已知全集
,集合
,
,则
( )。




在复平面内,复数z满足
(为虚数単位),则z的共轭复数所对应的点位于( )。
若a,b
,
,
( )。
以下哪个函数既是奇函数,又在定义域内为增函数( )。




已知平面向量
,
满足
,
,且
,则向量
,
的夹角是( )。




对于数列
,定义数列
为数列
的“差数列”,若
,数列
的“差数列”的通项公式为
,则数列
的前n项和
=( )。



已知函数
,则( )。
的图像关于
对称
的图像关于点
中心对称
在
上单调递减
在
上单调递减数学课程内容是实现课程目标的重要载体。《义务教育数学课程标准2011年版》在课程基本理念中指出,课程内容的组织需要重视过程,处理好( )的关系。
《普通高中数学课程标准2017年版2022年修订》在基本理念中指出,高中数学教学以发展学生数学学科核心素养为导向,创设合适的教学情境,启发学生思考,引导学生把握数学内容的本质,不断引导学生感悟数学的科学价值、应用价值、文化价值和( )。
《普通高中数学课标准2017年版2022年修订》在学生质量水平中提出,“情境与问题”是体现数学学科核心素养的四个方面之一,其中教学情境主要包括( )。
的展开式中
的系数为。
____。
____。
椭圆
上任意一点Q到线直
的距离最小值为______。
《普通高中数学课程标准2017年版2022年修订》在预备知识的学业中明确提出:“初步学会用三种语言表达数学研究对象,并能进行转换”,上述论述中的“三种语言”分别为自然语言,和符号语言。
某校对该校高二年级学生的数学期中测试成绩(满分150分)进行了数据统计,现从甲、乙两个班100分以上的试卷中分别抽取了15份试卷进行分析,将得到的30份试卷的成绩制成茎叶图如下:
(1)求甲、乙两班抽取试卷的成绩的中位数
与
,并根据茎叶图判断
与
的大小。(只需写出结果)
(2)在这30份试卷中,从成绩145分以上(含145分)的试卷中任意抽取两份。试求这两份试卷均来自乙班的概率。

如图,在圆O中,M为弧AB的中点。弦MD、ME与弦AB分别交于C,F两点。

(1)若AC=MC=2,
,求CD。
(2)求证:C,D,E,F四点共圆。
如图,在四棱锥P-ABCD中,底面ABCD为正方形,平面PAB
平面ABCD,点E,F分别为棱CD与PB的中点。

(1)求证:EF
平面PAD。
(2)若PA
PB,且
,求异面直线AC与EF所成角的大小。
已知函数
(1)求
在
处的切线方程;
(2)讨论
在间
上的最小值。
平面直角坐标系中,双曲线
的右焦点为F,点A(2,3)在双曲线上,且AF
x轴。
(1)求双曲线C的方程;
(2)设P为双曲线C上异于A的动点,PA与直线
交于B,求证:B到PF的距离为定值,并求出这个值。
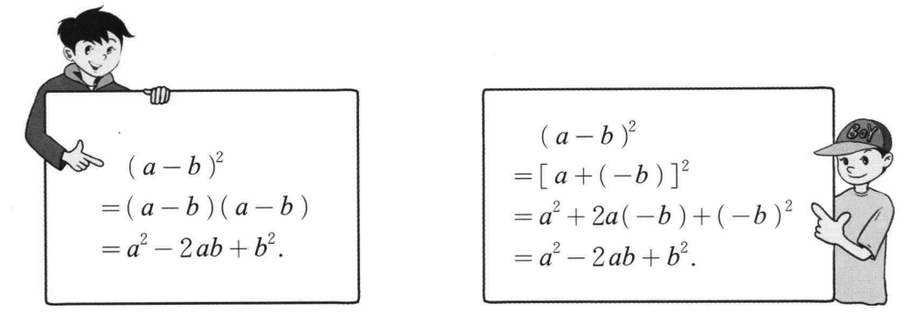
阅读完全平方式,(某教科书七年级下册)的教学素材。


(1)分析以上素材的编排意图;
(2)根据上述素材,设计一个图形解释完全平方公式
;
(3)新课标指出在数学课程中,应当注重发展学生的数感,符合意识,空间观念,几何直观,数据分析观念,运算能力,推理能力和模型思想,利用以上素材中的想一想栏目,可以重点发展学生以上8个核心词中的哪一个,并对核心词进行简要描述。
阅读“余弦定理”(某教科书必修2)

(1)依据上述素材,写出余弦定理和勾股定理的关系。
(2)撰写一份“凸显数学的内在逻辑和数学思想方法”的教学设计(只要求写出教学过程),设计中需融入余弦定理和勾股定理的关系。
