下列选项中,与《黄河船夫曲》无关的体裁是( )。
下列节奏不属于探戈节奏的是( )。




下列哪个乐器不属于钢琴五重奏《鳟鱼》的演奏乐器? ( )
编写学堂乐歌歌曲集的人是( )?
速度记号排序由慢到快正确的是( )。
木管五重奏所使用的乐器有长笛、单簧管、双簧管、大管、圆号。( )
下列旋律属于(戏曲剧种),演唱声腔是。

下列旋律是由作曲家创作的,作品名称,该旋律采用了的元素。

下列旋律的名称,作曲家,体裁是。

下列旋律的体裁是,使用的方言是。

判断下列旋律的调式调性。

下列旋律的作者是,该旋律出自的体裁为。

下列旋律的体裁是。

下列旋律出自(器乐作品),采用了(戏曲)元素。

下列旋律的作者是。

高中课程有审美感知、、文化理解。
写出下列旋律的曲名及民族(地区)。
①曲名:;民族:。

②曲名:;地区:。

③曲名:;地区:。

④曲名:;民族:。

将下列作品和体裁进行对应。

将下列乐器和所属制作材料相对应。

F宫七声清乐调式

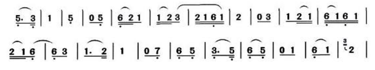
为下列旋律加上拍号和小节线。

将21题译为简谱。
判断下列旋律的调式调性,在括号处填写和声功能。

调式调性:______
将23题译为简谱。
为23题旋律编配下方二声部合唱旋律。




教材教法分析
情景一:课前5分钟准备,讲解创作的知识。
情景二:新闻说《吉祥三宝》抄袭法国歌曲《蝴蝶》。
情景三:对比《吉祥三宝》与《蝴蝶》的旋律、节奏、结构。
情景四:一个旋律音不变,改变它的节拍、节奏,看看效果如何。
情景五:节拍改变后,旋律的情绪产生了怎样的变化。
情景六:学生根据老师提供的旋律,自主编创节奏。
请结合课程性质、课程基本理念、课程相关领域三个维度来分析。
教学设计《小黄鹂鸟》。
选自苏少版六年级下册第二单元《碧野金山》。
该单元相关内容:欣赏《牧歌》《在那东山顶上》;歌表演《小巴郎,童年的太阳》;竖笛《小黄鹂鸟》

