登录 注册 退出 电话:13805314440
首页 国考 省考选调 事业单位 人才引进 军队文职 三支一扶 医疗卫生 教师招考 教师资格 招警 银行 国企 社区
  • 浙江
  • 山东
  • 江苏
  • 广东
  • 四川
  • 福建
  • 广西
  • 安徽
  • 上海
  • 北京
  • 辽宁
  • 天津
  • 河北
  • 海南
  • 河南
  • 江西
  • 湖南
  • 湖北
  • 山西
  • 内蒙古
  • 吉林
  • 黑龙江
  • 贵州
  • 重庆
  • 陕西
  • 甘肃
  • 云南
  • 新疆
  • 宁夏
  • 青海
  • 西藏
  • 深圳
  • 广州
  • 2021年天津市南开区教师招聘考试题《中学化学》(精选)

    编辑:公联 时间:2025-09-15 【联系客服】
    一、单项选择题。本大题共23小题,每小题2分,共46分
    1

    《本草纲目》记载有轻粉(2021年天津市南开区教师招聘考试题《中学化学》(精选)(图1))的制备:用水银一两,白矾(明矾)二两,食盐一两,同研不见星,铺于铁器内,以小乌盆覆之。筛灶灰,盐水和,封固盆口。以炭打二炷香取开,则粉升于盆上矣。其白如雪,轻盈可爱。一两汞,可升粉八钱。下列对文中所述内容的说法不正确的是(  

    A、水银和白矾均属于电解质
    B、有氧化还原反应发生
    C、过程中有研磨的环节,是为了混合充分
    D、轻粉易升华
    2

    十九大报告中提及绿色”“生态文明。下列做法不应该被提倡的是(  

    A、使用可降解塑料
    B、实现化石燃料清洁利用
    C、垃圾分类处理
    D、大量使用化肥、农药提高粮食产量
    3

    应对新冠肺炎疫情,需对场所杀菌消毒。下列物质不宜用作杀菌消毒的是(  

    A、高锰酸钾溶液
    B、100%酒精
    C、双氧水
    D、“84”消毒溶液
    4

    胶体的本质特征是(  

    A、丁达尔效应
    B、胶体微粒带电
    C、胶体微粒直径为1~100nm
    D、布朗运动
    5

    下列物质投入水中发生化学反应,水作氧化剂的是(  

    A、钾
    B、氧化钙
    C、过氧化钠
    D、氯化钠
    6

    下列化学用语对事实的表述不正确的是(  

    A、氯原子的结构示意图2021年天津市南开区教师招聘考试题《中学化学》(精选)(图2)
    B、羰基硫(COS)的结构式为O=C=S
    C、2021年天津市南开区教师招聘考试题《中学化学》(精选)(图3)Si原子的一种激发态
    D、中子数为10的氧原子形成的过氧根离子:2021年天津市南开区教师招聘考试题《中学化学》(精选)(图4)
    7

    下列关于常见有机物的说法正确的是(  

    A、分子式为2021年天津市南开区教师招聘考试题《中学化学》(精选)(图5)的有机物,一定能发生消去反应
    B、氨基酸是构成蛋白质的基本单元,核苷酸是构成核酸的基本单元
    C、高级脂肪酸钠溶液和甘油可用分液的方法分离
    D、煤的干馏可得到煤焦油,石油分馏可得到乙烯和苯
    8

    下列有关物质性质与用途的说法正确的是(  

    A、向饱和苯酚溶液中滴加2021年天津市南开区教师招聘考试题《中学化学》(精选)(图6)溶液,有2021年天津市南开区教师招聘考试题《中学化学》(精选)(图7)气体生成
    B、金属表面的煤油可用纯碱溶液除去
    C、铝制器皿因铝表面易形成致密的氧化膜可长时间盛放咸菜等腌制食品
    D、滴加几滴醋酸可提高漂白精的漂白效果
    9

    下列有关说法不正确的是(  

    A、除去乙酸乙酯中的乙酸杂质,加入饱和碳酸钠溶液后分液
    B、可用稀盐酸鉴别2021年天津市南开区教师招聘考试题《中学化学》(精选)(图8)2021年天津市南开区教师招聘考试题《中学化学》(精选)(图9)2021年天津市南开区教师招聘考试题《中学化学》(精选)(图6)、NaClO四种溶液
    C、试管壁附着的银镜用氨水清除
    D、2021年天津市南开区教师招聘考试题《中学化学》(精选)(图11)加入足量稀硫酸,加热浓缩、冷却、结晶、过滤后得到胆矾晶体
    10

    下列描述中正确的是(  

    A、晶体中,若含有阳离子也一定含有阴离子
    B、原子晶体中只含共价键
    C、分子晶体中只存在分子间作用力
    D、离子晶体中只含离子键
    11

    下列说法正确的是(  

    A、2021年天津市南开区教师招聘考试题《中学化学》(精选)(图12)通入到2021年天津市南开区教师招聘考试题《中学化学》(精选)(图13)溶液中可得到2021年天津市南开区教师招聘考试题《中学化学》(精选)(图14)
    B、铅蓄电池在放电过程中,负极、正极质量都增加
    C、室温下,2021年天津市南开区教师招聘考试题《中学化学》(精选)(图15)不能自发进行,则该反应为焓减反应
    D、明矾水解生成2021年天津市南开区教师招聘考试题《中学化学》(精选)(图16)胶体,可用作净水剂和消毒剂
    12

    下列关于有机物的命名中正确的是(  

    A、2-二甲基庚烷
    B、2-乙基丙烷
    C、1,2-二甲基丁烷
    D、2,3-二甲基己烷
    13

    已知有机物M在一定条件下可转化为N。下列说法正确的是(  

    2021年天津市南开区教师招聘考试题《中学化学》(精选)(图17)  

    A、M能与2021年天津市南开区教师招聘考试题《中学化学》(精选)(图18)溶液反应而N不能
    B、N分子中所有碳原子一定共平面
    C、该反应类型为加成反应
    D、N的一氯代物共6种 
    14

    2021年天津市南开区教师招聘考试题《中学化学》(精选)(图19)为阿伏加德罗常数的值,下列说法正确的是(  )

    A、0.18g 2021年天津市南开区教师招聘考试题《中学化学》(精选)(图20)中所含质子数为0.08 2021年天津市南开区教师招聘考试题《中学化学》(精选)(图19)
    B、1mol/L 2021年天津市南开区教师招聘考试题《中学化学》(精选)(图22)中钠离子个数为22021年天津市南开区教师招聘考试题《中学化学》(精选)(图19)
    C、标准状况下,2021年天津市南开区教师招聘考试题《中学化学》(精选)(图24)2021年天津市南开区教师招聘考试题《中学化学》(精选)(图25)的混合气体共112L,其中所含的分子数为52021年天津市南开区教师招聘考试题《中学化学》(精选)(图19)
    D、1L 0.1mol/L 2021年天津市南开区教师招聘考试题《中学化学》(精选)(图27)溶液中,2021年天津市南开区教师招聘考试题《中学化学》(精选)(图28)的数量为0.12021年天津市南开区教师招聘考试题《中学化学》(精选)(图19)
    15

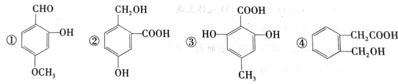
    下列化合物中可以看作醇类的是(  

    2021年天津市南开区教师招聘考试题《中学化学》(精选)(图30)

    A、①②③④
    B、②③④
    C、①③
    D、②④
    16

    下列有关叙述中不正确的是(  

    A、蛋白质溶液可以利用渗析法除去其中的离子和小分子来进行提纯
    B、蛋白质溶液加入氯化钠盐析后,加水仍能溶解
    C、在强酸、强碱作用下蛋白质溶液的性质变化是可逆的
    D、蛋白质在高温下发生变性
    17

    在无色强酸性溶液中,下列各组离子能够大量共存的是(  

    A、2021年天津市南开区教师招聘考试题《中学化学》(精选)(图31)
    B、2021年天津市南开区教师招聘考试题《中学化学》(精选)(图32)
    C、2021年天津市南开区教师招聘考试题《中学化学》(精选)(图33)
    D、2021年天津市南开区教师招聘考试题《中学化学》(精选)(图34)
    18

    下列化学反应方程式正确的是(  

    A、用2021年天津市南开区教师招聘考试题《中学化学》(精选)(图6)溶液将水垢中的2021年天津市南开区教师招聘考试题《中学化学》(精选)(图36)转化为2021年天津市南开区教师招聘考试题《中学化学》(精选)(图37)
    B、用铁氰化钾检验2021年天津市南开区教师招聘考试题《中学化学》(精选)(图38)
    C、电解饱和食盐水,产生黄绿色气体:2NaCl2021年天津市南开区教师招聘考试题《中学化学》(精选)(图39)2021年天津市南开区教师招聘考试题《中学化学》(精选)(图40)
    D、碱性锌锰干电池放电时,负极反应式2021年天津市南开区教师招聘考试题《中学化学》(精选)(图41)
    19

    下列叙述正确的是(  

    A、稀乙酸加水稀释,乙酸电离程度增大,溶液的pH减小
    B、硝酸中滴加氨水至中性,溶液中溶质为硝酸铵
    C、室温下,饱和石灰水中加入少量CaO,恢复至室温后溶液溶质减少
    D、证明Fe比2021年天津市南开区教师招聘考试题《中学化学》(精选)(图24)活泼,可将铁屑放入稀硝酸中观察是否有氢气生成
    20

    下列说法中正确的是(  

    A、2021年天津市南开区教师招聘考试题《中学化学》(精选)(图43)分子是三角锥形,这是因为中心原子P是2021年天津市南开区教师招聘考试题《中学化学》(精选)(图44)杂化且带一对孤电子
    B、2021年天津市南开区教师招聘考试题《中学化学》(精选)(图44)杂化轨道是由任意的1s轨道和3p轨道混合形成的四个杂化轨道
    C、凡中心原子采取2021年天津市南开区教师招聘考试题《中学化学》(精选)(图44)杂化的分子,其空间构型都是四面体
    D、2021年天津市南开区教师招聘考试题《中学化学》(精选)(图47)型分子立体构型必为平面三角形
    21

    根据反应:2021年天津市南开区教师招聘考试题《中学化学》(精选)(图48)将过量2021年天津市南开区教师招聘考试题《中学化学》(精选)(图49)溶液加入含2021年天津市南开区教师招聘考试题《中学化学》(精选)(图50)的氨水中,生成M[化学式为2021年天津市南开区教师招聘考试题《中学化学》(精选)(图51)],测得M中有2个过氧键。下列叙述正确的是(  

    A、MCr的化合价为+8
    B、参与反应的2021年天津市南开区教师招聘考试题《中学化学》(精选)(图49)全部被氧化
    C、转移0.4mol电子时,生成M的质量为33.4g
    D、2021年天津市南开区教师招聘考试题《中学化学》(精选)(图53)溶液中滴加几滴M的溶液,没有明显现象
    22

    锂空气电池是一种以空气中的氧气作为正极反应物,锂作负极的电池。其工作原理如图,下列说法中不正确的是(  

    2021年天津市南开区教师招聘考试题《中学化学》(精选)(图54)

    A、正极的电极反应:2021年天津市南开区教师招聘考试题《中学化学》(精选)(图55),负极的电极反应:2021年天津市南开区教师招聘考试题《中学化学》(精选)(图56)
    B、多孔电极有利于氧气扩散至电极表面
    C、专用充电电极在充电时可防止空气极腐蚀和劣化
    D、可以是乙醇等无水有机物作为有机电解液
    23

    恒温恒容下,向2L密闭容器中加入2021年天津市南开区教师招聘考试题《中学化学》(精选)(图57)CO(g),发生反应:2021年天津市南开区教师招聘考试题《中学化学》(精选)(图58)2021年天津市南开区教师招聘考试题《中学化学》(精选)(图59)反应过程中测定的部分数据见表,下列说法正确的是(  

    2021年天津市南开区教师招聘考试题《中学化学》(精选)(图60)

    A、0~2min内的平均速率为v(CO)=0.6mol/(L·min)
    B、4min后,平衡移动的原因可能是向容器中加入了2.0mol2021年天津市南开区教师招聘考试题《中学化学》(精选)(图12)
    C、4min后,若升高温度,2021年天津市南开区教师招聘考试题《中学化学》(精选)(图12)物质的量浓度变为0.7mol/L,则正反应为放热反应
    D、其他条件不变,若起始时容器中2021年天津市南开区教师招聘考试题《中学化学》(精选)(图8)、CO均为1.0mol,则平衡时n(2021年天津市南开区教师招聘考试题《中学化学》(精选)(图12))=0.6mol
    二、多项选择题。本大题共2小题,每小题2分,共4分
    24

    Be可形成化合物2021年天津市南开区教师招聘考试题《中学化学》(精选)(图65)。下列有关Be及其化合物的叙述正确的是(  

    A、2021年天津市南开区教师招聘考试题《中学化学》(精选)(图66)易溶于氨水
    B、BeO不能溶于硫酸
    C、Be可溶于KOH溶液生成2021年天津市南开区教师招聘考试题《中学化学》(精选)(图24)
    D、2021年天津市南开区教师招聘考试题《中学化学》(精选)(图65)溶液与过量HCl反应生成2021年天津市南开区教师招聘考试题《中学化学》(精选)(图69)
    25

    下列实验装置、试剂选择和操作均正确的是(  

    2021年天津市南开区教师招聘考试题《中学化学》(精选)(图70)

    A、A
    B、B
    C、C
    D、D
    三、解答题。本大题共5题,每小题10分,共50分
    26

    镁及其化合物在生产、生活中应用广泛。

    (1)镁在元素周期表中的位置为                  。 镁原子基态时的最高能级是                  

    (2)镁的碳化物常见的有2021年天津市南开区教师招聘考试题《中学化学》(精选)(图71)2021年天津市南开区教师招聘考试题《中学化学》(精选)(图72)两种,可分别发生水解反应生成乙炔和丙二烯,写出2021年天津市南开区教师招聘考试题《中学化学》(精选)(图71)水解反应的方程                            2021年天津市南开区教师招聘考试题《中学化学》(精选)(图72)的电子式为             

    (3)由Mg可制成-次氯酸盐燃料电池,其装置示意图如下图所示,该电池反应的离子方程式为                                              

    2021年天津市南开区教师招聘考试题《中学化学》(精选)(图75)

    27

    我国科学家成功合成了世界上首个五氮阴离子盐2021年天津市南开区教师招聘考试题《中学化学》(精选)(图76)(用R表示),请根据其组成的元素和结构回答下列问题:

    (1)氮原子价层电子的轨道表达式为:                               

    (2)第一电离能N         O(填”““=”),其原因是                                                      

    (3)经X射线衍射测得化合物R的晶体结构,其局部结构如下图所示。

    2021年天津市南开区教师招聘考试题《中学化学》(精选)(图77)

    ①R中两种阳离子的相同之处为            ,不同之处为             。(填标号)

    A.中心原子的杂化轨道类型

    B.中心原子的价层电子对数

    C.立体结构

    D.共价键类型

    ②R中阴离子2021年天津市南开区教师招聘考试题《中学化学》(精选)(图78)中的σ键总数为            个。

    (4)提取炼铜的阳极泥中金、银、铂时,用到王水(2021年天津市南开区教师招聘考试题《中学化学》(精选)(图79)和HCl的物质的量之比为1:3的混酸),过程如下:

    2021年天津市南开区教师招聘考试题《中学化学》(精选)(图80)

    2021年天津市南开区教师招聘考试题《中学化学》(精选)(图81)中配体是                      

    金和浓硝酸反应的是化学方程式为:2021年天津市南开区教师招聘考试题《中学化学》(精选)(图82),该反应的平衡常数很小,几乎不反应,但金却可以溶于王水,试写出该反应的化学方程式                                               

    28

    麻黄素(H)是中枢神经兴奋剂,其合成路线如图所示。NBS是一种选择性溴代试剂。

    2021年天津市南开区教师招聘考试题《中学化学》(精选)(图83)

    已知:2021年天津市南开区教师招聘考试题《中学化学》(精选)(图84)2021年天津市南开区教师招聘考试题《中学化学》(精选)(图85)2021年天津市南开区教师招聘考试题《中学化学》(精选)(图86)

    1E中官能团的名称为                 

    (2)反应类型:反应A→B                 

    (3)结构简式:G                 

    (4)写出B→C的化学方程式                                  

    (5)化合物F的芳香族同分异构体有多种,结构和性质如下:遇2021年天津市南开区教师招聘考试题《中学化学》(精选)(图87)溶液发生显色反应,能和银氨溶液发生银镜反应,苯环上只有两个临位取代基,则符合上述要求的同分异构体结构简式可能为                          

    (6)请仿照题中合成流程图,设计以氯乙烷为起始主原料合成2021年天津市南开区教师招聘考试题《中学化学》(精选)(图88)的合成路线(用流程图表示,其他试剂及溶剂任选)。

    29

    淀粉水解的产物(2021年天津市南开区教师招聘考试题《中学化学》(精选)(图89))用硝酸氧化可以制备草酸,装置如图所示(加热、搅拌和仪器固定装置均已略去):

    2021年天津市南开区教师招聘考试题《中学化学》(精选)(图90)

    实验过程如下:

    1:1的淀粉水乳液与少许98%硫酸加入烧杯中,水浴加热至85~90℃,保持30min,然后逐渐将温度降至60℃左右;

    将一定量的淀粉水解液加入三颈烧瓶中;

    控制反应液温度在55~60℃条件下,边搅拌边缓慢滴加一定量含有适量催化剂的混酸(65% 2021年天津市南开区教师招聘考试题《中学化学》(精选)(图79)与98% 2021年天津市南开区教师招聘考试题《中学化学》(精选)(图92)的质量比为4:3)溶液;

    反应3h左右,冷却,减压过滤后再重结晶得草酸晶体(2021年天津市南开区教师招聘考试题《中学化学》(精选)(图93),相对分子质量126)。

    硝酸氧化淀粉水解液过程中可发生下列反应:

    2021年天津市南开区教师招聘考试题《中学化学》(精选)(图94)

    2021年天津市南开区教师招聘考试题《中学化学》(精选)(图95)

    2021年天津市南开区教师招聘考试题《中学化学》(精选)(图96)

    请回答下列问题:

    (1)实验水浴加热的作用和缺点分别为                            

    (2)检验淀粉是否水解完全所用的试剂为                            

    (3)当尾气中n(2021年天津市南开区教师招聘考试题《中学化学》(精选)(图97)):n(NO)=1:1时,过量的NaOH溶液能够将氮氧化物全部吸收,只生成一种钠盐,化学方程式为                               。若用步骤后含硫酸的母液来吸收氮氧化物,其优点是                                      ,缺点是                                           

    (4)将产品在恒温箱内约90℃以下烘干至恒重,得到二水合草酸。用2021年天津市南开区教师招聘考试题《中学化学》(精选)(图98)标准溶液滴定,该反应的离子方程式为                                   。称取该样品0.12g,加适量水完全溶解,然后用0.020mol/L的酸性2021年天津市南开区教师招聘考试题《中学化学》(精选)(图98)溶液滴定至终点(杂质不参与反应),此时溶液颜色变化是                       。滴定前后滴定管中的页面读数如图所示,则该草酸晶体样品中二水合草酸的质量分数为                     

    30

    EDTA(其中氮元素呈-3价)简写为2021年天津市南开区教师招聘考试题《中学化学》(精选)(图100),易形成配合物。

    I.2021年天津市南开区教师招聘考试题《中学化学》(精选)(图100)2021年天津市南开区教师招聘考试题《中学化学》(精选)(图102)形成的络合物2021年天津市南开区教师招聘考试题《中学化学》(精选)(图103)可用于吸收烟气中的NO。其吸收原理:

    2021年天津市南开区教师招聘考试题《中学化学》(精选)(图104)

    (1)将含NO的烟气以一定的流速通入起始温度为50℃2021年天津市南开区教师招聘考试题《中学化学》(精选)(图103)溶液中。时间越长,NO吸收率越低的原因是                                      

    (2)生成的2021年天津市南开区教师招聘考试题《中学化学》(精选)(图103)(NO)(aq)可通过加入过量铁粉还原再生,NO被还原为2021年天津市南开区教师招聘考试题《中学化学》(精选)(图107)。则反应的离子方程式为                                           。若吸收液再生消耗28g铁粉,则吸收的烟气中含有NO的物质的量为            mol

    (3)高铁酸钠(2021年天津市南开区教师招聘考试题《中学化学》(精选)(图108))在酸性条件下不稳定。用2021年天津市南开区教师招聘考试题《中学化学》(精选)(图108)处理后的废水中2021年天津市南开区教师招聘考试题《中学化学》(精选)(图110)的浓度与pH的关系(如下图所示)。pH越大,废水处理效果越好,这是因                                                               

    2021年天津市南开区教师招聘考试题《中学化学》(精选)(图111)

    II.配合铜(2021年天津市南开区教师招聘考试题《中学化学》(精选)(图112))废水的处理一直是环境工程领域的研究热点。

    2021年天津市南开区教师招聘考试题《中学化学》(精选)(图100)2021年天津市南开区教师招聘考试题《中学化学》(精选)(图110)2021年天津市南开区教师招聘考试题《中学化学》(精选)(图115)配合反应如下:

    2021年天津市南开区教师招聘考试题《中学化学》(精选)(图116)

    (1)向含有配合铜(2021年天津市南开区教师招聘考试题《中学化学》(精选)(图112))废水中加入一种黄色的盐溶液A可解离出2021年天津市南开区教师招聘考试题《中学化学》(精选)(图110),则盐A中阳离子为                      

    (2)调节pH可将2021年天津市南开区教师招聘考试题《中学化学》(精选)(图110)转化为2021年天津市南开区教师招聘考试题《中学化学》(精选)(图11)沉淀。

    若要使c(2021年天津市南开区教师招聘考试题《中学化学》(精选)(图110))≤2.2×2021年天津市南开区教师招聘考试题《中学化学》(精选)(图122)mol/LpH应不低于                      (常温下,Ksp[2021年天津市南开区教师招聘考试题《中学化学》(精选)(图11)]2021年天津市南开区教师招聘考试题《中学化学》(精选)(图124)mol/L)。

    加载中~