化学与生产、生活密切相关,下列说法正确的是( )。
可用作止血剂是因为
具有氧化性
2019年诺贝尔化学奖授予了在锂离子电池研究方面作出科学贡献的三位科学家。下列关于锂离子电池的说法正确的是( )。
已知在碱性溶液中可发生如下反应:

,则
中
的化合价是( )。
下列说法正确的是( )。
黄金中金的理论纯度为
,则
黄金中金的质量分数为75%
草酸晶体加入
水中,所得溶液的质量分数为
和
以任意比例混合,只要总物质的量一定,完全燃烧消耗的
的总量不变
两种金属混合物与足量稀硫酸反应生成
,该混合物可能由
和
组成下列分析正确的是( )。
下列各组离子或分子在溶液中能大量共存,且满足相应要求的是( )。

如图所示装置可以模拟铁的电化学腐蚀。下列说法错误的是( )。

是碳棒,将
与
连接,
棒电极反应式是
是锌棒,将
与
连接,
棒电极反应式是
是锌棒,将
与
连接,此方法是牺牲阳极的阴极保护法,可减缓铁的腐蚀
是碳棒,将
与
连接,此方法是外加电流的阴极保护法,可减缓铁的腐蚀1869年,俄国化学家门捷列夫把当时已知元素根据物理性质和化学性质进行了排列,并预测了两种未知元素的相对原子质量和位置,得到了原始的元素周期表,其部分内容如图所示。下列说法错误的是( )。

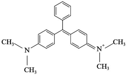
孔雀石绿可用作燃料和杀菌剂,具有较高的毒性,其结构简式如图所示。下列关于孔雀石绿的说法,正确的是( )。

发生加成反应利用如图所示装置制取表中的四种气体(图中夹持仪器已略去,a、b、c表示相应仪器中加入的试剂),能达到实验目的的是( )。


下列说法正确的是( )。
设
为阿伏加德罗常数的值。下列说法正确的是( )。
反应后的产物中所含离子数目为0.3
中含有极性键的数目为7
溶液中含有的
数目为0.02
通入足量
中,反应转移的电子数为0.1NA在化学教学过程中,教师要注意教学语言的科学性。下列表述正确的是( )。
科技发展日新月异,给中学化学实验教学也带来了较大的影响。下列说法正确的是( )。
化学教师对化学学科的理解情况直接影响教学的质量和效果。下列举措中不能增进教师对化学学科的理解的是( )。
核心概念是指能对众多事物和现象作出解释的大概念,具有较强的概括性、统摄性、持久性和迁移性。下列不属于初中化学核心概念的是( )。
在进行“酸的化学性质”这一内容教学的小结时,某化学教师在黑板上写出“酸能使酸碱指示剂变色”。就知识的学习过程而言,该过程属于( )。
推理是化学学习与研究的一种常用方法,下列推理和结论都正确的是( )。
和
组成元素相同,与
反应的产物也相同
、
都是强酸,它们和
的反应一定都属于复分解反应某同学在一次期末考试中,化学成绩为80分,物理成绩为75分,满分均为100分。下列说法正确的是( )。
下列关于技能性知识学习的表述错误的是( )。
阅读下列文字,回答有关问题。
复习课是中学化学教学中一种重要的课型。以某个专题内容为核心开展主题式学习是中学化学教师经常采用的一种复习课教学形式。
问题:
(1)请说明复习课在化学教学中的功能。
(2)请以“溶液”的复习为例,说明化学主题式复习教学常用的两种策略。
阅读下列文字,回答有关问题。
在化学教学中,教师首先要对教学内容的重点和难点进行分析和判断,进而在教学中“突出重点,突破难点”。
问题:
(1)什么是“教学重点”和“教学难点”?二者有什么关系?
(2)初中化学教学中,主要的教学难点可能有哪些?“突破难点”的主要教学策略有哪些?
某化学教师在一次化学测验中设计了下列试题,并对学生的解题结果进行了统计。
【试题】某白色粉末可能含有
、
、
、
、
中的一种或几种,为了探究其成分,某同学按照图所示流程进行了实验。

下列说法正确的是( )。
①若步骤Ⅱ中沉淀不溶解,则原白色粉末中一定有
,一定没有
②若步骤Ⅱ中沉淀部分溶解,则原白色粉末中一定有
、
、
③若步骤Ⅱ中沉淀部分溶解,则原白色粉末的组成可能有3种情况
④若步骤Ⅱ中沉淀完全溶解,则原白色粉末中一定有
、
,可能有
A.①③
B.①④
C.②③
D.②④
【考试结果】答题结果统计显示,只有
的学生回答正确。
根据上述信息,回答下列问题:
(1)本题正确的选项是什么?
(2)试对学生答错的原因进行分析。
(3)如果要你来讲评本题,你教给学生的正确解题思路是什么?
阅读案例,并回答问题。
案例:
下面是某教师进行“水的组成”教学的片段实录。
教师:请大家看大屏幕,著名化学家拉瓦锡利用这套装置不仅成功测定了空气中的主要成分,而且为我们研究物质的组成也提供了很好的方法。
(投影展示拉瓦锡的照片和测定空气成分的实验装置)
教师:这个实验中涉及了两个主要的化学反应,汞和氧气在加热条件下生成一种红色粉末;红色粉末继续加热又重新生成了汞和氧气。请同学们猜想这种红色粉末由哪些元素组成。
学生:由汞元素和氧元素组成。
教师:怎么来证明?
学生:因为红色粉末加热又生成了汞和氧气,所以证明它是由汞元素和氧元素组成的。
教师:很好!也就是说汞是由汞元素组成的单质,氧气是由氧元素组成的单质,红色粉末受热分解生成了两种单质,这两种单质的组成元素都来自红色粉末,所以我们可以推测出红色粉末的组成。
教师:那么谁还能从化合反应的角度推测出红色粉末的组成?
学生:就是因为红色粉末是由汞和氧气反应生成的,所以它一定是由汞元素和氧元素组成的。
教师:两种单质化合生成一种物质,也就是说组成单质的两种元素进入一种物质中,由此我们也可以推出红色粉末是由汞元素和氧元素组成的。
教师:综上所述,当多种单质化合生成一种物质的时候,我们可以推出这种物质的组成;当一种物质发生分解反应生成多种单质的时候,我们也可以根据生成的单质的元素组成推出化合物的组成。同样,我们也可以用这种方法研究其他物质的组成,如我们生活中常见的水。
教师:同学们,水的化学符号是什么?
学生:
。
教师:通过这个化学符号,我们可以知道水的组成,宏观上水由什么元素组成?怎么证明?
学生:由氢元素和氧元素组成,可以通过实验来证明。
教师:很好!实验是一种有效的方法,微观上水由什么构成?
学生:水分子。
教师:一个水分子由两个氢原子和一个氧原子构成,怎么证明?
教师:下面大家就可以根据前面我们学习的方法来设计实验,证明水的组成。
【部分板书如下所示】

问题:
(1)请简述该案例中教师的主要教学思路。
(2)请指出该案例中教师教学的优点。
(3)请指出该教师将要如何用化学实验证明水的组成。
阅读材料,根据要求完成任务。
材料一:《义务教育化学课程标准(2011年版)》关于“碳”的内容标准:认识氩、碳、氧、氮等与人类关系密切的常见元素。
材料二:某版本教科书中有关“单质碳的化学性质”的内容如下。
我国古代书法家、画家用墨(用炭黑等制成)书写或绘制的字画能够保存很长时间而不变色,这是为什么呢?
在常温下,碳的化学性质不活泼。碳受日光照射或与空气、水分接触,都不容易起变化。如果温度升高,碳的活泼性又如何呢?
1.碳与氧气的反应
你还记得木炭在氧气中燃烧的现象吗?当木炭充分燃烧时,与氧气反应生成二氧化碳,同时放出大量的热。

当木炭燃烧不充分的时候,生成一氧化碳,同时放出热。

2.碳与某些氧化物的反应
实验6-2 把刚烘干的木炭粉末和氧化铜粉末混合均匀,小心地铺放进试管,并将试管固定在铁架台上,试管口装有通入澄清石灰水的导管(如图6-9)。用酒精灯(可加网罩以使火焰集中并提高温度,最好使用酒精喷灯)加热混合物几分钟。然后先撤出导气管,待试管冷却后再把试管里的粉末倒在纸上。观察现象并分析。


木炭与氧化铜反应,生成铜和二氧化碳。

在这个反应里,氧化铜失去氧而变成单质铜。这种含氧化合物里的氧被夺去的反应,叫作还原反应。木炭是使氧化铜还原为铜的物质,它具有还原性。碳的还原性可用于冶金工业。例如,焦炭可以把铁从它的氧化物矿石里还原出来。

此外,在高温条件下,碳还能使二氧化碳转变成一氧化碳。

材料三:教学对象为初中学生,已经学过固体加热的基本实验操作、二氧化碳气体检验、化学方程式等内容。
要求:
(1)写出材料二中实验6-2的实验现象及分析。
(2)根据上述3个材料,完成“单质碳的化学性质”的教学设计,内容包括教学目标、教学方法和教学过程(不少于300字)。
