细胞是生物体结构和功能的基本单位。下列关于细胞基本共性的描述中,错误的是( )。
在检测还原糖、脂肪、蛋白质的实验中,最佳的一组实验材料依次是( )。
①甘蔗的茎
②油菜籽
③花生种子
④梨
⑤甜菜的块根
⑥豆浆
等位基因Aa和Bb分别位于不同对的同源染色体上。让显性纯合子(AABB)和隐性纯合子(aabb)杂交得到F1,再让F1测交,测交后代的表现型比例为1∶3。如果让F1自交,则下列表现型比例中,F2代不可能出现的是( )。
以基因型为RRYY和rryy的二倍体植株为亲本,欲培育出基因型为RRrrYYyy的植株。下列方法可行的是( )。
依据达尔文的自然选择学说,下列叙述正确的是( )。
假如一个种群的出生率很高,那么,这一种群最可能( )。
在生物体内,下列生理活动只能单向进行的是( )。
某同学用显微镜观察洋葱鳞片叶表皮细胞,看到了下列几幅图像,几幅图出现的先后顺序是( )。

如下图所示,科学家进行变形虫的切割实验,这个实验最能说明( )。

如下图表示某反应物剩余量随pH及温度的变化情况,下列叙述错误的是( )。

下表为探究“馒头在口腔中的变化”的实验记录,1.2.3号试管加碘液后的实验现象依次如下表,该实验中能得出的结论是( )。

抢救呼吸和心跳骤停的落水者时,需要采取心肺复苏的措施,为了提高抢救的成功率,心肺复苏措施的正确顺序是( )。
①开放气道
②胸外按压
③人工呼吸
下列模式图表示几种细胞器,有关说法正确的是( )。

如下图所示,图1所示为半透膜对淀粉和葡萄糖的通透性,开始时图2漏斗内外液面相平,下列正确的是 ( )。

如下图所示,图1、图2分别表示某种生物细胞有丝分裂过程中某一时期的模式图,图3表示有丝分裂中不同时期每条染色体上DNA分子数的变化,图4表示有丝分裂中不同时期染色体和DNA的数量关系,其叙述错误的是( )。

正常情况下,基因型为
的果蝇体内,存在4个R基因的细胞为( )。
下图为遗传系谱图,2号个体无甲病致病基因。对有关说法,正确的是( )。

切除正常幼年狗的垂体后,短期内该狗血液中三种激素——促甲状腺激素释放激素(a)、促甲状腺激素(b)、甲状腺激素(c)的含量随时间的变化曲线最可能是( )。

下表为森林生态系统能量垂直分配情况(以地表为0,顶层为1),有关判断合理的是( )。

下图是生态系统中某元素循环的模式图,请回答:

(1)该图为循环模式图。
(2)在生态系统成分中,图中是消费者;
(3)图中①过程代表作用;②③过程代表作用;
(4)图示可以看出,生态系统的物质循环和能量流动中,物质可以反复利用,而能量流动的特点是。
过氧化氢(
)俗称双氧水。细胞在代谢过程中,会产生
,它对细胞有毒害作用,但体内有酶的存在,可以使其分解为无毒物质。某同学想探究影响
分解的因素,设计了如下实验,请回答:

(1)本实验设计中④的作用是。
(2)在上述①~⑤号试管中,产生气泡最多的是。
(3)比较试管②和③,说明酶的催化作用受的影响。
(4)比较试管①和②,说明酶具有;②与试管比较,说明酶的催化作用需适宜的酸碱度。
某校生物小组为探究某萝卜细胞的细胞液浓度,实验如下:将该萝卜切成长度和宽度相同的细条,记录长度。再将其分为a、b、c、d、e和f六组(每条大小相同)。取上述6组萝卜细条分别置于不同浓度的蔗糖溶液中浸泡,相同时间后记录各条的长度,结果如下图:(假如蔗糖溶液与萝卜细胞之间只有水分交换)

(一)实验原理:
萝卜细胞是成熟的植物细胞,水分主要通过渗透方式进出细胞。当外界溶液浓度大于细胞液浓度时,细胞失水;反之,则吸水。
(二)实验结果分析:
(1)本实验的自变量是________。
(2)根据实验结果分析,________组细胞可能不会发生质壁分离。
(3)根据实验结果,该萝卜细胞的细胞液浓度相当于实验中的蔗糖溶液浓度________ 之间。
(4)为了验证该实验的准确性,你建议________________________(2分)。
梅雨季节,食品和衣物保存不当表面很容易发霉,霉菌的生活受哪些非生物因素的影响呢?某小组同学进行了探究,过程如下,分析实验,回答:

(1)通过A与B的对照实验,探究的问题是________。
(2)A、B组的实验变量是________;分析实验结果,可得出的结论是________。
(3)为了探究温度对霉菌生活的影响,他们设计的C组与B组实验形成对照,C组中的①、②的条件分别是________和________。
下图表示合在一起的动物(图A)植物(图B)细胞亚显微结构模式图。据图回答:
(1)图B属于植物细胞,与图A的典型区别是它具有2和(填标号)。
(2)两类细胞中同时含有的能量转换器是(填名称)。
(3)如果图B代表低等植物模式图,还应具有的细胞器是(填标号)。
(4)真核细胞与原核细胞都具有的一类细胞器,在此图中是。
(5)图中的细胞膜、细胞器膜和核膜共同构成了细胞的,使细胞内的各种结构和功能紧密联系,协调配合。
为研究棉花去棉铃(果实)后对叶片光合作用的影响,研究者选取至少具有10个棉铃的植株,去除不同比例棉铃,3天后测定叶片的
固定速率以及蔗糖和淀粉含量。结果如下图,请据图回答:

(1)光合作用暗反应利用光反应产生的,在叶绿体中将
转化为单糖,进而形成淀粉和蔗糖。
(2)由图1可知,随着去除棉铃百分率的提高,叶片光合速率。本实验中对照组(空白对照组)植株的
固定速率相对值是。
(3)由图2可知,去除棉铃后,植株叶片中淀粉和蔗糖含量(增加/减少)。由此可推测,叶片中光合产物的积累会(促进/抑制)光合作用。
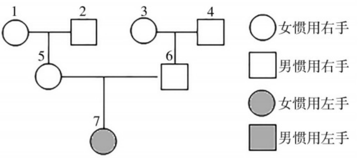
研究表明,人类天生惯用右手与天生惯用左手是一对相对性状,如果控制该对性状的基因位于常染色体上,且存在显隐性关系(用A、a表示),请分析下图某家系图(例如:1、2号结婚生下5号)。

请回答:
(1)从图中可以看出,控制天生惯用左手的基因对天生惯用右手的基因为________(填“显性”或“隐性”)。
(2)图中7号与5号、6号的性状存在差异,称为________。
(3)通过7号的基因型推导5号的基因型可能为________。
(4)如果7号个体经过矫正为惯用右手,她与一个天生惯用右手的男人结婚,其后代________出现天生惯用左手的孩子(填“有可能”或“不可能”)。
(5)由于国家的二胎政策,5号和6号夫妇再生一个天生惯用左手男孩的概率是________。
果蝇的灰身和黑身、刚毛和截毛各为一对相对性状,分别由等位基因A、a和D、d控制。某科研小组用一对灰身刚毛果蝇进行了多次杂交实验,得到的F1代表现型及比例如下表:

请回答:
(1)果蝇的灰身和黑身、刚毛和截毛这两对相对性状中,属于隐性性状的是________性状。
(2)上表实验结果存在与理论分析不吻合的情况,原因可能是基因型为________的受精卵不能正常发育成活。
(3)控制果蝇眼色的基因仅位于X染色体上,红眼(R)对白眼(r)为显性。研究发现,眼色基因可能会因染色体片段缺失而丢失(记为
);若果蝇两条性染色体上都无眼色基因,则其无法存活。在一次用纯合红眼雌果蝇(
)与白眼雄果蝇(
)杂交的实验中,子代中出现了一只白眼雌果蝇。欲用一次杂交实验判断这只白眼雌果蝇出现的原因,可让这只白眼雌果蝇与任意的一只红眼雄果蝇杂交,通过观察后代果蝇的表现型及比例,得出结论:(填字母)。
①若子代果蝇中雌性全红眼,雄性中红眼∶白眼=1∶1,则是由________导致的变异;
②若子代果蝇中雌性全红眼,雄性全白眼,且雌∶雄=1∶1,则是由________导致的变异;
③若子代果蝇中雌性全红眼,雄性全白眼,且雌∶雄=2∶1,则是由________导致的变异。
A.基因突变 B.染色体片段缺失 C.环境条件改变
下图中A、B、C为三个神经元构成的反射弧,①②③⑥⑧表示反射弧结构,④⑤⑦表示反射弧上的三个位点,请据图回答:

(1)A、B、C细胞间信息的传递方向为________(用字母和箭头表示)。
(2)刺激④部位,该部位膜内的电位变化情况是________。
(3)实验用具:如电刺激设备,电位测量仪等。请你探究:兴奋在神经纤维上的传导是否为双向的?并预测可能的结果。(利用标注的数字⑥、⑦、⑧说明刺激、测量和观察的部位),设计简单实验方案:________________________________________________________________。
