习近平总书记指出,马克思主义是为人民立言、为人民代言的理论,是为改变人民命运而创立、在人民求解放的实践中丰富和发展的,人民的创造性实践是马克思主义理论创新的不竭源泉。下列说法与这一论述相符的是:
①人民不仅是物质财富的创造者,也是精神财富的创造者
②要坚持以理论工作者的首创精神为引领,注重从理论创新中总结实践经验
③无论是毛泽东思想、中国特色社会主义理论体系,还是习近平新时代特色社会主义思想,无不源自于人民的智慧、人民的探索、人民的创造
④各级领导干部身处实践最前沿,对实践变化感知最敏感、感受最深切,也最聪慧
习近平总书记指出,问题是事物矛盾的表现形式,我们强调增强问题意识、坚持问题导向,就是承认矛盾的普遍性、客观性,就是要善于把认识和化解矛盾作为打开工作局面的突破口。关于矛盾的普遍性、客观性,下列说法正确的是:
关于马克思主义政治经济学,下列说法正确的是:
习近平总书记指出:“中国共产党人的理想信念,建立在马克思主义科学真理的基础之上,建立在马克思主义揭示的人类社会发展规律的基础之上,建立在为最广大人民谋利益的崇高价值的基础之上。我们坚定,是因为我们追求的是真理。我们坚定,是因为我们遵循的是规律。我们坚定,是因为我们代表的是最广大人民根本利益。”这一论述最直接体现了马克思主义的哪一基本观点?
高质量发展是全面建设社会主义现代化国家的首要任务,金融要为经济社会发展提供高质量服务。下列与之相关的表述不准确的是:
习近平总书记强调,粮食安全是“国之大者”。下列保障粮食安全的举措正确的有几项?
①全面落实粮食安全党政同责,坚持稳面积、增单产两手发力
②树立大农业观、大食物观,农林牧渔并举,构建多元化食物供给体系
③加大高标准农田建设投入和管护力度,确保耕地数量有保障、质量有提升
④扩大粮食领域高水平对外开放,逐步加大国外优质种业资源和海外粮食产品在我国市场的占有率
⑤强化科技和改革双轮驱动,加大核心技术攻关力度
习近平总书记强调,要坚定不移贯彻新发展理念,更加自觉地把高质量充分就业作为经济社会发展的优先目标。下列关于高质量充分就业的表述正确的是:
①全面贯彻劳动者自主就业、政府主导就业、市场促进就业的方针
②坚持扩大就业容量和提升就业质量相结合
③坚持就业带动创业
④加强灵活就业和新就业形态劳动者权益保障,扩大职业伤害保障试点
党的十八大以来,在推进全面从严治党的伟大实践中,我们不断进行实践探索和理论思考,在毛泽东同志当年给出“让人民来监督政府”的第一个答案基础上,给出了第二个答案,那就是不断推进党的自我革命。关于深入推进党的自我革命实践,下列表述不准确的是:
习近平总书记指出,要加强科技基础能力建设,深化科技体制改革,打造科创高地。关于深化科技体制改革,下列表述正确的是:
完善收入分配制度,构建初次分配、再分配、第三次分配协调配套的制度体系,是进一步全面深化改革的重要任务。关于完善收入分配制度,下列表述不准确的是:
习近平总书记强调,要牢牢扭住自主创新这个“牛鼻子”。关于自主创新的举措,下列表述正确的有几项?
①主动对接国家战略需求,整合和优化科教创新资源
②培育产业园区,加强对口合作,加快科研成果落地转化
③培育新能源、新材料、先进制造、电子信息等战略性新兴产业
④建设风光火核储一体化能源基地
⑤逐步弱化央地合作,鼓励各地自主发展新兴产业
党的二十届三中全会提出,要稳步扩大制度型开放。关于稳步扩大制度型开放,下列举措不恰当的是:
习近平总书记指出,宣传思想文化工作事关党的前途命运,事关国家长治久安,事关民族凝聚力和向心力,是一项极端重要的工作。宣传思想文化工作的首要政治任务是:
完善大统战工作格局,是习近平总书记关于做好新时代党的统一战线工作的重要思想的重要内容,是做好新时代统战工作的重要保障,也是进一步全面深化改革、为推进中国式现代化凝心聚力的重要举措。下列各项不属于完善大统战格局措施的是:
党的二十届三中全会提出,健全绿色低碳发展机制,实施支持绿色低碳发展的财税、金融、投资、价格政策和标准体系,发展绿色低碳产业,健全绿色消费激励机制,促进绿色低碳循环发展经济体系建设。关于健全绿色低碳发展机制,下列举措不恰当的是:
深化医药卫生体制改革,是进一步全面深化改革的重要任务。关于深化医药卫生体制改革,下列举措不恰当的是:
完善市场经济基础制度是构建高水平社会主义市场经济体制的重要内容。下列不属于完善市场经济基础制度内容的是:
习近平总书记强调,加强党风廉政建设,一体推进不敢腐、不能腐、不想腐,严格落实中央八项规定精神,督促党员、干部特别是领导干部清廉自守、廉洁从政、干净做事。根据《中国共产党纪律处分条例》,下列违纪情况属于违反廉洁纪律的是:
习近平总书记指出,要推动各级领导班子认真践行正确政绩观,切实形成正确工作导向。下列表述与正确政绩观要求相符合的是:
西部地区在全国改革发展稳定大局中举足轻重。要一以贯之抓好党中央推动西部大开发政策举措的贯彻落实,进一步形成大保护、大开放、高质量发展新格局。关于新时代推动西部大开发,下列表述不正确的是:
国家主席习近平在二〇二四年新年贺词中指出:“良渚、二里头的文明曙光,殷墟甲骨的文字传承,三星堆的文化瑰宝,国家版本馆的文脉赓续······泱泱中华,历史何其悠久。文明何其博大,这是我们的自信之基、力量之源。”下列与之相关的说法不准确的是:
下列情形不在申请行政复议范围之内的是:
关于所有权的取得,下列说法正确的是:
根据《中华人民共和国公司法》的规定,下列事项必须通过国家企业信用信息公示系统公示的是:
《中华人民共和国消费者权益保护法实施条例》自2024年7月1日起施行。下列说法或做法符合相关法律法规的是:
纪录片《何以中国》讲述了多元一体中华民族的形成和中华文明创生的故事。下列哪句解说词不可能出现在《秦汉》一集中?
下列物理学家与其提出的著名观点对应错误的是:
下列人物所说的话与经济有关,其中说法正确的是:
在关于真菌的科普文章中,下列表述存在错误的是:
关于盆地地形,下列说法错误的是:
某博物馆想办一期关于中国自然与人文的地理展览,开设以下几个专题,哪个专题所拟名称不恰当?
关于医学检查方法,下列说法错误的是:
下列与纤维材料有关的说法错误的是:
下列《三国演义》中的回目,按照先后顺序排列正确的是:
①宴长江曹操赋诗,锁战船北军用武
②战官渡本初败绩,劫乌巢孟德烧粮
③刘先主遗诏托孤儿,诸葛亮安居平五路
④王司徒巧使连环计,董太师大闹凤仪亭
下列与船只行驶有关的说法错误的是:
我们想问题、作决策、办事情,首先要考虑人口基数问题,考虑我国城乡区域发展水平差异大等实际,既不能 ,也不能因循守旧,要保持历史耐心,坚持稳中求进、循序渐进、持续推进。
填入画横线部分最恰当的一项是:
《营造法式》刊行之后,两浙一带的建筑技术借助官方的推广完全融入了中国古典木构建筑技术的主流。以抬梁式为梁柱结构,屋面重量通过椽、檩、梁、斗栱、柱传递至基础的方案,形成此后中国官式建筑 的发展路径。这种结构开间大,立柱少,气势恢宏,可细分为殿堂式与厅堂式,满足不同礼制等级的需要。
填入画横线部分最恰当的一项是:
兔和羚羊等食草动物获取食物时动作敏捷,牛类有瘤胃可以囤积食物,到安全环境中再慢慢消化。大熊猫既没有这样的敏捷度,也没有瘤胃结构,所以“ ”,选择了其他动物不吃的食物种类,也出现了一些与进食、消化有关的基因突变,形成了独特的食性——将箭竹作为主食。
填入画横线部分最恰当的一项是:
人才培养是循序渐进的过程,需认识、 、尊重人才成长规律,坚持“严管”和“厚爱”相结合。人才干事创业中难免有失误,如果培养者因为害怕犯错而顾虑重重、 ,则违背了人才培育的初衷。所以,要为人才“松绑”,建立健全正向激励和容错纠错机制,为人才成长创造宽容的环境。
依次填入画横线部分最恰当的一项是:
党的规模大了,一些人容易出现搞小山头、小圈子、小团伙现象,容易出现 、自行其是问题,破坏党的团结统一,影响党的凝聚力战斗力。随着改革开放逐步深入,社会利益多元化、思想多样化也深刻影响到党员干部的观念和行为。我们必须在重大问题、严峻形势面前始终心往一处想、劲往一处使,做到凝心聚力、 ,确保全党紧密团结在党中央周围,步调一致向前进。
依次填入画横线部分最恰当的一项是:
能量的产生和使用不一定 。可再生能源发电如风力发电、太阳能发电等,会因为天气、季节、地理位置的不同,存在不同时间尺度的间歇性,而用电需求也有 ,时多时少。低成本大规模的储能系统可以突破可再生能源“即发即用、不能存储”的瓶颈,显著提高风、光等可再生能源的消纳水平。
依次填入画横线部分最恰当的一项是:
各国正逐步形成以无人机、巡航导弹、弹道导弹、轰炸机等为主力的高效空袭体系,可以实现对目标空域的饱和袭击。这让只能命中单一目标的防空导弹陷入 的境地。面对复杂多样的战场威胁,防空导弹不再 ,而是“攥指成拳”,朝着防空导弹系统升级转变。
依次填入画横线部分最恰当的一项是:
推进中国式现代化是一个探索性事业,还有许多未知领域,需要我们在实践中去大胆探索,通过改革创新来推动事业发展,决不能 、守株待兔。各地区各部门要结合各自具体实际开拓创新,特别是在前沿实践、未知领域,鼓励大胆探索、 ,寻求有效解决新矛盾新问题的思路和办法,努力创造可复制、可推广的新鲜经验。
依次填入画横线部分最恰当的一项是:
降水总量增多、变率减弱可能是最让人 的变化型,这意味着未来的雨水不仅丰盈,还会以“润物细无声”的方式滋养大地。遗憾的是,全球几乎没有哪个地区的降水类型属于这一变化型。我国大部分地区的降水变化型属于“更湿润且波动更大”,意味着降水的 将增强,这须引起广泛重视。
依次填入画横线部分最恰当的一项是:
当前,改革发展任务繁重,需要各级各部门和广大干部高质高效地完成各项任务,才能在日趋激烈的发展竞争中赢得 。而处理日常纷繁复杂的工作,就如同“十个指头弹钢琴”,需要合理分配力量和节奏。一味强求自加压力,势必使某个或多个指头的力量受到影响,导致工作 ,工作效能不理想也就在意料之中了。
依次填入画横线部分最恰当的一项是:
面对企业,干部洁身自好只是最低要求,担当作为才是责任所系。民营企业所遇到的困难和问题仍不少,干部不仅要守住廉洁底线,更应主动为企业 。干部同企业家打交道要把握分寸,并不意味着可以对企业家的正当要求 ,对企业的合法权益不予保护,而是要积极主动为企业服务。
依次填入画横线部分最恰当的一项是:
刺沙蓬也叫风滚草,一株可以携带约20万粒种子。在随风滚动时, 的翻滚会帮助它抖落出种子,散落在地面上,时机成熟就会长成新的刺沙蓬,如此 。并且,它们对水分的需求量较少,对盐度有较好的耐受性,在海滩、草原和戈壁沙漠中都能 生长。
依次填入画横线部分最恰当的一项是:
借鉴各地耕保的好经验、好做法,可以少走弯路,但不可将借鉴当作 。比如,平原地区的耕地恢复方法不一定适合山区,粮食主产区与主销区可能 。有些经验做法依托的是当地经济基础和民风社情,外地可能“借”不来也“学”不好,盲目推广可能导致 、劳民伤财。
依次填入画横线部分最恰当的一项是:
手枪短小轻便、易于隐藏,是军队 的装备。早期手枪由于使用黑火药,燃烧速度较慢,射击速度和射程受到很大限制。随着无烟火药的发明,弹药技术迎来革命性突破,弹匣手枪 ,无烟火药燃烧速度快,可大幅提升射击速度和射程,弹匣手枪依托这一技术优势 。
依次填入画横线部分最恰当的一项是:
改进文风就要多写“短实新”的好文章。“实”就是讲符合实际的话不讲脱离实际的话,讲管用的话不讲空话,讲反映自己思考的话不讲 的话,讲有感而发的话不讲 的话,讲通俗明白的话不讲故作高深的话, ,用朴实的语言阐述深刻的理论。
依次填入画横线部分最恰当的一项是:
习近平新时代中国特色社会主义思想植根于新时代中国特色社会主义伟大事业的创造性实践,每一个理论成分背后都有着鲜活的实践支撑,比如蕴含“创新、协调、绿色、开放、共享”新发展理念的经济高质量发展案例、体现“党的领导、人民当家作主和依法治国有机统一”政治理念的现代治理案例、体现“绿水青山就是金山银山”的生态文明思想案例等。通过讲述这些蕴含中国观点、体现中国立场、彰显中国智慧、弘扬中国价值的生动故事,让国际社会更加深切地感知和理解习近平新时代中国特色社会主义思想的理论内涵和实践逻辑。
这段文字意在强调:
在青藏高原高寒草甸的多年冻土区,地下水或土壤水分迁移冻结导致地下冰聚集,使地表隆起形成的丘状地带便是冻胀丘。冻胀丘中土壤结构和植物根系的破坏,改变了地表径流,导致部分缓坡和低地积水严重,继而引起草地破碎化和地表裸露区增加等草地荒漠化问题。随着冻土内冰的消融和水分流出,地下有时会形成较大的空洞区,地表发生沉降和塌陷,往往会造成地区植被和土壤的显著退化。冻土区随着表层冻土的解冻融化,坡体中的饱水松散土层和风化层间的摩擦力减小,在重力作用下,沿斜坡缓慢流动或蠕动形成融冻泥流,这也会使植被和土壤遭到强烈破坏。
这段文字接下来最可能介绍青藏高原:
相对于狭义的农业即种植业而言,大农业是指广义的农业,不仅包括种植业、林草业、畜牧业和渔业,还包括产前的技术研发、品种繁育与推广、水利建设、农机生产与销售、农资储备与供应等,产后的烘干、储藏、运输、加工、营销与进出口贸易等,由此形成一个与农业发展有关、为农业发展服务的庞大产业体系。可以说, 。发展现代化大农业就是要构建一个现代化的大农业产业体系,这也是当前我国构建现代乡村产业体系的核心所在。
填入画横线部分最恰当的一项是:
①但目前来看,新一代AI都表现出一定的回避提问的意图,这可能与模型试图节约算力资源有关
②在目前的法律框架内,数字生命还不是可以承担法律责任的主体,而被认为是程序、代码,或是人在网络空间中的一个身份
③如果机器向人输出了错误或者不能理解的内容,这是算法故障,应当要求开发、维护人员尽快修复,而不是指令机器“立刻改正”
④不过一旦模型有自主选择逃避人类提问的能力,并且已经脱离了开发人员的控制,AI没有法律人格的结论就要面临挑战了
⑤一般认为,创造数字生命的人,就是对数字生命负责的人,例如程序的开发者、AI的使用者等
⑥这除了伦理上的考虑,还有其不具备承担责任可能的因素
将以上6个句子重新排列,语序正确的一项是:
①严格执法与公正司法是相辅相成的
②加强行政执法与刑事司法衔接,是为了确保二者之间既能互不干扰,又能高效转换,从而更有力地实施法律
③前端为后端减负、后端为前端增力,才能更好地让严格执法与公正司法共同发力,促进法律有效实施,保障社会公平正义
④特别是在环境保护、食品安全等关系人民切身利益的重点领域,行政执法与刑事司法脱节会导致法律威慑力不足
⑤习近平总书记指出,“要加强行政执法与刑事司法有机衔接,坚决克服有案不移、以罚代刑等现象”
⑥严格执法位于前端,通过行政手段依法保障人民群众的生命财产安全;公正司法位于后端,定分止争,是公平正义的最后一道防线
将以上6个句子重新排列,语序正确的一项是:
相较于地球,月球上氦-3储量极为丰富。氦-3来源于太阳内部核聚变,以高能粒子形式通过太阳风向宇宙扩散。月球没有大气层,其磁场不足地球的千分之一,使得太阳风能够直射月球表面并将氦-3注入月壤层。同时,月表温度在月夜最低可达
,极地永久阴影区甚至可达
。极低温环境有效促进了氦-3被月壤层吸附,阻止其向太空逃逸,并在月表不断富集。据估算,全月氦-3换算储量高达110万吨,可作为清洁核原料供地球使用约1万年。
这段文字能够解释下列哪一问题?
“微利惠民”是老年助餐行业的重要特点,但这也导致其盈利点不够清晰,加上配套服务体系建设还不够健全、客流不稳定等因素影响,导致一些助餐机构经营困难。当前,要进一步推广老年助餐服务,应在设施场地、资金筹集、税费减免等方面加大支持力度,并提高政策精准度。此外,还要充分发挥市场机制作用,不断提高助餐机构自身能力。最后,应从老年人的现实需求和助餐服务的运营实际出发,引导更多主体参与,完善多元筹资机制,落实各项优惠措施,才能进一步扩大服务覆盖面,形成更合理的布局,为更多老年人提供便利。
这段文字意在强调:
同位素定年方法利用放射性同位素衰变原理来计算地表水进入封闭地下环境的时间,可以反映水在地下的补给径流排泄规律;稳定同位素有同位素分馏和季节效应,在不同体系中分布比例存在差异,因此可以用来示踪地下水的混合过程。目前,地下水循环研究中常用的同位素包括碳、氢、氧、硫等。随着技术发展,金属同位素等非传统同位素的应用,扩大了地下水定年范围。其中,镁元素是主要造岩元素,易在风化过程中以离子形式进入水体,且镁元素迁移行为简单、参与地球化学行为广,可以在地下水科学研究中发挥重要作用。
这段文字没有提及:
如果一味沉湎于琐碎的日常事务,缺乏大局观念和政治远见,不分轻重缓急,不从原则高度想问题,就会陷入事务主义。习近平总书记指出:“如果忙忙碌碌,只是机械做事,陷入事务主义,是很难提高认识和工作水平的。”这就意味着,要提高认识水平,必须走出事务主义的泥潭。毛泽东曾经指出:“庸俗的事务主义家不是这样,他们尊重经验而看轻理论,因而不能通观客观过程的全体,缺乏明确的方针,没有远大的前途,沾沾自喜于一得之功和一孔之见。”这为如何走出事务主义提供了指南针和路线图。
这段文字认为,为避免陷入事务主义,应该:
在一些科幻影片中,大质量黑洞周身的光环令人印象深刻。事实上,这并不是黑洞在发光,而是由宇宙中的气体物质构成的吸积盘所辐射的光芒。当黑洞附近有物质靠近时,这些物质并不会立刻被黑洞吞噬,而是被吸引到一个叫做吸积盘的结构中。当吸积盘受黑洞引力和摩擦的作用不断向内旋进时,内层的气体和尘埃被挤压导致温度上升从而发射出电磁辐射,这就形成了黑洞周身的光环。不过,由于黑洞强大的引力对光的扭曲效应,我们所能看到的吸积盘并不是一个扁平的圆盘,而是圆盘的远端被折起来,如同给黑洞戴了个“帽子”。
这段文字主要介绍:
如今,文艺工作者深入挖掘传统绘画与传统舞蹈之间的内在联系,将诗、书、画、乐、舞融于一体,形成新的审美表达。比如,杭州亚运会开幕式文艺表演环节,第一个节目《水墨入诗画》便以中国画为基本元素,身着青绿色长裙的舞者在山水画卷中翩翩起舞,营造出“人在画中游”的优美意境。舞蹈诗剧《只此青绿》同样以经典山水画为灵感,通过舞蹈再现画家王希孟创作《千里江山图》的过程,并以刚柔相济的肢体语言、精心设计的舞蹈动作呈现山水神韵。在这些作品中,传统绘画与舞蹈的创意融合产生叠加效应,使传统文化与现代审美相谐适,产生了广泛的社会影响。
最适合做这段文字标题的是:
与传统业态相比,新业态顺应多元化、多样化、个性化的产品或服务需求,实现产业与互联网、大数据、云计算、人工智能等新技术深度融合,通过采用新技术和新模式,为市场引入新元素、丰富新场景,促进新岗位、新就业形态不断涌现,创造更多就业机会。新业态既提供新的高技能岗位,扩大对高水平劳动力的需求,又通过带动传统产业转型升级,实现对传统职业和岗位的再造,释放新的就业需求。当前,我国有超2亿灵活就业人员,新就业形态 。
填入画横线部分最恰当的一项是:
相比高校和科研机构,企业处于市场最前沿,对有市场潜力的技术感知更灵敏,对产业发展趋势的把握也更敏锐。因此,在颠覆性技术的研发、转移转化过程中,需要强化企业科技创新主体地位。在课题立项中,要加快提升企业技术创新决策的主体地位,建立企业常态化参与国家科技创新决策的机制;在创新过程中,要着力强化企业科研组织的主体地位,支持领军企业聚焦国家重大需求,牵头组建创新联合体,加快形成企业主导的产学研深度融合。同时,人才、经费等创新要素也要加快向企业特别是科技领军企业集聚。
这段文字意在说明:
熔盐堆是第四代核能系统中唯一的液态燃料堆,我国研发的熔盐堆是“钍基熔盐堆”,即用钍元素作为核燃料、用熔融态的盐作为热介质进行发电。和常规铀反应堆不同,钍基熔盐堆内部循环的是液态盐。这些液态盐既可被当作核燃料的承载体,又能被当作核裂变反应的冷却剂,因此在使用时要将钍元素溶解在氟盐冷却剂里生成氟化盐,进而不断输出巨大的能量。由于钍基熔盐反应堆是用氟化盐作冷却剂,依赖的水资源较少,在缺水的干旱地区甚至沙漠地区也能建造和运行。
这段文字解释了下列哪一问题?
经济是肌体,金融是血脉,两者共生共荣。银行利润建立在企业发展的基础上,实体经济如果没有足够的利润率或者盈利能力,银行是没有办法获得持续发展和盈利空间的。而当前净息差的降低,使企业从银行获得了低成本贷款,能够极大减轻企业经营发展负担,把更多资金投入科研创新、转型升级、设备更新等领域,进而实现高质量发展。唯有实体经济规模扩大、效益改善、质量提升,银行才能获得自身高质量发展的坚实基础。
这段文字意在说明:
张某8:00开车从A地出发,在A、B两地之间往返行驶。8:30第一次到达A、B之间的C点时加速30%继续行驶,并于9:00第二次到达C点。问AC距离是BC距离的多少倍?




甲、乙、丙、丁四个部门共有210名员工,且甲部门员工数比丁部门多10人。现乙部门调动20名员工到丙部门且其剩余员工并入丁部门后,甲、丙、丁三个部门的员工数之比为3:3:4。问原乙部门有多少名员工?
化工商店出售200千克某种试剂,前60千克打2折出售,之后60千克打5折出售,剩余部分原价出售。以下坐标图中,最能准确反映该试剂销量和销售收入之间关系的是:




某单位65名职工中,拥有甲、乙、丙三项认证中至少一项的职工正好占80%,没有甲认证的职工与有乙认证的职工人数一样多,仅有丙认证的职工有3人,三项认证都有的职工有6人,问有多少人仅拥有甲、乙两项认证?
某竞赛由5道次序固定的判断题组成,参赛者起始为0分,每答对1题加1分,每答错1题扣1分。小王作答了所有试题,答完每道题时当前的得分都不低于1分。问他的答题情况有多少种不同的可能?
某种机械由3个A模块和2个B模块组成。甲车间每天可生产6个A模块或3个B模块,乙车间每天可生产1个A模块或2个B模块。现两车间合作生产40台该机械所需模块,问至少需要多少天?
张、王、李、赵4人的平均年龄为28岁,张、王的年龄之和比李大25岁,李、赵的年龄之和比张大27岁。已知张比王大2岁,问他们4人中年龄最大的比最小的大几岁?
甲船在A港正东n海里,乙船在A港正南
海里,两船相距120海里,同时出发向A港匀速行驶。已知乙船的速度是甲船的
倍,比甲船早3小时到A港。问甲船的速度是多少海里/小时?


小王计划在7天假期自学甲、乙两门在线课程,每门课程需要连学2整天。如在所有可能的安排中随机选择1种,不用学习的3天均不相邻的概率为:




一个容器的下部分为高12厘米的倒立圆锥体,上部分为圆柱体,且圆锥和圆柱的底面半径相等。现匀速向容器中注入水,1分钟后液面高6厘米,又过30分钟后注满。问整个容器的高度为多少厘米?
从所给的四个选项中,选择最合适的一个填入问号处,使之呈现一定的规律性:

从所给的四个选项中,选择最合适的一个填入问号处,使之呈现一定的规律性:

从所给的四个选项中,选择最合适的一个填入问号处,使之呈现一定的规律性:

从所给的四个选项中,选择最合适的一个填入问号处,使之呈现一定的规律性:

左边为给定的多面体,现用经P、Q、R三点的平面对其进行切割,问哪个选项是其切面?

下图为4个黑色、8个白色正方体粘接成的长方体,问哪一项可能是其正确的外表面展开图?

左边为15个白色和3个灰色正方体组合而成多面体的正、反两面直观图,其可以由①、②和③三个多面体组合而成,问哪一项能填入问号处?

把下面的六个图形分为两类,使每一类图形都有各自的共同特征或规律,分类正确的一项是:

把下面的六个图形分为两类,使每一类图形都有各自的共同特征或规律,分类正确的一项是:

把下面的六个图形分为两类,使每一类图形都有各自的共同特征或规律,分类正确的一项是:

土地监测是利用遥感、遥测技术,对一个国家或地区土地利用状况的动态变化进行定期或不定期的监视和测定,目的在于为国家和地区有关部门提供准确的土地利用变化情况,及时进行土地利用数据更新与对比分析,以便编制土地利用变化图解等。
根据上述定义,下列属于土地监测的是:
主体间性是指人对他人意图的判断与推测。主体间性有不同的级别,一级主体间性即人对另一个人意图的判断与推测,二级主体间性即人对另一人关于其他人意图的判断与推测的认知的认识。
根据上述定义,下列体现了二级主体间性的是:
回应型预算要求政府基于与人民的民主协商作出预算决策,相关责任部门应当及时反应并积极回复人民的质疑和诉求。
根据上述定义,下列属于回应型预算的是:
温度习服是指机体长期在高温或低温环境中,逐渐产生的对环境温度的耐受现象,包括热习服和冷习服。热习服是指机体长期生活或工作在炎热或高温环境后产生的适应性变化;冷习服是指机体长期暴露于寒冷环境后逐渐出现的适应性变化。
根据上述定义,下列属于温度习服的是:
形象史学是指把形与象作为主要材料,用以研究历史的一门学问。具体来说,是指把传世的包括出土(水)的具有研究价值的石刻、陶塑、壁画、雕砖、铜玉、织绣、漆器、木器、绘画等历史实物、文本图像以及文化史迹作为主要研究对象,并结合传统文献来综合考察历史的一种新的史学研究模式。
根据上述定义,下列属于形象史学研究范畴的是:
求证思维是指用自己掌握的知识和经验去验证某一结论的思维。转化思维是指在解决问题的过程中遇到障碍时,把问题转换成另一种形式,使问题变得更简单、更清晰。集中思维是指从许多资料中找出合乎逻辑的联系,从而导出一定的结论,或者对几种解决方案加以比较研究,进而导出一种解决办法。
根据上述定义,下列说法正确的是:
自动投案是指犯罪事实或者犯罪嫌疑人未被司法机关发觉,或者虽被发觉,但犯罪嫌疑人尚未受到讯问、未被采取强制措施时,主动、直接向公安机关、人民检察院或者人民法院投案。
根据上述定义,下列不属于自动投案的是:
深度优先搜索是指从初始节点出发,按照一定的顺序扩展到下一个节点,然后从下一个节点出发继续扩展到新的节点,不断递归执行这个过程,直到某个节点不能再扩展到下一个节点,此时返回上一个节点重新寻找一个新的节点继续扩展,如此搜索下去,直到找到目标节点,或者搜索完所有节点为止。

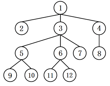
根据上述定义,如果以“1”为初始节点,“12”为目标节点,下列搜索路径符合深度优先搜索的是:
2
1
3
6
11
12
4
8
4
1
3
6
12
3
5
3
7
3
6
12
3
5
10
5
3
1
3
6
12企业薪酬策略主要包括两个方面:一是体现企业支付标准的策略,即薪酬水平策略,其本质是在市场既定的薪酬水平上设定一个对公司有利的最优报酬水平;二是体现企业支付差异的策略,即薪酬结构策略,其通过企业的工资等级和工资幅度、加薪条件、晋升降级、小时工资、加班休假、工作时间等方面的薪酬政策表现出来。
根据上述定义,下列说法正确的是:
断取是修辞格的一种,引用词语时,只截取其中部分字眼的意义,而置其余于不顾,是一种“断章取义”的修辞方式。
根据上述定义,下列没有采用断取修辞方式的是:
殚精竭虑:费尽心机
逐客令:挡箭牌
直观性:即时性:网络直播
群众来访:窗口接访:调查督办
稀树草原 对于 ( ) 相当于 ( ) 对于 国际公约
研究者设计了一个“拔河比赛”的实验,要求被试分别在单独和群体的情境下拔河,同时用仪器来测量他们的拉力。结果发现随着被试人数的增加,平均每个被试使出的力减少了。据此研究者认为,提高团队业绩的最佳途径就是减少团队人数。
下列选项如果为真,除哪项外均能质疑上述研究者的观点?
考古人员发现了近300枚16亿年前的丝状体生物化石,这些丝状体均由巨型细胞组成,直径20~194微米不等。化石中,有些丝状体直径保持不变,细胞呈短柱状至长柱状;有些丝状体整体向一端均匀收缩,细胞呈柱状、桶状或杯状;而有的丝状体仅一端变细,形态呈现了一定的复杂性。考古人员据此认为,这些丝状体很可能属于真核生物。
以下各项如果为真,除哪项外均能支持上述观点?
某企业对于如何进行产教融合,形成如下两种方案:一是“做深”,企业自建培训中心,成立专职和兼职的企业培训师队伍,并根据企业需求,制定专门的培训大纲和计划,该中心与毕业生未来形成签约。二是“做浅”,在学校设立“冠名班”和“订单班”,以学校教育为主,企业与学生当前没有签约意向,但随时保持互相选择的权利。
以下理由中,能够支持企业选择第二方案的是:
我军军语惯于将数字1、2、7、9、0变读为幺、两、拐、勾、洞,这些数字有个共同特点,即其原本的发音部位与发音方法使得在读这些数字时无法发出较大声音,在噪声干扰较为强烈的战场上,通信兵使用通讯设备进行情报交流时,话筒对这些数字的实际增音效果并不明显,可能会影响信息的准确性。因此,在军语中将这些数字变读,是为了符合实际需要。
以下哪项如果为真,不能支持上述结论?
海山是海面下的岛屿,与岛屿中的火山岛有相同的起源和相似的形态,以往的海山生物调查发现,海山岩石上的生物群落与海山周边的软底沉积和深海平原上的生物群落大不相同。而且,一些海山之间的生物群落在物种构成上较少重叠。因此,有一些学者认为,相对孤立的海山存在独特的生物群落且拥有高度特有的动物群。
以下哪项如果为真,最能反驳上述学者的观点?
某科研机构今年拟举办甲、乙、丙、丁、戊、己、庚、辛8次学术会议,每个季度最多举办3次,且各次会议举办时间不重叠。具体安排要求如下:
(1)丁、辛安排在第二季度;
(2)甲、戊安排在同一个季度;
(3)丁在乙之后丙之前举办;
(4)丙在甲之前己之后举办。
下列哪2次会议可以安排在第一季度?
如果第二季度只安排2次会议,那么以下哪次会议一定安排在第一季度?
如果丙、戊安排在第四季度,下列哪2次会议可以安排在第三季度?
如果每个季度至少安排1次会议,并且最后一个季度仅安排1次会议,下列哪2次会议一定安排在第三季度?
如果甲安排在第三季度,第四季度不安排会议,庚不可能和哪次会议安排在同一个季度?


2019-2023年,有几个城市五批次累计公示的专精特新“小巨人”上市企业数量占全国的比重超过5%?
以下批次中,公示的专精特新“小巨人”上市企业数量占同批次专精特新“小巨人”企业数量比重最高的是:
已知2023年第五批次公示的专精特新“小巨人”企业分布于全国300个城市中,则这些城市平均每个有多少家第五批次公示的专精特新“小巨人”非上市企业?
2019-2023年,北京、上海、广州、深圳4个城市五批次累计公示的专精特新“小巨人”企业数量之和约占全国总数的:
以下饼状图中,最能准确反映2019-2023年五批次公示的专精特新“小巨人”上市企业中,第一批次(黑色)、第二批次(横线)、第三批次(竖线)、第四批次(白色)和第五批次(网格)企业数量比例关系的是:





2021-2023年,Z省各年律师人数与律师事务所总数的比值:
2020-2023年,Z省律师办理法律业务数之和约是同期基层法律服务工作者办理法律业务数之和的多少倍?
2023年,Z省含村、社区在内的法律顾问数约是2020年的多少倍?
如保持2023年同比增量不变,则到哪一年Z省律师办理法律业务数将首次超过150万件?
以下柱状图反映了2021、2022和2023年Z省律师、基层法律服务工作哪一指标的同比增量变化趋势(横轴位置表示增量为0)?



注:上座率
2023年12月,资料中电影总放映场次最多的三个城市票房之和在以下哪个范围内?
以下城市中2023年12月平均每场电影观众人次数最多的是:
2023年12月资料中有几个城市平均每人次观众创造的票房超过40元?
如某月北京的电影总放映场次和平均每场座位数与2023年12月相同,但上座率增加5个百分点,则该月北京将有约多少万人次观众观影?
关于资料中城市2023年12月电影票房状况,能够从上述资料中推出的是:
2023年一季度,我国外贸进出口总额为9.89万亿元,同比增加0.45万亿元。其中,东部地区进出口7.75万亿元,同比增长2.9%;中西部、东北地区分别进出口1.84万亿元、2975.4亿元,同比分别增长12.6%、9.4%。
2月份,东部地区进出口同比增速由1月份的下降11.1%转为增长7%,3月份增速扩大至15.8%。一季度有进出口实绩企业数量38.7万家,同比增长5.2%。一季度,东部地区出口高技术产品7741.7亿元,同比增长9.8%,占东部地区出口额比重为17.9%,同比提升0.7个百分点,其中3月增速为21%。
一季度,中西部地区民营企业进出口1.08万亿元,同比增长32.8%,中西部地区对“一带一路”沿线国家进出口7400.9亿元,同比增长38%。一般贸易占中西部地区进出口总额的56.6%,同比提升4.9个百分点。
一季度,东北地区黑色金属冶炼和压延加工业、汽车制造业、铁路船舶等其他运输设备制造业出口同比分别增长42.9%、62.3%、136.4%。化肥、种子分别进口25亿元、5867.6万元,同比分别增长117.8%、119.9%。
以下饼状图中,最能准确反映2023年一季度我国外贸进出口总额中,东部地区(白色)、中西部地区(斜线)和东北地区(黑色)外贸进出口额占比关系的是:




2023年一季度,东部地区外贸进口额约为多少万亿元?
2023年一季度,中西部地区对“一带一路”沿线国家进出口贸易额同比增量约占同期中西部地区外贸进出口总额同比增量的:
2023年一季度,东部地区外贸进出口额占我国外贸进出口总额比重比上年同期:
关于我国外贸进出口状况,能够从上述资料中推出的是:
