B、必要而不充分条件
    C、充分必要条件
    D、既不充分也不必要条件
    8
    命题:①平行于同一条直线的两条直线平行;②平行于同一个平面的两条直线平行;③平行于同一条直线的两个平面平行;④平行于同一个平面的两个平面平行。上述四个命题中.正确命题的序号是( )。
    A、①②
    B、②③
    C、③④
    D、①④
    9
    将函数y=sin2x(x∈R)的图象向左平移2017年杭州市教育系统教师招聘考试《中学数学》真题及答案(精选)(图10)个单位,则所得图象对应的函数解析式为( )。
    A、2017年杭州市教育系统教师招聘考试《中学数学》真题及答案(精选)(图11)
    B、2017年杭州市教育系统教师招聘考试《中学数学》真题及答案(精选)(图12)
    C、2017年杭州市教育系统教师招聘考试《中学数学》真题及答案(精选)(图13)
    D、2017年杭州市教育系统教师招聘考试《中学数学》真题及答案(精选)(图14)
    二、填空题(本大题共7小题,每题3分,共21分)
    10
    设全集U=R,集合A={x|-3 2017年杭州市教育系统教师招聘考试《中学数学》真题及答案(精选)(图15)
    11
    2017年杭州市教育系统教师招聘考试《中学数学》真题及答案(精选)(图16)
    12
    2017年杭州市教育系统教师招聘考试《中学数学》真题及答案(精选)(图17)
    13
    如图,正方体ABCD-A1B1C1D1中,E,F,G分别为AA1,A1D1,BC的中点,则异面直线EF与D1G所成角的大小为__________。
    2017年杭州市教育系统教师招聘考试《中学数学》真题及答案(精选)(图18)
    14
    2017年杭州市教育系统教师招聘考试《中学数学》真题及答案(精选)(图19)若函数f(x)的图象上点P(1,m)处的切线方程为3x-y+b=0,则m的值为__________。
    15
    如图是半径为2,圆心角为90°的直角扇形OAB,Q为弧AB上任意一点,点P在扇形内(含边界),2017年杭州市教育系统教师招聘考试《中学数学》真题及答案(精选)(图20)
    2017年杭州市教育系统教师招聘考试《中学数学》真题及答案(精选)(图21)
    16
    2017年杭州市教育系统教师招聘考试《中学数学》真题及答案(精选)(图22)成立,则实数a的取值范围是__________。
    三、解答题(本大题共3小题,满分30分,解答时应写出文字说明、证明过程或演算步骤。)
    17
    在△ABC中,a,b,C分别是三个内角A,B,C的对边,2017年杭州市教育系统教师招聘考试《中学数学》真题及答案(精选)(图23),且△ABC的面积为4。
    (1)2017年杭州市教育系统教师招聘考试《中学数学》真题及答案(精选)(图24)
    (2)求b+c的值。
    18
    如图,四棱锥S-ABCD的底面是矩形,SA⊥底面ABCD,P是BC边的中点,AD=2,SA=AB=1。
    2017年杭州市教育系统教师招聘考试《中学数学》真题及答案(精选)(图25)
    (1)求证:PD⊥平面SAP;
    (2)求三棱锥S-APD的体积。
    19
    已知椭圆2017年杭州市教育系统教师招聘考试《中学数学》真题及答案(精选)(图26)的焦点F恰好是该椭圆的一个顶点。
    (1)求椭圆C的方程:
    (2)已知圆2017年杭州市教育系统教师招聘考试《中学数学》真题及答案(精选)(图27)的切线Z与椭圆相交于A,B两点,那么以AB为直径的圆是否经过定点?如果是,求出定点的坐标;如果不是,请说明理由。
    四、教法部分(满分22分)
    20
    简答题:
    (1)数学核心素养包括哪六个方面?它们之间的相互联系怎样?
    (2)就你的认识水平,谈谈对数学核心素养的理解和看法。
    加载中~

    相关新闻