习近平总书记指出,马克思主义是为人民立言、为人民代言的理论,是为改变人民命运而创立、在人民求解放的实践中丰富和发展的,人民的创造性实践是马克思主义理论创新的不竭源泉。下列说法与这一论述相符的是:
①人民不仅是物质财富的创造者,也是精神财富的创造者
②要坚持以理论工作者的首创精神为引领,注重从理论创新中总结实践经验
③无论是毛泽东思想、中国特色社会主义理论体系,还是习近平新时代特色社会主义思想,无不源自于人民的智慧、人民的探索、人民的创造
④各级领导干部身处实践最前沿,对实践变化感知最敏感、感受最深切,也最聪慧
习近平总书记指出,问题是事物矛盾的表现形式,我们强调增强问题意识、坚持问题导向,就是承认矛盾的普遍性、客观性,就是要善于把认识和化解矛盾作为打开工作局面的突破口。关于矛盾的普遍性、客观性,下列说法正确的是:
关于马克思主义政治经济学,下列说法正确的是:
习近平总书记指出:“中国共产党人的理想信念,建立在马克思主义科学真理的基础之上,建立在马克思主义揭示的人类社会发展规律的基础之上,建立在为最广大人民谋利益的崇高价值的基础之上。我们坚定,是因为我们追求的是真理。我们坚定,是因为我们遵循的是规律。我们坚定,是因为我们代表的是最广大人民根本利益。”这一论述最直接体现了马克思主义的哪一基本观点?
高质量发展是全面建设社会主义现代化国家的首要任务,金融要为经济社会发展提供高质量服务。下列与之相关的表述不准确的是:
习近平总书记强调,粮食安全是“国之大者”。下列保障粮食安全的举措正确的有几项?
①全面落实粮食安全党政同责,坚持稳面积、增单产两手发力
②树立大农业观、大食物观,农林牧渔并举,构建多元化食物供给体系
③加大高标准农田建设投入和管护力度,确保耕地数量有保障、质量有提升
④扩大粮食领域高水平对外开放,逐步加大国外优质种业资源和海外粮食产品在我国市场的占有率
⑤强化科技和改革双轮驱动,加大核心技术攻关力度
习近平总书记强调,要坚定不移贯彻新发展理念,更加自觉地把高质量充分就业作为经济社会发展的优先目标。下列关于高质量充分就业的表述正确的是:
①全面贯彻劳动者自主就业、政府主导就业、市场促进就业的方针
②坚持扩大就业容量和提升就业质量相结合
③坚持就业带动创业
④加强灵活就业和新就业形态劳动者权益保障,扩大职业伤害保障试点
党的十八大以来,在推进全面从严治党的伟大实践中,我们不断进行实践探索和理论思考,在毛泽东同志当年给出“让人民来监督政府”的第一个答案基础上,给出了第二个答案,那就是不断推进党的自我革命。关于深入推进党的自我革命实践,下列表述不准确的是:
习近平总书记指出,要加强科技基础能力建设,深化科技体制改革,打造科创高地。关于深化科技体制改革,下列表述正确的是:
完善收入分配制度,构建初次分配、再分配、第三次分配协调配套的制度体系,是进一步全面深化改革的重要任务。关于完善收入分配制度,下列表述不准确的是:
习近平总书记强调,要牢牢扭住自主创新这个“牛鼻子”。关于自主创新的举措,下列表述正确的有几项?
①主动对接国家战略需求,整合和优化科教创新资源
②培育产业园区,加强对口合作,加快科研成果落地转化
③培育新能源、新材料、先进制造、电子信息等战略性新兴产业
④建设风光火核储一体化能源基地
⑤逐步弱化央地合作,鼓励各地自主发展新兴产业
党的二十届三中全会提出,要稳步扩大制度型开放。关于稳步扩大制度型开放,下列举措不恰当的是:
习近平总书记指出,宣传思想文化工作事关党的前途命运,事关国家长治久安,事关民族凝聚力和向心力,是一项极端重要的工作。宣传思想文化工作的首要政治任务是:
完善大统战工作格局,是习近平总书记关于做好新时代党的统一战线工作的重要思想的重要内容,是做好新时代统战工作的重要保障,也是进一步全面深化改革、为推进中国式现代化凝心聚力的重要举措。下列各项不属于完善大统战格局措施的是:
党的二十届三中全会提出,健全绿色低碳发展机制,实施支持绿色低碳发展的财税、金融、投资、价格政策和标准体系,发展绿色低碳产业,健全绿色消费激励机制,促进绿色低碳循环发展经济体系建设。关于健全绿色低碳发展机制,下列举措不恰当的是:
深化医药卫生体制改革,是进一步全面深化改革的重要任务。关于深化医药卫生体制改革,下列举措不恰当的是:
完善市场经济基础制度是构建高水平社会主义市场经济体制的重要内容。下列不属于完善市场经济基础制度内容的是:
习近平总书记强调,加强党风廉政建设,一体推进不敢腐、不能腐、不想腐,严格落实中央八项规定精神,督促党员、干部特别是领导干部清廉自守、廉洁从政、干净做事。根据《中国共产党纪律处分条例》,下列违纪情况属于违反廉洁纪律的是:
习近平总书记指出,要推动各级领导班子认真践行正确政绩观,切实形成正确工作导向。下列表述与正确政绩观要求相符合的是:
西部地区在全国改革发展稳定大局中举足轻重。要一以贯之抓好党中央推动西部大开发政策举措的贯彻落实,进一步形成大保护、大开放、高质量发展新格局。关于新时代推动西部大开发,下列表述不正确的是:
2024政府工作报告提出,着力扩大国内需求,推动经济实现良性循环。下列措施有利于扩大内需的是:
①完善粮食生产收储加工体系
②加大出口信贷和出口信保支持
③合理扩大地方政府专项债券投向领域
④实施数字消费、绿色消费、健康消费促进政策
下列与我国的立法权相关的说法正确的是:
下列情形不在申请行政复议范围之内的是:
根据《中华人民共和国食品安全法》,下列情形符合法律规定的是:
国家主席习近平在二〇二四年新年贺词中指出:“良渚、二里头的文明曙光,殷墟甲骨的文字传承,三星堆的文化瑰宝,国家版本馆的文脉赓续······泱泱中华,历史何其悠久。文明何其博大,这是我们的自信之基、力量之源。”下列与之相关的说法不准确的是:
下图为夏季某天我国两个城市的日月升落时间示意图,下列与之相关的说法正确的是:

下列物理学家与其提出的著名观点对应错误的是:
纪录片《何以中国》讲述了多元一体中华民族的形成和中华文明创生的故事。下列哪句解说词不可能出现在《秦汉》一集中?
关于医学检查方法,下列说法错误的是:
某博物馆想办一期关于中国自然与人文的地理展览,开设以下几个专题,哪个专题所拟名称不恰当?
下列诗句都涉及天体,其中说法错误的是:
在关于真菌的科普文章中,下列表述存在错误的是:
关于温室栽培,下列说法错误的是:
下列情境中的两个物理量成正比例的是:
①通过某一电阻器的电流与其两端的电压
②物体所受浮力与其体积
③弹性限度内弹簧的伸长量与其所受拉力
④汽车行驶时的加速度与速度
下列与体育比赛有关的说法错误的是:
我们想问题、作决策、办事情,首先要考虑人口基数问题,考虑我国城乡区域发展水平差异大等实际,既不能 ,也不能因循守旧,要保持历史耐心,坚持稳中求进、循序渐进、持续推进。
填入画横线部分最恰当的一项是:
随着技术经验积累,高空风弹道修正等技术方法能使火箭在飞行过程中有效抵抗风干扰。为了有更强的适应性,本发长八火箭在使用自主抗干扰控制技术等成熟方法之外,还增加了自动滚转减载技术,根据风的来向,会在空中主动滚动调整,使火箭用更稳定的优势面来应对高空风,用“ ”的方式,通过自身的旋转抵消掉高空风的影响。
填入画横线部分最恰当的一项是:
要提高“临事能断”本领,就要处理好反复权衡与适时决断的关系,既要深入考量、三思而行,又要视情而断、当机立断,不能等待观望、 、议而不决。当然,提倡在关键时刻善于决断,并不意味着可以 、我行我素,而是要善于聚民意、集众智,推动科学决策。
依次填入画横线部分最恰当的一项是:
当前,各地纷纷布局,加快形成和发展新质生产力。然而,发展新质生产力是一项系统工程,不能盲目跟风、 ,也不能脱离实际、急于求成,更不能简单复制一种模式,必须坚持从实际出发,从新质生产力的形成条件入手,考虑周全、 。
依次填入画横线部分最恰当的一项是:
人才培养是循序渐进的过程,需认识、 、尊重人才成长规律,坚持“严管”和“厚爱”相结合。人才干事创业中难免有失误,如果培养者因为害怕犯错而顾虑重重、 ,则违背了人才培育的初衷。所以,要为人才“松绑”,建立健全正向激励和容错纠错机制,为人才成长创造宽容的环境。
依次填入画横线部分最恰当的一项是:
“南橘北枳”是 的自然规律。一些植物美则美矣,但只能生活在特定的自然环境中。某些地区不顾本地条件,只想迅速复制网红景观,画虎不成反类犬。一个地区的山水林田湖草是生命共同体,人为“改弦更张”,可能破坏生态平衡,到头来 。
依次填入画横线部分最恰当的一项是:
推进中国式现代化是一个探索性事业,还有许多未知领域,需要我们在实践中去大胆探索,通过改革创新来推动事业发展,决不能 、守株待兔。各地区各部门要结合各自具体实际开拓创新,特别是在前沿实践、未知领域,鼓励大胆探索、 ,寻求有效解决新矛盾新问题的思路和办法,努力创造可复制、可推广的新鲜经验。
依次填入画横线部分最恰当的一项是:
无论采取哪种储存方式,液氢对储存系统 的要求都比传统燃油系统更高、更复杂。这是因为氢分子远小于航空煤油,更容易从管路缝隙中 ;对于液氢储存,还必须考虑 条件的实现问题,否则升温气化后体积膨胀的氢气有可能导致燃料箱因压强骤增而直接爆炸。
依次填入画横线部分最恰当的一项是:
改进文风就要多写“短实新”的好文章。“实”就是讲符合实际的话不讲脱离实际的话,讲管用的话不讲空话,讲反映自己思考的话不讲 的话,讲有感而发的话不讲 的话,讲通俗明白的话不讲故作高深的话, ,用朴实的语言阐述深刻的理论。
依次填入画横线部分最恰当的一项是:
循环肿瘤细胞是早期癌症诊断的重要临床标志物,但其数量仅占正常血细胞量的十亿分之一。想要找到它,可谓 。新近研制出的多功能仿生柔性膜,拥有“火眼金睛”,可 “生擒”循环肿瘤细胞,还有媲美人体环境的仿生机制,能将细胞 地带回,实现对癌症的分子分型诊断。
依次填入画横线部分最恰当的一项是:
如果一味沉湎于琐碎的日常事务,缺乏大局观念和政治远见,不分轻重缓急,不从原则高度想问题,就会陷入事务主义。习近平总书记指出:“如果忙忙碌碌,只是机械做事,陷入事务主义,是很难提高认识和工作水平的。”这就意味着,要提高认识水平,必须走出事务主义的泥潭。毛泽东曾经指出:“庸俗的事务主义家不是这样,他们尊重经验而看轻理论,因而不能通观客观过程的全体,缺乏明确的方针,没有远大的前途,沾沾自喜于一得之功和一孔之见。”这为如何走出事务主义提供了指南针和路线图。
这段文字认为,为避免陷入事务主义,应该:
定向能武器是通过定向发射高能激光束、电磁波束、高能粒子束等对目标发起直接攻击的武器。低空无人机飞行速度慢、尺寸小、雷达散射面窄、红外特征弱,普通防空系统难以及时发现和截获,而定向能武器则可利用强激光点杀伤与高功率微波面覆盖相互配合,在低空近程区形成密集拦截网,应对无人机“蜂群”的压制。无人机“蜂群”高度依赖高敏传感器和无线通信设备,飞行越低、密度越大,导航和控制系统越易受外界干扰。此时,定向能武器对其稍加影响,使其联合作战能力受限,即可快速实现对无人机“蜂群”的杀伤。
这段文字主要介绍了定向能武器:
习近平新时代中国特色社会主义思想植根于新时代中国特色社会主义伟大事业的创造性实践,每一个理论成分背后都有着鲜活的实践支撑,比如蕴含“创新、协调、绿色、开放、共享”新发展理念的经济高质量发展案例、体现“党的领导、人民当家作主和依法治国有机统一”政治理念的现代治理案例、体现“绿水青山就是金山银山”的生态文明思想案例等。通过讲述这些蕴含中国观点、体现中国立场、彰显中国智慧、弘扬中国价值的生动故事,让国际社会更加深切地感知和理解习近平新时代中国特色社会主义思想的理论内涵和实践逻辑。
这段文字意在强调:
相对于狭义的农业即种植业而言,大农业是指广义的农业,不仅包括种植业、林草业、畜牧业和渔业,还包括产前的技术研发、品种繁育与推广、水利建设、农机生产与销售、农资储备与供应等,产后的烘干、储藏、运输、加工、营销与进出口贸易等,由此形成一个与农业发展有关、为农业发展服务的庞大产业体系。可以说, 。发展现代化大农业就是要构建一个现代化的大农业产业体系,这也是当前我国构建现代乡村产业体系的核心所在。
填入画横线部分最恰当的一项是:
同位素定年方法利用放射性同位素衰变原理来计算地表水进入封闭地下环境的时间,可以反映水在地下的补给径流排泄规律;稳定同位素有同位素分馏和季节效应,在不同体系中分布比例存在差异,因此可以用来示踪地下水的混合过程。目前,地下水循环研究中常用的同位素包括碳、氢、氧、硫等。随着技术发展,金属同位素等非传统同位素的应用,扩大了地下水定年范围。其中,镁元素是主要造岩元素,易在风化过程中以离子形式进入水体,且镁元素迁移行为简单、参与地球化学行为广,可以在地下水科学研究中发挥重要作用。
这段文字没有提及:
“足国之道,节用裕民,而善臧其余。”党政机关过紧日子不是一时之需、权宜之策,而是一贯的、长期的、常态化的工作要求。一个国家可调配的资源总量是有限的,唯有坚持该花的花、该省的省,才能集中财力办大事,把更多真金白银用于发展紧要处、民生急需上。一路走来,艰苦奋斗、勤俭节约始终是我们党的优良作风,也是我们党不断发展壮大的重要保证。“党和政府带头过紧日子,目的是为老百姓过好日子”。这本国之大账,是民生大账,亦是民心大账。
这段文字是一篇文章的开头,最适合做文章标题的是:
①但目前来看,新一代AI都表现出一定的回避提问的意图,这可能与模型试图节约算力资源有关
②在目前的法律框架内,数字生命还不是可以承担法律责任的主体,而被认为是程序、代码,或是人在网络空间中的一个身份
③如果机器向人输出了错误或者不能理解的内容,这是算法故障,应当要求开发、维护人员尽快修复,而不是指令机器“立刻改正”
④不过一旦模型有自主选择逃避人类提问的能力,并且已经脱离了开发人员的控制,AI没有法律人格的结论就要面临挑战了
⑤一般认为,创造数字生命的人,就是对数字生命负责的人,例如程序的开发者、AI的使用者等
⑥这除了伦理上的考虑,还有其不具备承担责任可能的因素
将以上6个句子重新排列,语序正确的一项是:
合唱发端于公元6世纪的西方古典音乐,并于20世纪初以“学堂乐歌”的方式传入中国。作为一种高度专业化的多声部声乐类别,其千百年来一直在追求创作与演唱技术的发展与精进。过去相当长的时间内,中国的室内合唱更多在音乐专业领域内,或是有一定知识储备的文化圈内开展艺术实践与鉴赏,与普通老百姓的欣赏层面尚有距离,使其推广受到限制。近年来,随着一批合唱团与合唱作品的“改良下沉”,这一艺术形式逐渐亲民,其厚重的古典传统不断被注入轻盈的流行时尚气息,“跨界”属性使合唱频频突破专业视野,吸引大众目光。
这段文字意在说明:
电动垂直起降航空器是航空飞行器的一种,是低空飞行器的一种,无人驾驶,无需传统机场和跑道,像直升机一样垂直起飞,使用纯电动力。这一技术设想目的是实现城市内和都市圈城际间点对点出行,或将在未来成为空中出行的重要方式,并形成新的广阔市场。2023年中央经济工作会议指出,打造生物制造、商业航天、低空经济等若干战略性新兴产业。低空经济产业链条长、应用场景丰富,对构建现代产业体系具有重要作用,发展空间极为广阔。有白皮书预测,到2025年,低空经济对中国国民经济的综合贡献值将达3万亿至5万亿元。
这段文字接下来最可能讲的是:
经济是肌体,金融是血脉,两者共生共荣。银行利润建立在企业发展的基础上,实体经济如果没有足够的利润率或者盈利能力,银行是没有办法获得持续发展和盈利空间的。而当前净息差的降低,使企业从银行获得了低成本贷款,能够极大减轻企业经营发展负担,把更多资金投入科研创新、转型升级、设备更新等领域,进而实现高质量发展。唯有实体经济规模扩大、效益改善、质量提升,银行才能获得自身高质量发展的坚实基础。
这段文字意在说明:
①中国古代早期的农作物种植结构,尤其是在先秦时期,可以简单分为以长江中下游地区为代表的典型稻作单一农作物种植制度和以中原地区为代表的多品种农作物种植制度。其中,中原地区实施多品种农作物种植制度,包括了粟、黍、稻米、大豆等生长条件需求不同的农作物品种。
②中原地区先秦时期农作物种植结构方面经历了数次重大变化:从裴李岗时期到仰韶时代早期,黍一直是最为重要的农作物资源,对黍这种耐寒、耐贫瘠但产量较低作物的重视,与当时社会以狩猎采集为主、农业种植为辅的生计模式相契合;庙底沟时期以后,更为高产的粟取代黍成为主体农作物,这一时期人们获取食物的主要来源从狩猎采集转变为农耕生产,而大豆的少量出现可能源于人们对植物蛋白的诉求;中原地区在龙山时期时,稻米和大豆的重要性有了明显提升,显示了本区域对不适于旱作生产低洼地的开发以及通过大豆的种植一定程度恢复地力;二里岗时期,郑州地区小麦数量增多,可能是人力资源充沛的条件下人们为缓解春荒采取的重要举措所致;东周时期,小麦重要性的进一步提升,以及红小豆的普遍出现,则可能与“两年三熟轮作制”的实施有着直接关系。
③《尔雅·释地》中记载:“田一岁曰菑,二岁曰新田,三岁曰畲”,《诗经·小雅》中也提及土地“薄言采芑,于彼新田,呈此菑亩”,说明商周时期种植制度中存在“菑”“新”“畲”,虽然各家对这几个词的解读说法不一,但当时存在撂荒、休耕制度是肯定的。在《周礼》中出现的“田莱制”和“易田制”,一方面说明休耕制度的普遍存在,另一方面显示已经不再实行一致休耕,而是根据土地肥沃或贫瘠的不同确定休耕的长短。
④人们对土地的利用方式,普遍经历了从长期休耕、短期休耕,再到连年复种、多茬复种的过程。而其中土地种植方式的转变,也受到了诸多因素的影响,比如可供选择的农作物品种,可利用的耕地条件、水源条件,可选用的肥料来源,是否有便利的生产工具,等等。但是向农业集约化转变的决定性因素,在于人口密度是否已经达到了原有土地利用方式难以满足的程度。我们同样可以从植物考古的相关研究中梳理出先秦时期中原地区几千年来土地利用方式的演变。
⑤裴李岗时期的中原地区,以粗放型的黍为主要作物,农业占比不高,遗址中多见来自森林山麓地区的核果、浆果类植物遗存,几乎不见农田杂草,应该属于长期休耕或“森林休耕”的范畴。这一土地利用方式可能一直延续到了庙底沟时期,随着庙底沟文化的急剧发展,人口和聚落数量大增,河谷平原地区成为遗址的集中分布区,高产的粟代替黍成为主粮,在采集类植物遗存锐减的同时,农田杂草可能开始大量出现,这一阶段土地的利用率明显提高,休耕时长可能大大缩短,我们认为该阶段从“森林休耕”转变为“灌木休耕”。
⑥进入龙山晚期,中原地区迎来了人口和聚落数量的高峰,这一时期气候和降水变动剧烈,大豆在多数遗址的重要性增加,显示了人们对保持土壤肥力的重视,农田杂草在种类上的增多,可能反映了大量新拓荒的耕地或土地休耕时长的进一步缩短,从龙山晚期到夏商时期,可能已经进入了“短期休耕”或“草地休耕”的阶段。至迟在战国时期,我们认为复种制度已经出现在了中原地区,尤其是人口密度最高的河谷区域,一方面铁器和犁耕的普及极大地提高了生产力水平,另一方面豆类作物和小麦的重要性显著提高, 。
下面这段文字最适合填入文中哪个位置?
不论是粟对黍的取代,还是稻米、大豆的加入,再到小麦重要性的提升,以及红小豆被纳入轮作体系,都是该地区人们逐渐提高土地利用率的结果。
填入画横线部分最恰当的一项是:
下列时期与土地利用方式,对应正确的一项是:
关于中国古代早期的农作物品种,下列哪一说法与原文不相符?
最适合做这篇文章标题的是:
在19世纪的欧洲, 。精致的赛璐珞发梳一受热就可能突然起火,优雅的河狸礼帽要用剧毒汞盐来加工,而迷恋明亮鲜艳的翠绿色则可能引来名为砷中毒的死神。
含砷绿颜料的历史从一种名为“舍勒绿”的物质开始。1775年,瑞典化学家卡尔·威廉·舍勒首先在实验室里得到了它。在加热的碳酸钠溶液里缓缓加入三氧化二砷,然后加进硫酸铜,再把产物过滤干燥,就得到了这种颜色有点像抹茶的绿色粉末,它的化学成分是铜的亚砷酸氢盐。25年后,一种更鲜艳的翠绿色颜料诞生了。它常被叫做“巴黎绿”,或者“翡翠绿”,背后的化学成分是乙酸亚砷酸铜。这两种绿颜料都有很强的毒性。按照当时的话说,“只要几格令就可以置人于死地”(一格令大约相当于65毫克)。
在梵高、透纳等著名画家的作品中都有这种绿颜料的身影,同时,它在人们的生活中也普及到了令人吃惊的程度。这是名副其实的“维多利亚流行色”,它们被用于制作印花壁纸、人造花、包装纸和衣服,甚至还出现在食品和儿童玩具当中。
公平地讲,在那个年代有问题的远不只是绿色颜料,不过鲜艳的巴黎绿和它制成的华美壁纸确实颇具代表性。在19世纪的欧洲和美国,鲜艳华丽的壁纸图案十分盛行。很多壁纸都描绘着花卉图案或者大幅的自然风景,要想表现它们的美,就需要大面积使用鲜艳的绿色颜料。砷绿颜料不易褪色、成本低廉,于是它自然受到了壁纸生产商的青睐。这些壁纸表面会“上胶”,但它却往往不能起到充分的固定作用。时间一长,壁纸上的绿色便渐渐褪去,同时房间里的各种东西都会覆盖上一层绿色的“灰尘”。除此之外,在潮湿环境和霉菌的作用下,壁纸中的砷颜料还会发生化学变化,产生带着大蒜味的三甲基胂气体,它同样有可能危害健康。
除了壁纸,这些绿颜料在当时的应用非常普遍,即使不追求华美的装饰,人们也可能会在意想不到的地方中招。例如,一位波士顿的医生受到手指疼痛的困扰,最终发现原因是他玩的纸牌使用了有毒砷颜料来上色。而在一个位于马萨诸塞州的儿童福利院,孩子们持续不断地出现呼吸困难,甚至还有两名婴儿死亡,结果问题出在护士们制服上——其中也发现了含砷颜料。
砷绿礼服刺激皮肤,含砷壁纸令人头疼、恶心,但真正承担最大风险的并不是消费者,而是生产它们的人。在开采、加工砷矿,以及用绿颜料装饰产品的过程中,工人们接触到的毒物剂量都远超过了消费者。即使面对恶劣的工作环境,他们也可能别无选择。
其实在这些颜料问世之初,就已经有人提出了担忧。1815年,德国化学家利奥波德·格梅林就在报纸上指出,把砷颜料用于壁纸是危险的。从1850年代开始,报纸、杂志和医学期刊上都刊登出了大量中毒案例,这些危险才真正开始得到关注。欧洲各国逐渐开始立法禁止含砷颜料在生活用品中的使用,但唯独在英国,禁令迟迟没有出台——这与砷矿开采和壁纸制造业的利益牵连有关。
为复制大自然的美,人们选择了舍勒绿与巴黎绿,但这些颜料带来的后果却完全走向了“清新自然”的反面。现在再来欣赏那些维多利亚风格的壁纸图案,也会感到它们美得相当讽刺吧。
填入画横线部分最恰当的一项是:
下列说法与原文相符的是:
本文没有对下列哪一问题进行解释?
文中没有提及下列哪方面信息?
最适合做这篇文章标题的是:
运送一批货物,第一趟派出10辆大车,第二趟又增派15辆小车,运输量比第一趟高50%。问每辆大车的载货量是小车的多少倍?
某企业今年3月节电量是1月的1.2倍、2月的1.5倍,已知2月节电量比1月少4万度,问今年一季度企业节电量为多少万度?
甲和乙从环形跑道的同一点出发,向相反方向匀速慢跑,乙的速度是甲的一半。两人3分钟后第一次相遇,此后乙加速又跑了正好半圈后和甲第二次相遇。问两人第一次到第二次相遇间隔了多长时间?
某研发小组员工中,60%的人参与了A项目,45%的人参与了B项目,两个项目都参与的人比两个项目都不参与的多2人。问该研发小组有多少人?
2024年甲、乙、丙三人的年龄之和与2034年甲的年龄相同,且甲、乙的年龄之差大于乙、丙的年龄之差。已知乙的年龄小于甲但大于丙,问2024年甲的年龄最小可能为多少岁?
甲、乙、丙3台收割机每小时均能收割2亩小麦,三台机器上午先后开始收割工作,12:00时甲收割的面积是乙的1.5倍,且比丙多收割6亩,16:00时3台收割机共收割了50亩,问乙是何时开始工作的?
某竞赛由5道次序固定的判断题组成,参赛者起始为0分,每答对1题加1分,每答错1题扣1分。小王作答了所有试题,答完每道题时当前的得分都不低于1分。问他的答题情况有多少种不同的可能?
某种机械由3个A模块和2个B模块组成。甲车间每天可生产6个A模块或3个B模块,乙车间每天可生产1个A模块或2个B模块。现两车间合作生产40台该机械所需模块,问至少需要多少天?
甲船在A港正东n海里,乙船在A港正南
海里,两船相距120海里,同时出发向A港匀速行驶。已知乙船的速度是甲船的
倍,比甲船早3小时到A港。问甲船的速度是多少海里/小时?


某门店星期一至星期五的日营业额均为1万元,星期六和星期日的日营业额均为2万元。某月1-16日的总营业额为22万元,问该月8日为:
某种商品在定价基础上打八折销售,打折之前每天卖40件,开始打折第一天起,每天都比前一天多卖10件。打折销售15天的利润总额与打折之前销售20天的利润总额相同,问这种商品的成本是定价的:
将甲、乙两种设备各5件全部分配给A、B、C三个车间,要求每个车间分配两种设备至少各1件,A车间分配的设备总数比其他任一车间都多,B车间分配的甲设备多于乙设备,问有多少种不同的分配方式?
某厂区如图所示,其中ABCD为矩形,ABEF为直角梯形,AB与DE相交于G点,其中阴影区域ADGF为涉密区域。已知AD、AF、AB长度分别为240米、150米、100米,问涉密区域的面积为多少万平方米?

小王计划在7天假期自学甲、乙两门在线课程,每门课程需要连学2整天。如在所有可能的安排中随机选择1种,不用学习的3天均不相邻的概率为:




一个容器的下部分为高12厘米的倒立圆锥体,上部分为圆柱体,且圆锥和圆柱的底面半径相等。现匀速向容器中注入水,1分钟后液面高6厘米,又过30分钟后注满。问整个容器的高度为多少厘米?
从所给的四个选项中,选择最合适的一个填入问号处,使之呈现一定的规律性:

从所给的四个选项中,选择最合适的一项填入问号处,使之呈现一定的规律性:

从所给的四个选项中,选择最合适的一个填入问号处,使之呈现一定的规律性:

从所给的四个选项中,选择最合适的一个填入问号处,使之呈现一定的规律性:

左边为15个白色和3个灰色正方体组合而成多面体的正、反两面直观图,其可以由①、②和③三个多面体组合而成,问哪一项能填入问号处?

下图为4个黑色、8个白色正方体粘接成的长方体,问哪一项可能是其正确的外表面展开图?

左边为给定的多面体,现用经P、Q、R三个顶点的平面对其进行切割,问哪个选项是其切面?

把下面的六个图形分为两类,使每一类图形都有各自的共同特征或规律,分类正确的一项是:

把下面的六个图形分为两类,使每一类图形都有各自的共同特征或规律,分类正确的一项是:

把下面的六个图形分为两类,使每一类图形都有各自的共同特征或规律,分类正确的一项是:

后视错觉是个体的一种认知偏差,是指在一件事情已经发生之后,即使个体之前没有对此做过预判,也认为自己“早就知道会这样”。
根据上述定义,下列符合后视错觉的是:
回应型预算要求政府基于与人民的民主协商作出预算决策,相关责任部门应当及时反应并积极回复人民的质疑和诉求。
根据上述定义,下列属于回应型预算的是:
选择或然率理论解释的是影响受众对大众传播内容选择的决定性因素。该理论的核心公式是:选择或然率=报偿的保证/费力的程度。其中,报偿的保证指的是传播内容满足选择者需要的程度,即内容对于受众的吸引力和实用性;费力的程度指的是获取传播内容和使用传播途径的难度。
根据上述定义,下列属于提高选择或然率的传播行为的是:
三维反求是测量技术、数据处理技术、图形处理技术和加工技术相结合的综合性技术,是指用一定的测量方法对实物进行测量,根据测量数据通过三维几何建模方法重构实物的数字化模型的过程。
根据上述定义,下列关于三维反求工程的步骤,排序正确的是:
①通过制造样品来验证模型是否满足精度和其他性能指标
②通过一定的算法,从测量数据中提取零件的设计与加工特征
③使用高精度的三维测量技术获取零件表面各点的空间坐标
④使用计算机辅助设计软件将数据与特征重构为三维模型
形象史学是指把形与象作为主要材料,用以研究历史的一门学问。具体来说,是指把传世的包括出土(水)的具有研究价值的石刻、陶塑、壁画、雕砖、铜玉、织绣、漆器、木器、绘画等历史实物、文本图像以及文化史迹作为主要研究对象,并结合传统文献来综合考察历史的一种新的史学研究模式。
根据上述定义,下列属于形象史学研究范畴的是:
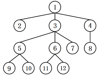
深度优先搜索是指从初始节点出发,按照一定的顺序扩展到下一个节点,然后从下一个节点出发继续扩展到新的节点,不断递归执行这个过程,直到某个节点不能再扩展到下一个节点,此时返回上一个节点重新寻找一个新的节点继续扩展,如此搜索下去,直到找到目标节点,或者搜索完所有节点为止。

根据上述定义,如果以“1”为初始节点,“12”为目标节点,下列搜索路径符合深度优先搜索的是:
2
1
3
6
11
12
4
8
4
1
3
6
12
3
5
3
7
3
6
12
3
5
10
5
3
1
3
6
12元科学也称元理论,是一种以科学为研究对象的学科,它研究科学的性质、特征、形成和发展规律。科学概念是“科学内部”出现的概念,如“质量”“频率”等;而元科学概念是“谈论科学的”,表示科学的陈述或活动特征的概念。
根据上述定义,下列说法正确的是:
同一认定是指侦查中具有专门知识的人或了解客体特征的人,通过比较先后出现的客体的特征而对客体是否同一做出的判断。这里所说的客体是指与案件有关联的人或物。
根据上述定义,下列属于同一认定的是:
流域内降雨或融冰化雪都可以引起河水显著上涨。春季,气候转暖,流域内的季节性积雪融化、河流解冻或春雨,引起河水上涨称春汛。因正值桃花盛开时节,故亦称桃汛。我国北方,把春季河冰解冻引起的涨水现象专称为凌汛。夏季,流域内的暴雨或高山冰川和积雪融化,使河水急剧上涨,称夏汛。我国习惯上把发生在夏季三伏前后的汛水称为伏汛。秋季由于暴雨,河水发生急剧上涨称秋汛。
根据上述定义,下列判断错误的是:
具有包含与被包含关系的三个概念,如植物、乔木、水杉等,可至少形成三个正确的命题:所有的水杉都是乔木,所有的乔木都是植物,所有的水杉都是植物,由“所有的乔木都是植物”“所有的水杉都是植物”而得出“所有的水杉都是乔木”,这样的推理被称为排序推理。
根据上述定义,下列属于排序推理的是:
逐客令:挡箭牌
嘤其鸣矣:求其友声
直观性:即时性:网络直播
光伏电站:电池板:发电
稀树草原 对于 ( ) 相当于 ( ) 对于 国际公约
某企业对于如何进行产教融合,形成如下两种方案:一是“做深”,企业自建培训中心,成立专职和兼职的企业培训师队伍,并根据企业需求,制定专门的培训大纲和计划,该中心与毕业生未来形成签约。二是“做浅”,在学校设立“冠名班”和“订单班”,以学校教育为主,企业与学生当前没有签约意向,但随时保持互相选择的权利。
以下理由中,能够支持企业选择第二方案的是:
海山是海面下的岛屿,与岛屿中的火山岛有相同的起源和相似的形态,以往的海山生物调查发现,海山岩石上的生物群落与海山周边的软底沉积和深海平原上的生物群落大不相同。而且,一些海山之间的生物群落在物种构成上较少重叠。因此,有一些学者认为,相对孤立的海山存在独特的生物群落且拥有高度特有的动物群。
以下哪项如果为真,最能反驳上述学者的观点?
飞行信息记录系统,也就是俗标的黑匣子,在空难事故调查中的重要作用不需赘言,但无论在陆上还是海上的空难事故中,搜寻黑匣子都极其不易。有人建议,可利用现在飞速发展的互联技术,把黑匣子升级成为“云匣子”,那么飞机在空中就能够实时与地面进行信息交互,使空难事故的分析变得更加便捷。
以下哪项如果为真,最能质疑上述建议?
某项研究显示,与未接触空气污染的人相比,暴露于空气污染中的人死于乳腺癌的风险增加了80%,死于其他各类癌症的风险增加了22%。该研究团队由此认为,这可能与空气污染物中的PM2.5有关,因为PM2.5会导致脏器的炎症和氧化应激反应。
以下哪项如果为真,最可能是上述专家预设的前提?
甲、乙、丙、丁4人按顺时针依次围坐在四方桌前,每人坐一面,4人中只有1人说真话。
甲:坐在东面的人说谎;
乙:坐在南面的人说谎;
丙:我坐在西面或者北面;
丁:我坐在北面。
根据以上陈述,可以得出:
随着通货膨胀的蔓延,H国电子企业主要产品的原材料价格大幅上涨。该国最大的电子企业公报显示,今年该企业智能手机应用处理器价格较上年上涨30%,用于智能手机的相机模块价格上涨11%,用于电视和显示器的面板价格上涨9%。H国经济界认为,电子企业原材料价格居高不下,将严重削弱该国电子企业在国际市场上的竞争力。
以下哪项如果为真,最能支持上述结论?
我军军语惯于将数字1、2、7、9、0变读为幺、两、拐、勾、洞,这些数字有个共同特点,即其原本的发音部位与发音方法使得在读这些数字时无法发出较大声音,在噪声干扰较为强烈的战场上,通信兵使用通讯设备进行情报交流时,话筒对这些数字的实际增音效果并不明显,可能会影响信息的准确性。因此,在军语中将这些数字变读,是为了符合实际需要。
以下哪项如果为真,不能支持上述结论?
国内市场只有形成完备的市场体系与商业规则环境,才能为企业参与出口竞争提供真正的市场根基,要形成完备的市场体系,必须深化要素市场化配置体制机制改革,只有促进要素自主有序流动,且提高要素配置效率,才能深化要素市场化配置体制机制改革,要形成完备的商业规则环境,必须推进全方位开放并建立全国统一大市场,且加强执法效率和市场司法保障。
根据以上陈述,可以推出下列哪项?
红霉素是一种抗生素,最早从放线菌糖多孢红霉菌的分泌物中发现,最新研究中,人们发现一种名为文蛤的贝类体内也会分泌红霉素。红霉素主要由微生物合成,此前从未在动物体内发现,研究者据此推测,文蛤合成红霉素的能力应当源于文蛤体内的微生物,正是这些微生物帮助文蛤合成了红霉素。
以下哪项如果为真,最能削弱研究者的推测?
甲、乙、丙、丁、戊、己、庚7人报名参加象棋比赛,对于比赛结果,大家预测如下:
(1)戊、己、庚至少有2人获奖;
(2)如果甲、丙、戊至少有1人获奖,则丁、己均不获奖;
(3)如果乙、戊、己至少有1人获奖,则丁获奖而丙不获奖。
比赛结束后,发现上述预测完全正确。
根据上述信息,一定获奖的是:
截至2023年末,我国集成电路布图设计登记累计申请93147件,发证72378件,2024年1-4月,我国集成电路布图设计登记申请3503件,发证4189件。

截至2014年末,我国集成电路布图设计登记累计申请量在以下哪个范围内?
如2024年5-12月,我国集成电路布图设计登记月均发证量与1-4月水平相同,则2024年全年,我国集成电路布图设计登记发证量将比上年:
2019-2021年,我国集成电路布图设计登记申请量三年的同比增速:
2015-2023年,我国集成电路布图设计登记当年发证量与当年申请量比值大于0.9的年份有几个?
以下柱状图反映了哪一时间段内,我国集成电路布图设计登记发证量同比增量的变化趋势(横轴位置表示增量为0)?



2019-2023年我国厨房小家电全品类零售总量在以下哪个范围?
2019-2023年,我国厨房小家电全品类零售额中线上零售额占比超过75%的年份有几个?
资料所列厨房小家电品类当中,2023年零售额超过全品类零售总额10%的有几类?
2023年电饭煲、破壁机和电压力锅零售额之和约是台式单烤、电炖锅和榨汁机零售额之和的多少倍?
以下折线图中,最能准确反映2019-2023年我国厨房小家电平均每台零售价变化趋势的是:






表中所列赛区中,第15届CMC平均每个参赛学校参赛人数最少的是:
如果第15届CMC参赛人数是首届的10.85倍,问第10届CMC参赛人数是首届参赛人数的多少倍?
若保持第15届CMC参赛人数环比增量不变,问哪一届CMC参赛人数将第一次超过50万人?
表中所列赛区中,参加第15届CMC决赛人数占当届决赛总人数的:
以下折线图中,最能准确反映第10-14届CMC决赛人数占参赛人数比重变化趋势的是:




2023年三季度,支付系统共处理支付业务3358.88亿笔,金额3151.37万亿元,同比分别增长12.59%和6.97%。
三季度,人民银行清算总中心系统共处理支付业务54.79亿笔,金额2379.52万亿元,同比分别增长0.92%和9.53%,其中,大额实时支付系统处理业务9518.17万笔,同比下降10.39%,金额2254.07万亿元,同比增长9.72%;小额批量支付系统处理业务11.51亿笔,金额46.69万亿元,同比分别增长5.73%和10.03%;网上支付跨行清算系统处理业务42.31亿笔,同比下降0.03%,金额74.66万亿元,同比增长5.38%;境内外币支付系统处理业务134.46万笔,同比增长2.83%,金额5707.35亿美元,同比下降14.63%。
在其他支付系统中,银行行内业务系统三季度处理业务54.42亿笔,同比增长11.14%,金额539.56万亿元,同比下降4.10%;银联跨行支付系统处理业务837.93亿笔,金额70.27万亿元,同比分别增长21.37%和8.70%;城银清算支付清算系统处理业务1056.40万笔,金额9744.45亿元,同比分别增长34.61%和36.31%;农信银支付清算系统处理业务7.41亿笔,金额7162.13亿元,同比分别下降39.98%和13.55%;人民币跨境支付系统处理业务176.43万笔,金额33.42万亿元,同比分别增长43.23%和31.41%;网联清算平台处理业务2404.21亿笔,金额126.92万亿元,同比分别增长10.42%和6.28%。
2023年三季度,支付系统平均每笔支付业务金额比上年同期:
2023年三季度,人民银行清算总中心系统处理支付业务中,小额批量支付系统处理业务笔数的占比同比:
2022年三季度,人民银行清算总中心系统境内外币支付系统处理业务日均处理金额在以下哪个范围内?
将其他支付系统中①银行行内业务系统、②银联跨行支付系统、③城银清算支付清算系统和④农信银支付清算系统按2023年三季度平均每笔业务金额同比增速从高到低排列,以下正确的是:
关于2023年三季度支付系统运行情况,不能从上述资料中推出的是:
