是虚数单位,则
的虚部是( )。




若向量
,
满足
,且
,
,则
与
的夹角大小是( )。




安排甲、乙、丙三人完成A、B、C、D四项工作。每人至少完成一项。每项工作由一人完成。若甲不做A,乙不做B。则不同的安排方法有多少种( )。
函数
的图像大致为( )。

1. 设
,
,
,且
,若
恒成立。则实数
的取值范围是( )。




在
中,角
,
,
所对的边分别为
,
,
,若
,
,则
的最大值是( )。




若
为有理数,方程
有一个整数根,则整数根是( )。
数学运算素养的养成能够对于学生数学学习的情感态度产生影响。对于数学运算素养。以下说法不正确的是( )。
对于函数的学习,2011版课标指出:初步学会用三种语言(自然、图形、符号),表述数学研究对象,以下说法正确的是( )。
数学文化在数学中扮演着重要角色,下列选项不属于数学文化的是( )。
若周期为
的函数
,其中
,
,在区间
上单调递增,则
的取值范围是。
计算:
。
若直线
的参数方程为
,
为参数。曲线
的参数方程为
,
为参数,则曲线
被直线
所截的弦长为。
求值:
。
提升学生的素养,会用表达。
设数列
的前
项和为
(I)求数列
的通项公式;
(II)若数列
满足
,求数列
的前
项和
.
在四棱锥
中,
为正方形,
平面
,
,
是
、
的交点,
是
上一点,且
,
是
的中点。
(I)证明
;
(II)求四面体
的体积.

已知函数
(I)讨论
的单调性;
(II)求函数
在
上的最小值。
已知椭圆C:
,点
、
分别是椭圆的左、右顶点,
是椭圆上的点。
(I)当直线
的斜率为
时,直线
的斜率为
,求椭圆
的方程;
(II)在(I)的条件下,若坐标原点为
,斜率为
的直线
与椭圆相交于
、
两点,求
的取值范围。
如图在
中,点
在
边上,

,
与
、
分别相交于点
、
,且
,求证:
.

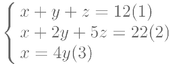
以下素材来自中学数学教材:
怎样解三元一次方程组呢?我们知道,二元一次方程可以利用代入法或加减法消去一个未知数,化成一元一次方程求解

仿照前面学过的代入法,我们可以把(3)分别代入(1)(2),得到两个只含有
,
的方程:


(1)试分析以上素材的编写意图?
(2)上述内容体现了什么样的教学思想?
以下素材来源于中学数学教材:

(1)根据以上素材设计相应的教学过程。
(2)对该教学活动中学生的思维活动进行分析。
