2017年,国家颁布的《互联网跟帖评论服务管理规定》指出跟帖评论服务使用者应当严格自律承诺遵守法律法规,尊重公序良俗、不得发布法律法规中与国家有关规定禁止的信息内容,跟帖评论服务提供及其从业人员不得为谋取不正当利益或基于错误价值的去向采取有选择地删除、推荐跟帖等方式干预舆论。跟帖评论服务提供着和用户不得利用软件、雇佣商业机构及人员等方式散布信息,干扰跟帖评论正常秩序,误导公众舆论。对该规定的实施,下列说法正确的是( )。
下列脚本语句中能弹出图1所示对话框的是( )。

图一
北京大兴机场环境大气,现代科技含量很高,其航站楼内的机器人(如图2所示),具有感知周边环境情况,实现智能避障功能,能够室内定位,自主导航、定点巡航、寻迹行至、自由行走等;而且能够使用语言和触屏方式进行人机交互、发布机场重要活动和新闻信息。该机器人采用的核心技术是( )。

图2
使用Word软件编辑文档时,部分界面如图3所示,下列说法正确的是( )。

若要在如图4所示Excel表E2单元格将字符串组合成“凡是自称领导要求汇款的,一律不管”,则E2单元格中插入的公式为( )。

图4
使用Gold Wave软件编辑音频文件时,选中其中一段音频后的部分编辑界面如图5所示,下列说法正确的是( )。

图5
使用Photoshop软件制作某图像的部分界面如图6所示,下列说法正确的是( )。

若某幻灯片的“自定义动画”设置的部分内容如图7所示,则该页面播放时的动画效果是( )。

图7
缺
缺
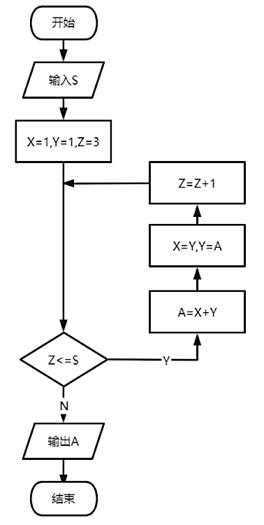
如图11所示的流程图算法中,若输入S=6,则输出的结果为( )。

王老师在给同学们介绍IP地址的概念和点分十进制记法时,采用分组实验的方法让大家体验IP地址的正确配置方法,如果计算机M能够与计算机N实现互联通信,那么这两台计算机的下列四种配置中正确的是( )。

在关系代数中,从两个关系的笛卡尔积选取它们属性间满足一定条件元组的操作称为( )。
下列关于二进制与其他进制转换的说法中,正确的是( )。

使用Ultra Edit软件查看字符内码,部分界面如图12所示,下列选项正确的是( )。

一年级某班学生排队,按照身高从低到高,从左到右依次排列。已知第一排八位学生的身高分别为:122,126,124,128,118,130,135,132(单位:厘米)。如果使用冒泡排序法对八位学生的身高进行升序排序,请你写出第一轮排序后的结果并简要说明冒泡排序算法的基本思想。
请简要回答TCP/IP中传输层的功能及两种主要协议。
“数字化学习与创新”是指个体通过评估并选用常见的数字化资源与工具,有效地管理学习过程与学习资源,创造性地解决问题,从而完成学习任务,形成创新作品的能力。请简要回答学生的“数字化学习与创新”主要体现在哪些方面?
《Scratch图章》一课的教学重点为Scratch“画笔”模块中的“图章”“清除”命令,涉及Scratch“画笔”“外观”“动作”等模块的内容。
赵老师第一次采用以下的流程进行教学:①介绍“图章”和“清除”命令;②演示“图章”程序的搭建方法;③学生练习编写“图章”命令的程序;④教师展示实例,学生模仿制作。
经过课后反思,赵老师在第二次教学时做了改动,他设计了“设问→解问→追问→考问”的“四问”教学步骤,基本流程如下:
①导入设问:教师展示只有一个花瓣的图例,询问学生,可否称之为花朵?学生质疑花瓣数量不够→问题产生:如何能在较短时间内,形成一朵完整的花→师生进入新授环节。随后赵老师出示4个任务,如下表所示。

②任务解问:一花一世界→解决花瓣的瞬间复制问题;五彩烂漫时→解决花朵的变色问题;动态花精彩→解决花朵的循环旋转问题;我花有深意→综合应用,自由制造。
③扩展追问:导入不同角色的花朵,启发学生思考,如何能让这些花朵达到心仪的动作方式→学生探索实现途径→通过修改程序、尝试程序积木的方式来获得任务的达成。
④总结考问:引导学生总结4个任务的实现过程,梳理出程序思考的过程,绘制出共性的流程图,并结合今天的主题进行Scratch的功能链接,从而加深意义学习的过程。
问题:
(1)请从学生学习结果角度,比较两次教学活动的差异。
(2)赵老师的“四问”对教学起到了什么作用?
《用递归算法解决问题》一课的主要教学目标是:
(1)理解递归算法及其缺点;
(2)应用自定义函数方法实现递归算法的编程。
为此,陈老师给同学们布置了如下所示的两道练习题。

陈老师在巡视过程中发现学生练习一的完成率比较高,但是仍有很多学生会将
写成
。学生在完成练习二的过程中,陈老师不时提醒:请同学们对比用这种方法求第1项和第35项时运行时间。
问题:
(1)陈老师布置的练习一和练习二两个题目之间存在什么关系?
(2)结合教学目标,分析学生在练习二时陈老师不时提醒学生的目的是什么?
阅读材料,根据要求完成教学设计。
信息技术深刻地改变着人们的生活、学习和工作方式。它在促进社会发展的同时,也带来了一系列信息安全问题如个人隐私泄露、信息诈骗、网络犯罪等。结合“信息安全”这部分教学内容,为响应学校开展的网络安全宣传周活动,王老师设计了主题为“信息安全,从我做起”的项目式学习,要求学生以小组为单位制作一份“信息安全风险和防范手册”。通过该项目学习,使学生了解信息系统和社会中常见的信息安全威胁,掌握信息安全风险以及应对措施,树立信息安全意识,力争做信息社会合格公民。
学习方法:项目式学习,一般包含以下主要环节,即确定项目主题、明确项目任务、规划项目方案、项目实施、材料整理与产品制作、成果展示评价与推广。
教学对象:初中二年级学生
学习环境:学校、家庭、社会
学习资源:教材、网站资源等
教学用时:3节连课(45分钟/课时)。
依据上述材料,完成以下任务。
(1)结合学习目标和项目学习主要环节,设计主题为“信息安全,从我做起”的项目学习过程。(15分)
(2)设计本项目学习的评价标准,以评价学生项目学习的全过程。(20分)
