登录 注册 退出 电话:13805314440
首页 国考 省考选调 事业单位 人才引进 军队文职 三支一扶 医疗卫生 教师招考 教师资格 招警 银行 国企 社区
  • 浙江
  • 山东
  • 江苏
  • 广东
  • 四川
  • 福建
  • 广西
  • 安徽
  • 上海
  • 北京
  • 辽宁
  • 天津
  • 河北
  • 海南
  • 河南
  • 江西
  • 湖南
  • 湖北
  • 山西
  • 内蒙古
  • 吉林
  • 黑龙江
  • 贵州
  • 重庆
  • 陕西
  • 甘肃
  • 云南
  • 新疆
  • 宁夏
  • 青海
  • 西藏
  • 深圳
  • 广州
  • 2014年福建教师公开招聘考试《小学数学》真题及答案

    编辑:公联 时间:2025-09-14 【联系客服】
    一、单项选择题(共15小题,每小题4分,共60分)
    1
    下列选项正确的是( )。
    A、一种商品先提价10%,再降价10%,价格不变
    B、圆的半径扩大3倍,它的面积就扩大6倍
    C、侧面积相等的两个圆柱,它们的体积也相等
    D、两个合数可以是互质数
    2
    下列说法正确的是( )。
    A、两个面积相等的三角形一定能拼成一个平行四边形
    B、分数的分子与分母同时乘或除以相同的数,分数的大小不变
    C、在一个比例中.两个内项的积是1,那么这个比例的两个外项互为倒数
    D、把一根钢管截成5段,每段是全长的五分之一
    3
    一个底面积为9平方厘米的圆锥和一个棱长为3厘米的正方体的体积相等,圆锥的高是( )。
    A、3厘米
    B、6厘米
    C、9厘米
    D、18厘米
    4
    李师傅加工一个零件的时间从5分钟缩短为4分钟,工作效率提高了( )。
    A、20%
    B、25%
    C、75%
    D、80%
    5
    已知集合M={x∣x<1},N={x∣-1≤x≤2},那么M∪N=( )。
    A、{x∣-1≤x<1}
    B、{x∣-1≤x≤2}
    C、{x∣x≤2}
    D、{x∣x≥-1}
    6
    椭圆4x2+y2=k上任意两点间最大距离是4,那么k=( )。
    A、4
    B、16
    C、32
    D、64
    7
    反比例函数2014年福建教师公开招聘考试《小学数学》真题及答案(图1)图象如图所示,下列结论正确的是( )。
    2014年福建教师公开招聘考试《小学数学》真题及答案(图2)
    A、常数k<-1
    B、函数f(x)在定义域范围内,y随着x的增大而减小
    C、若点C(-1,m),点B(2,n),在函数f(x)的图象上,则m<n
    D、函数f(x)图象对称轴的直线方程是y=x
    8
    某校高中生有2700人,其中高一年级900人,高二年级1200人,高三年级600人,现采取分层抽样法抽取容量为135的样本,那么高一、高二、高三各年级应抽取的人数分别为( )。
    A、45,75,15
    B、45,45,45
    C、30,90,15
    D、45,60,30
    9
    若C是线段AB的中点,则2014年福建教师公开招聘考试《小学数学》真题及答案(图3)=( )。
    A、AB的模
    B、BA的模
    C、AC的模
    D、0
    10
    若x、y是正数,且2014年福建教师公开招聘考试《小学数学》真题及答案(图4),则xy有( )。
    A、最小值1/16
    B、最小值16
    C、最大值1/16
    D、最大值16
    11
    直线ax+2y-1=0与x+(a-1)y+2=0平行,则a的值为( ):
    A、-1/2
    B、3/2
    C、-2或1
    D、-1或2
    12
    将整数分为正整数和负整数,这样的分类违反了概念分类原则中的( )。
    A、分类必须是对称的
    B、分类所得的各个子项应互相排斥
    C、每次分类必须按同一标准进行
    D、分类不能越级进行
    13
    下列属于同一关系的是( )。
    A、百分数与百分率
    B、质数与互质数
    C、正方形与长方形
    D、自然数与正整数
    14
    欧拉将“格尼斯堡七桥问题”转化为“一笔画问题”,所用到的数学思维方法是( )。
    A、比较
    B、判断
    C、抽象
    D、推理
    15
    在小学数学教材中,应用列方程的方法求解应用题,渗透的主要数学思想是( )。
    A、分类与整合思想;或然与必然思想
    B、一般与特殊思想;符号化思想
    C、或然与必然思想;数学模型思想
    D、符号化思想;数学模型思想
    二、填空题(共5题,第16、17、18小题每空4分,第19、20小题每空2分,共20分)
    16
    把一个圆平均分成若干份后拼成一个近似的长方形,已知宽比长少10.7厘米,这个圆的面积是 ________ 平方厘米。(π取3.14)
    17
    函数y=(x+1)2(x-1)在x=1处的导数等于________ 。
    18
    义务教育阶段的数学课程内容要反映社会的需要、数学的特点.要符合学生的认知规律,它不仅包括数学结果,也要包括数学结果的________和蕴涵的________ 。
    19
    数感主要是指关于数与数量 、________、________等方面的感悟。
    20
    培养运算能力有助于学生理解运算的________ ,寻求________的运算途径解决问题。
    三、简答题(本大题12分)
    21
    在“简化10.5:3.5”时,学生出现下列几种不同的做法:
    (1)10.5:3.5=105:35=3
    (2)10.5:3.5=105:35=3:1
    (3)10.5:3.5=105:35=2014年福建教师公开招聘考试《小学数学》真题及答案(图5)
    问题:哪一种做法是错误的?请分析导致错误的原因,并给出教学建议以避免类似的错误。
    四、解答题(共4题,都22题8分,第23、24、25题,每小题10分,共38分)
    22
    客车与货车同时从A、B两地相向而行,第一次相遇时距离A地140千米,然后各自按自己原来的速度继续行驶,分别到达对方出发地后立即原路返回.第二次相遇时距离A地的距离是A、B两地距离的60%,A、B两地距离为多少千米?
    23
    已知等差数列{an}中,a1=21,Sn是它的前n项之和,S7=S15。
    (1)求Sn;
    (2)这个数列的前多少项之和最大?求出最大值。
    24
    将52个志愿者分成甲,乙两组参加义务植树活动,甲组植树150捆杨树苗,乙组植树200捆松树苗,假定甲、乙两组同时开始种植。
    (1)根据历年统计,每名志愿者种植一捆杨树苗用时2/5小时。种植一捆松树苗用时1/2小时,应如何分配甲、乙两组的人数,才能使植树活动持续时间最短?
    (2)在按(1)分配人数种植1小时后发现,每名志愿者种植一捆杨树苗的时间仍为2/5小时,而每名志愿者种植一捆松树苗的时间为2/3小时.于是从甲组抽调6名志愿者加入乙组继续种植,求本次活动所持续的时间。
    25
    如图,在Rt△ACB中,∠ACB=90。,AC=15,BC=20,M是AB边上的动点(与A,B不重合),N是BC上的动点(与B,C不重合)。
    (1)当MN∥AC且BM=12.5时,求线段MN的长。
    (2)当MN与AC不平行时,△CMN可能成为直角三角形吗?若可能,请写出线段CN长的取值范围;若不可能,请说明理由。
    2014年福建教师公开招聘考试《小学数学》真题及答案(图6)
    五、综合应用题(共20分)
    26
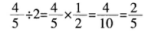
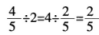
    以下是义务教育课程标准实验教科书(人教版)六年级上册关于“分数除以整数”的教学内容,请阅读并依据此回答后面的问题。
    把一张纸的4/5平均分成两份,每份是这张纸的几分之几?自己试着折一折,算一算。
    2014年福建教师公开招聘考试《小学数学》真题及答案(图7)
    (1)把4/5平均分成2份.就是4个1/5平均分成2份.每份就是2个1/5.就是2/5
    2014年福建教师公开招聘考试《小学数学》真题及答案(图8)
    2014年福建教师公开招聘考试《小学数学》真题及答案(图9)
    (2)把4/5平均分成2份。每份就是2014年福建教师公开招聘考试《小学数学》真题及答案(图10)
    2014年福建教师公开招聘考试《小学数学》真题及答案(图11)
    (1)该内容的教学应渗透哪些数学思想?请举例说明。
    (2)请写出该内容的教学难点,并说明教材是采用什么策略来突破难点的。
    (3)教材给出的分数除以整数的两种算法中,哪种算法更具有一般性,请简要说明理由。
    (4)在学生理解了以上两种算法后,可以用什么方法让学生理解哪种算法更具有一般性?请简要说明。
    加载中~