登录 注册 退出 电话:13805314440
首页 国考 省考选调 事业单位 人才引进 军队文职 三支一扶 医疗卫生 教师招考 教师资格 招警 银行 国企 社区
  • 浙江
  • 山东
  • 江苏
  • 广东
  • 四川
  • 福建
  • 广西
  • 安徽
  • 上海
  • 北京
  • 辽宁
  • 天津
  • 河北
  • 海南
  • 河南
  • 江西
  • 湖南
  • 湖北
  • 山西
  • 内蒙古
  • 吉林
  • 黑龙江
  • 贵州
  • 重庆
  • 陕西
  • 甘肃
  • 云南
  • 新疆
  • 宁夏
  • 青海
  • 西藏
  • 深圳
  • 广州
  • 2017年长沙市教育局直属单位教师招聘考试《中学数学》真题及答案(精选)

    编辑:公联 时间:2025-09-15 【联系客服】
    一、单项选择题(本大题共10小题,每小题3.5分,共35分,下列选项中有且只有一个正确选项,选错、不选均不记分)
    1
    2017年长沙市教育局直属单位教师招聘考试《中学数学》真题及答案(精选)(图1)
    A、2017年长沙市教育局直属单位教师招聘考试《中学数学》真题及答案(精选)(图2)
    B、A≥B
    C、A≤B
    D、A=B
    2
    将函数f(x)=ex的图像向左平移一个单位得到图像C1,再将图像C1向上平移一个单位得到C2,作出C2关于y=x的对称图像C3,则C3对应的函数解析式为( )。
    A、2017年长沙市教育局直属单位教师招聘考试《中学数学》真题及答案(精选)(图3)
    B、2017年长沙市教育局直属单位教师招聘考试《中学数学》真题及答案(精选)(图4)
    C、2017年长沙市教育局直属单位教师招聘考试《中学数学》真题及答案(精选)(图5)
    D、2017年长沙市教育局直属单位教师招聘考试《中学数学》真题及答案(精选)(图6)
    3
    为使方程x2+(a+2i)x+3+ai=0(i是虚数单位)至少有一个实数根,则实数a的取值为( )。
    A、a≥4
    B、a≤-4
    C、a≥4或a≤-4
    D、2017年长沙市教育局直属单位教师招聘考试《中学数学》真题及答案(精选)(图7)
    4
    若存在实数a,b使得m ex-x≤0的解集为[a,b],则m的取值范围是( )。
    A、2017年长沙市教育局直属单位教师招聘考试《中学数学》真题及答案(精选)(图8)
    B、2017年长沙市教育局直属单位教师招聘考试《中学数学》真题及答案(精选)(图9)
    C、2017年长沙市教育局直属单位教师招聘考试《中学数学》真题及答案(精选)(图10)
    D、2017年长沙市教育局直属单位教师招聘考试《中学数学》真题及答案(精选)(图11)
    5
    已知定义在R上的函数f(x)是周期为3的奇函数,当x∈(0,3/2)时,f(x)=sinπx,则函数f(x)在区间[0,5]上的零点个数为多少?
    A、4
    B、5
    C、6
    D、7
    6
    由x=e,y=2x及曲线2017年长沙市教育局直属单位教师招聘考试《中学数学》真题及答案(精选)(图12)所围成的封闭图形的面积为( )。
    A、2017年长沙市教育局直属单位教师招聘考试《中学数学》真题及答案(精选)(图13)
    B、e2-3
    C、3
    D、e
    7
    点F为双曲线2017年长沙市教育局直属单位教师招聘考试《中学数学》真题及答案(精选)(图14)的焦点,过点F的直线与双曲线的一条渐近线垂直且交于点A,与另一条渐近线交于点B,2017年长沙市教育局直属单位教师招聘考试《中学数学》真题及答案(精选)(图15)则双曲线的离心率是( )。
    A、2017年长沙市教育局直属单位教师招聘考试《中学数学》真题及答案(精选)(图16)
    B、2017年长沙市教育局直属单位教师招聘考试《中学数学》真题及答案(精选)(图17)
    C、2017年长沙市教育局直属单位教师招聘考试《中学数学》真题及答案(精选)(图18)
    D、2017年长沙市教育局直属单位教师招聘考试《中学数学》真题及答案(精选)(图19)
    8
    已知正方体ABCD-A1B1C1D1的棱长为6,E是AB的中点,点P是面BB1C1C上的一动点,其满足∠DPC=∠EPB,则三棱锥P-ABC体积的最大值为( )。
    A、36
    B、2017年长沙市教育局直属单位教师招聘考试《中学数学》真题及答案(精选)(图20)
    C、24
    D、2017年长沙市教育局直属单位教师招聘考试《中学数学》真题及答案(精选)(图21)
    9
    对方程4x|x|+9y|y|+36=0,有如下叙述:①x与y具有函数关系,②x+y≤0,③当x≥0
    时,y≤-2,④y可能随x的增大而增大,⑤点(x,y)不会在第一象限,其中论断错误的个数是( )。
    A、4
    B、3
    C、2
    D、1
    10
    如图是一个算法的程序框图,若此程序运行结果为S=3,则在判断框中应填入关于i的判断条件是( )。
    A、i≤7?
    B、i≤8?
    C、i≤9?
    D、i≤10? 2017年长沙市教育局直属单位教师招聘考试《中学数学》真题及答案(精选)(图22)
    二、填空题(本大题共4小题,每小题4分,共16分)
    11
    在△ABC中,若2sinA+cosB=2,2017年长沙市教育局直属单位教师招聘考试《中学数学》真题及答案(精选)(图23),则∠C的大小应为_________。
    12
    已知实数x,y满足不等式组2017年长沙市教育局直属单位教师招聘考试《中学数学》真题及答案(精选)(图24)则z=x+2y的取值范围为_________。
    13
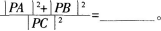
    在Rt△ABC中,已知D为斜边AB上的中点,点P在线段CD上,且满足|CP|=|PD|,则2017年长沙市教育局直属单位教师招聘考试《中学数学》真题及答案(精选)(图25)
    三、解答题(本大题共5小题。共49分)
    14
    (7分)某项闯关挑战赛设有A,B两个关卡,A,B关卡依次进行,只有闯过关卡A,才能进入关卡B,A,B关卡均有2次挑战机会,现有人参与挑战,其顺利通过关卡A的概率是2017年长沙市教育局直属单位教师招聘考试《中学数学》真题及答案(精选)(图26),其顺利通过关卡B的概率是2017年长沙市教育局直属单位教师招聘考试《中学数学》真题及答案(精选)(图27),假设各次挑战互不影响。
    (1)求其顺利闯关的概率;(2分)
    (2)假设其不放过每次机会,记参加挑战的次数为2017年长沙市教育局直属单位教师招聘考试《中学数学》真题及答案(精选)(图28),求2017年长沙市教育局直属单位教师招聘考试《中学数学》真题及答案(精选)(图29)的数学期望2017年长沙市教育局直属单位教师招聘考试《中学数学》真题及答案(精选)(图30)(5分)
    15
    (10分)已知在四棱锥P-ABCD中,底面ABCD为矩形,AD=2,AB=1,PA⊥平面ABCD,
    E,F分别是线段AB,BC的中点,G为PA上的点,且PG=3GA。
    2017年长沙市教育局直属单位教师招聘考试《中学数学》真题及答案(精选)(图31)
    (1)证明:PF⊥FD;(3分)
    (2)证明:EG∥平面PDF;(3分)
    (3)若PA=1,求二面角A-PD-F的余弦值。(4分)
    16
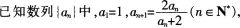
    (10分)2017年长沙市教育局直属单位教师招聘考试《中学数学》真题及答案(精选)(图32)
    (1)求数列{an}的通项公式;(4分)
    (2)2017年长沙市教育局直属单位教师招聘考试《中学数学》真题及答案(精选)(图33)N*)。(6分)
    17
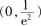
    (9分)已知函数2017年长沙市教育局直属单位教师招聘考试《中学数学》真题及答案(精选)(图34)
    (1)求函数f(x)的单调区间;(4分)
    (2)对一切x∈(0,+∞),2f(x)≤3x2+2ax+3恒成立,求实数a的取值范围。(5分)
    18
    (13分)已知抛物线C:y2=4x的焦点F,过点F的直线l与抛物线C交于A,B两点,过点K(-1,O)与点A的直线l´与抛物线C相交于另一点D。
    2017年长沙市教育局直属单位教师招聘考试《中学数学》真题及答案(精选)(图35)
    (1)求证:B,D关于x轴对称;(6分)
    (2)若作AB的垂直平分线与抛物线C交于M,N两点,以MN为直径的圆恰好经过A,B两点,求直线l的方程。(7分)
    加载中~