初心在最开始的时候,往往简单 ,但是它会慢慢长大,就像一颗种子能够长成参天大树,又仿佛站在零的起点慢慢 成很长很长的道路。到最后我们发现,所谓初心,就是在所有的愿望、誓言和 当中离自己本心最近的那颗心。
依次填入横线处最恰当的一项是:
金属,作为大自然给予人类的珍贵馈赠, 着人类文明的发展和社会的进步。考古学家将石器时代之后的文明时期命名为青铜时代、铁器时代,将金属材料的 作为时代的标志性特征,充分说明金属在人类社会的各个转型期起到了举足轻重的作用。
依次填入横线处最恰当的一项是:
依次填入划横线部分最恰当的一项是:
(1)随着生活水平的提高,人们对食品安全的诉求,早已超越了简单的有没有毒、有没有害,而是延伸到对健康、环保 的追求。
(2)民心是最大的政治,严肃查处群众身边的“微腐败”, 民心,合乎民意。
(3)改革再往前走,会有破冰的艰辛,需要攻坚的勇气,但无论怎样,公平正义是不可偏移的指针,增强群众获得感的任务 不能忘记。
时下,不少博物馆都在大力开发文创产品,凝结智慧结晶的国宝文物 需要借文创产品“活”起来、“潮”起来, 更需要将其文化艺术价值深植人心, 实现可持续传承。
填入横线处的词语最恰当的一组是:
京剧与中医、武术、国画并称中国的“四大国粹”,半个世纪前,那些名角、“头牌”演出时,往往 ,一票难求。而在当今,年轻一代往往对本土传统文化弃之如敝履,对带洋字的文化则 。
填入横线处的成语最恰当的一组是:
下列各句中划线词语使用恰当的一项是:
下列各句中如把划线的成语改换成括号里的成语后,句意基本不变的一句是 。
下面一段话中,有语病的一句是 。
①我们的老祖宗是不缺微量元素的,他们靠打猎和采集为生,食物的来源非常丰富。②农业的出现,大大减少了食物的种类,但最新的研究表明,起码在农业的早期,农民们仍然会采集野生植物来吃,微量元素肯定也是不缺乏的。③直到农业发展后期导致人口过剩,很多穷人都吃不饱,人类社会才第一次出现了微量元素缺乏这种毛病。④资本主义工业化的出现加剧了这一现象,因为那些以牟利为终极目标的食品制造商不断地通过精细加工来提升食品的口感,微量元素在加工过程中大量流失掉了。
将“所谓好钢用在刀刃上”这句话填入下列文段,位置最合理的是 。
我们必须清醒认识到,技术只是赋能,并非全能。①在安全生产上,技术能否发挥实效,关键还看人的使用。②安全生产具有很高的专业性,添加新技术应当科学合理,不可盲从。③比如某些大数据监管,以数据汇报替代现场检查,反而容易掩藏隐患、蒙蔽监管。④运用新技术,不妨多些问题思维,直奔痛点、难点、堵点去解决,才能真正使安全生产水平迈上新台阶。
下列句子中语法结构不同于其它三句的是 。
记忆的重要性不仅适用于人类历史,个人的历史也是一样。一个人倘若没什么值得记忆的事,人生就会变得贫乏。20世纪初的教育改革家就完全忽略了这回事。他们研究证明,“机械性的背诵”不是储存与搜集资讯的有效方法。在他们的努力争取下,背诵式学习被排除在学校之外。如果记忆只是为了解决实际问题,这一派教育改革家的论证或许很正确。但如果我们把控制意识看得跟完成工作同样重要,那么把复杂的资讯模式牢记在心中,绝不能说是一种浪费。稳定的内涵能使心灵更丰富,所谓创造力与背诵式学习不兼容,其实是一项错误的假设。多位最具创意的科学家,都以能记忆大量音乐、诗歌及历史资讯而著称。
对以上语段概括最恰当的一项是:
因为传统媒体的式微,媒体所扮演的传统的守门人角色也被淡化,每个人都可以拥有自己的信息分发渠道,更多机构可以利用大数据和算法为消费者提供定制化的资讯。在“你需要知道的”与“你想要知道的”两者之间,如果“你想要知道的”资讯唾手可得,那很多人就很难走出自己的“舒适地带”。有研究发现,即使在上世纪60年代的英国,人们也会选择符合自己文化偏见的电视节目。数字经济时代,强化这种偏见的趋势更是急剧加强。
这段文字主要说明的是:
扶贫题材创作要求创作者走向现实的更深处,突破自我想象的限度。不然,作品中对扶贫现实困境的展示至多也只能激发起观众的一份短暂的同情与痛心而已。对困境的书写赋予电视剧创作以深刻的现实意义,而这里的“现实”理应包含无法克服的困难与始终未解的难题。如此,作品将被贯注更深沉、更冷峻的现实主义精神,并以此突破当前扶贫题材创作的限度,迈向更高的台阶。
与上述语段意思符合的一项是:
据史料记载,从明代永乐年间开始,官窑瓷器上便有落帝王年号款的传统。然而,十五世纪中期,即明代的正统、景泰、天顺时期,帝位更迭频繁,政局动荡,至今未见任何一件有明确纪年的陶瓷器物。由于不书年款,史料记载语焉不详,这三朝的官窑面貌一直模糊不清,被称为中国陶瓷史上的“空白期”或“黑暗期”。
这段时期之所以被称为“空白期”或“黑暗期”是因为:
近代上海不光是中国特大城市,还是外国人居住比例最高的城市。人口规模越大,人们互动、交流机会便越多。在市场经济作用下,这必然导致分工细密、技术革新与产品升级。创造与创新的增长速率通常高于人口增长速率。城市人口异质程度越高,不同文化之间的差异越大,相互取长补短的概率越高,创新速率越大。
这段文字主要说明的是:
随着人类遗传学的发展,研究人员认识到,人类最基本的遗传单位是染色体上的基因,基因是“制造”和“操纵”人类机体的蓝图,它指挥着细胞合成人类生命的基础——蛋白质。但是,当基因发生变化时,其编码的蛋白质不能履行自己正常的功能,这种情况下可能会出现疾病。
依据上文,以下对“基因”这一概念的说明,不正确的是:
根据今天的考古发现,公元前3000年前的苏美尔人就开始酿造啤酒了,对苏美尔人来说,啤酒被称作“kas”,也就是“嘴巴渴望的东西”。在古埃及,啤酒被当作报酬支付给那些建造金字塔的工人们。对古埃及人来说,拥有一座啤酒坊就意味着幸福。古时的人们可能因为啤酒而联系在一起,在那些非自然的聚居地聚集到一起,定居下来,形成城市。到今天,写作《啤酒圣经》的兰迪·穆沙认为,啤酒有助于人们磨去棱角,变得温和。而使得城市更适宜居住,啤酒相当于城市的“社会润滑剂”。饮用啤酒的生活方式,或者说社交方式,从两河流域以及金字塔奇迹开始就嵌入了人类的文明史。
过去半个世纪以来,围绕农业源起的研究,已经诞生了许多发现,也证实了这一假说:农业的开始乃至城市社会或者人类文明的诞生,确实与啤酒有关。
当大约一万年前冰川退去,成片野草出现,首先在“肥沃的新月区”,人类开始发现有些野草可以培育得穗粒更大、淀粉更多、以便食用,就是各种谷物,包括了小麦、大麦和燕麦等。对基因图谱的研究表明,大麦首先在今天的以色列-约旦一带被种植,然后伊拉克的库尔德斯坦、伊朗的西南部,然后逐渐扩散到埃及、摩洛哥,以及阿富汗、巴基斯坦和喜马拉雅山区。在这些最初的大麦种植区也发现了最早的啤酒,如苏美尔人石刻的啤酒酿造和饮用场景,埃及金字塔周边的啤酒遗迹。
最关键的,人们为什么要种植谷物?小麦可以做面包,大麦可以酿啤酒,这些似乎是天然的食物来源和加工方式到底是怎么形成的,并且影响着人类文明和生活方式?要知道,直到今天,世界上仍然有许多人对谷物过敏,不得不食用专门“不含麸质”的加工食物。人类的基因并不是天然适合谷物的。
人类学家和脑科学研究者们揭开了这个谜。宾州大学的人类学者SolomonKatz和博物馆学者MaryVoigt在1986年发表了一篇论文《面包与啤酒》,颇有开创性地指出,谷物和牛奶一样都包含一种外啡肽,能够起到镇痛、安抚紧张的作用,而且效果比牛奶所含的外啡肽还强。人们对后者的研究比较多,早就证实喝牛奶对婴儿有减少啼哭的镇静作用,这可以解释晚上临睡前喝一杯牛奶的镇静功效确实存在。只是,传统上牛奶并非成年人的常有饮料,而谷物却能起到相同的作用,这对人类社会的聚居和政治社会的形成可能是至关重要的。
从膳食品种的热量和蛋白质来说,谷物未必是人类的最佳选择。种植谷物还意味着两次收获期之间可能面临饥荒。但是,谷物特有的外啡肽却以大脑奖励的方式改变人的行为方式,让人变得温和而更具社会性。这可以帮助人在那些谷物种植区安顿下来,结成村庄。谷物还以其便于衡量财富的量化特性,即所谓多少石或蒲式耳计算的收获和交易,促进着贸易、分工和财富积累,规模约为一万人的最小城市便在农业开始的同时成为可能。
而大麦,因其外壳自然附有的酶,如同葡萄外皮的酶一样,天然适合发酵,也天然有利于吸附、过滤杂质,从种植的一开始似乎就被利用来酿酒而非食用。大麦发酵为啤酒,进一步强化了谷物的镇静功能和幸福意义,奖励着人类农业种植的选择。
根据本文内容,我们可以推知 。
根据本文内容,人类文明的诞生与啤酒有关的原因是 。
本文最有可能发表在 。
给本文加一个标题,下列最恰当的是 。
今夫权衡规矩,一定而不易,不为秦楚变节,不为胡越改容,常一而不邪,方行而不流,一日刑之,万世传之,而以无为为之。故国有亡主,而世无废道;人有困穷,而理无不通。由此观之,无为者,道之宗。故得道之宗,应物无穷;任人之才,难以至治。
汤、武,圣主也,而不能与越人乘斡舟而浮于江湖。伊尹,贤相也,而不能与胡人骑骡马而服驹駼。孔、墨博通,而不能与山居者入榛薄险阻也。由此观之,则人知之于物也,浅矣。而欲以遍照海内,存万方,不因道之数,而专己之能,则其穷不达矣。故智不足以治天下也,桀之力,制觡伸钩,索铁歙金,椎移大牺,水杀鼋鼍,陆捕熊罴,然汤革车三百乘,困之鸣条,擒之焦门。由此观之,勇力不足以持天下矣。
智不足以为治,勇不足以为强,则人材不足任,明也。而君人者不下庙堂之上,而知四海之外者,因物以识物,因人以知人也。故积力之所举,则无不胜也。众智之所为,则无不成也。坎井之无鼋鼍,隘也;园中之无修木,小也。夫举重鼎者,力少而不能胜也,及至其移徙之,不待其多力者。故千人之群无绝梁,万人之聚无废功。
下面论点与上文作者论述内容无关的是 。
上文作者用汤王、武王、伊尹、孔子、墨子的史实是为了证明 。
上文没有用到的论证方法是 。
上文阐述的中心论点是 。
下列选项与上文阐述的观点不一致的是 。
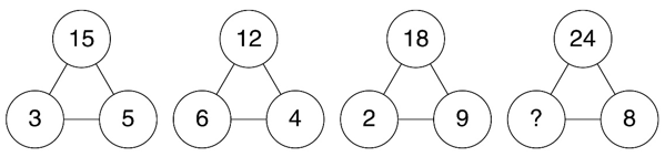
根据数表中的规律,“?”处应填 。

数列:1,
,2,
,
,3,
,
,
,4,( )




数列:12,42,48,69,831,( )
数列:(3,5),(5,7),(11,13),(17,19),(29,31),( )
根据下列数字关系,“?”中的数字不可能是 。

小李父子俩佩戴智能手表跑步锻炼,同时从小区门口出发,绕小区一圈后又同时到达小区门口,手表给出如下锻炼“时间—配速”图线。根据图线分析,在 ,小李的跑动距离与父亲相同。

时刻
时刻
时刻
时刻某班有48位同学,教室里有6排,每排8个座位。若在每个周一早上班里同学按照如下要求换座位:①第一排同学换到最后一排,其他每排同学向前换一排;②最左边一列的同学换到最右边一列,其他每列同学向左换一列。那么坐在第一排最左边的同学经过 后首次回到第一排最左边。
某超市设有10个人工收银台。周末10个收银台全开,顾客结账平均排队20分钟。为提高效率,超市撤了4个人工收银台,并改造为6个自助收银台。若自助收银的效率是人工收银效率的90%。改造后,周末当人工收银台和自助收银台全开,预计顾客结账平均排队耗时约为 。
在一个坡面角约为
的山坡上有一个泉眼,从泉眼开挖一条正对山脚向下到山脚的灌溉水渠。已知泉眼距地面的垂直高度约为100米,开挖水渠每米的土方量约为0.3立方米,则开挖整条水渠的土方量约为 。(
,
,
)
足球比赛在每个半场结束时都有一段时间的伤停补时,这是由当值主裁判决定的。某场比赛的主裁判确定伤停补时的规则为:每次处理受伤增加30秒,每次换人增加20秒,其他情况每次增加10秒。在下半场即将结束时,主裁判确定伤停补时的时长为4分30秒。若已知下半场比赛时间内,处理受伤、换人和其他情况都存在且共计有10次,那么下半场两队总共换了 人。
某公司生产A、B两种产品,其中B是A的升级产品。经过调研,预判2022年市场对A产品的需求比2021年下降30%(A产品的价格不变)。因此公司决定增加对B产品营销,使B产品在2022年的销售收入比2021年增长70%,这样恰好使公司2022年的总销售收入比2021年增长10%。则2021年B产品的销售额占总销售额的比例是 。
某公园有一个圆形的湖,在湖的直径EB处有一座观光桥,横穿整个湖。园区在平行于观光桥的MN处建造了一片雕塑群,用以介绍中国古代礼仪与民俗,其长度等于湖的半径。某游客在湖边与观光桥上边走边欣赏湖中的雕塑群,走过了A、B、C、D四处位置。如图所示,A为该湖的圆心,N、D、C在一条线上,且
。那么在这四处位置,游客的观察视角大于
的有 处。(观察视角,即游客在该点处观看景物的视野张角,例如在D点处,其观察视角为
)

地球绕太阳公转的周期为365天5小时48分46秒。为了弥补历法规定造成的一年365天与地球公转周期的时间差,每4年设立一个闰年,闰年共有366天,并每百年减去一个闰年。若地球绕太阳公转的周期为365天8小时,而历法规定每一年仍是365天,那么为了补足地球公转周期的时间差,需要每( )设置一个闰年。
老李5月份在鱼塘放养了5000尾鱼苗,年底前为了估测鱼苗的存活情况,老李随机捞取了100尾鱼苗做上记号后放回鱼塘。若干天后老李又先后10次随机捞取100尾,捞取后放回,并分别统计其中标有记号的鱼苗,依次得:1、19、6、5、7、6、11、2、7、6,则此时鱼苗的存活数量最接近 。
题目正在全力以赴征集,将会在征集到后第一时间上传
独角兽公司是投资界术语,一般指成立不超过10年,估值超过10亿美元,少部分估值超过100亿美元的企业,其不仅是优质和市场潜力无限的绩优股,而且商业模式很难被复制。


2021年我国独角兽企业数量比2018年增长了约 。
2021年在我国独角兽企业中随机抽一家,该企业恰好属于估值在100亿美元及以上的可能性大约为 。
2018年如果想调查我国独角兽企业的经营状况,至少要抽取 家公司才能保证至少有一家公司估值不低于50亿美元。
2021年,我国估值在100亿美元及以上的独角兽企业15家合计估值为7280亿美元,占据全部独角兽企业估值的54.03%。若2021年我国独角兽企业市场总估值较2018年增长了32.21%,则2018年我国独角兽企业市场总估值约为 亿美元。
行业集中度,是指某行业的相关市场内前N家最大的企业(头部企业)所占市场份额(产值、产量、销售额、销售量、职工人数、资产总额等)的总和,是对整个行业的市场结构集中程度的测量指标,用来衡量企业的数目和相对规模的差异,是市场势力的重要量化指标。如果将独角兽企业视为一个行业,而头部企业均选取13家,与2018年相比,2021年的行业集中度 。


2020年,江浙沪地区年人均教育文化娱乐支出在年人均消费支出中的占比约为 。
以下年份中,江浙沪地区年人均消费支出年增长额最多的是 。
根据2020年江浙沪地区年人均支出情况,可估算2021年江苏省南通市的消费市场规模和教育文化娱乐市场规模分别约为 亿元和 亿元。
若以上海、苏州、南京和温州这四个城市的教育文化娱乐市场为总体,假定各城市2021年人均教育文化娱乐支出都为3380元,那么下图中 最可能展示了这四个城市2021年教育文化娱乐市场规模的占比情况。




与2015年相比,2020年江浙沪地区年人均教育文化娱乐支出增量 年人均消费支出增量,年人均教育文化娱乐支出增长率 年人均消费支出增长率。
2022年2月,“东数西算”工程正式全面启动。云计算在“东数西算”产业链中游占据重要位置。2020年上半年和2021年上半年,中国整体云服务市场规模分别为1171亿元和1620亿元,其三个细分领域市场IaaS(基础设施即服务)、PaaS(平台即服务)和SaaS(软件即服务)的规模如下表1。

在中国整体云服务市场中,2020年上半年和2021年上半年,公有云市场规模分别为830亿元和1235亿元。在公有云市场份额方面,阿里云、华为云、腾讯云位列2021年上半年中国IaaS公有云市场和中国IaaS+PaaS公有云市场前三名,具体占比如下表2。

在IaaS+PaaS公有云市场中,前三大运营商2021年上半年市场占比总和位于 区间。
在2021年上半年PaaS公有云市场中,相对于腾讯云的市场份额,阿里云的市场份额 。
2021年上半年同比增长率最大的是 市场。
2021年上半年,前三大运营商在IaaS+PaaS公有云市场中的份额差最大值为 。
根据资料,下列说法错误的是 。
催化加氢可制取汽油,转化过程示意图如下(括号内是汽油中某些成分的球棍模型),根据图中的信息下列判断错误的是:

元素的化合价不发生改变
制取汽油的技术,有利于实现“碳中和”的目标氢气是一种可持续发展的新能源和工业原料。利用太阳能将水转化为氢气是一种理想途径。某种光分解水技术的反应过程如图所示,下列判断错误的是:

的作用是作催化剂
外,还有
和
与
反应生成
和
国务院印发《2030年前碳达峰行动方案》,我国向世界承诺,2030年前实现碳达峰,2060年前实现碳中和。“碳中和”是指一定时间内排放的碳总量与吸收的碳总量相互抵消,实现碳“零排放”,下列化学变化能够实现降碳目标的是:




纯碱
是化工之母,实验室中通过以下实验模拟工业制纯碱。向饱和NaCl溶液中先通入氨气再通入二氧化碳:
发生反应的化学方程式为①
,
加热得到纯碱的反应方程式为②
下列判断错误的是:
可以用作化肥
可以为①循环使用
的方法是过滤
固体是纯净物工业上经常需要研究和控制反应的速度,如通过添加抗氧化剂来减缓橡胶轮胎的老化速度;通过添加催化剂来加快反应速度。以下为探究外界因素对化学反应速度影响的实验方案,下列五组实验无法研究的影响因素是:

下表中所示为部分燃料的热值。若要将10℃的水加热至60℃,假设燃料燃烧释放的能量全部给了水。已知水的比热容为
J/kg·℃。下列判断正确的是:

“蹦极”是一项惊险刺激的娱乐项目。下列v-t图能基本正确反映出蹦极中人在到达最低点之前的速度随时间变化关系的是:




如图所示是一种测定风速的装置,压力传感器固定在竖直墙上,弹簧一端固定在传感器上的M点,另一端N与迎风板相连,弹簧穿在光滑水平放置的电阻率较大的金属细杆上。根据以上信息推断下面说法正确的是:

均热板是一个内壁具有微细结构的真空腔体,通常由铜制成。当热量由热源传导至蒸发区时,腔体里的冷却液吸收热能且体积迅速膨胀,气相的冷却介质迅速充满整个腔体,当气相介质接触到一个比较冷的区域时便会产生凝结的现象。借由凝结的现象释放出在蒸发时累积的热量,凝结后的冷却液会借由微结构的毛细管道再回到蒸发热源处,从而起到散热作用。
根据以上信息下列判断错误的是:
2021年6月11日,国家航天局公布了由祝融号火星车拍摄的着陆点全景、火星地形地貌、“中国印迹”和“着巡合影”等影像图。首批科学影像图的发布,标志着我国首次火星探测任务取得圆满成功。自祝融号2021年5月15日着陆火星开始,截至2022年5月1日,祝融号火星车累计行驶1921米,在火星表面工作342个火星日。
根据以上信息下列判断正确的是:
气压是作用在单位面积上的大气压力。气压不仅随温度变化,也因海拔高度而异。2022年7月的一天,测出三地(当天天气均为晴天)的气压分别为100.6KPa、87.4KPa、60.3KPa,则这三个地方最有可能依次是:
下列选项中,符合所给图形的变化规律的是 。

下列选项中,符合所给图形的变化规律的是 。

下列选项中,符合所给图形的变化规律的是 。

下列选项中,符合所给图形的变化规律的是 。
下列选项中,符合所给图形的变化规律的是 。

下列选项中,符合所给图形的变化规律的是 。

下列选项中,可以由左图给定的平面图折叠而成的是 。

下列选项中,符合所给图形的规律的是 。

下列选项中,符合所给图形的变化规律的是 。

下列选项中,与其他三项不同的是 。

下列选项中,符合所给图形的变化规律的是 。

下列选项中,符合所给图形的变化规律的是 。

约2.3万至2.1万年前,一位年轻人在一处远古湖泊旁潮湿的沙滩上走过,这里如今是美国新墨西哥州白沙国家公园,多年前那位年轻人留下的足迹已变成了化石。大约在这些足迹形成的同一时期,人类从亚洲走到美洲的路线被巨大的冰盖所阻挡。关于人类何时首次踏足美洲,科学家一直争论不休。许多专家认为,人类直到1.3万年前才首次出现在美洲。而此次在白沙国家公园发现的足迹有力地证明,人类早在2.1万年前便已开始在北美生活了。
下列 项最可能是以上论述的前提假设。
甲:交警不能无缘无故拦截私家车。
乙:你看视频了吗?女子高速闯卡,逃逸途中被警察拦截,要接受处理。
甲:我看了视频,附近根本没有高速公路,哪里有高速闯卡?
以下各项如果为真,最能质疑甲的观点的是( )项。
美国马萨诸塞州的防疫部门最近发表了一份检测报告,在该州境内接受检疫的野生白尾鹿里面,有70%感染上了某种病毒。据研究,该病毒最初是从人传播到鹿身上的,随后发生变异,可在鹿群中间传播。目前防疫部门只对和人类有过接触的白尾鹿进行检疫。防疫部门的专家由此推测,州内的野生白尾鹿中感染了此种病毒的比例将显著地小于70%。
下列各项如果为真,哪项最能够支持上述论点?
只要引进知名教练并投入充足的运营费用,就能够使一个俱乐部的球队在联赛的排名显著提升。只有对现行的买卖球员制度和奖金分配制度进行改革,才能引进到知名教练并获得充足的运营经费。某俱乐部经过几年的建设,其球队在联赛的排名并未得到显著提升。
上述断定如果为真,可以推出下列哪项为真?
有研究团队使用小鼠模型,发现敲除ASGR1基因会在肝细胞中抑制mTORC1信号通路,同时激活AMPK信号通路,最终导致胆固醇通过胆汁排出,并且通过粪便排泄到体外,从而降低了血液和肝脏中胆固醇水平。为了探索这一基因突变在治疗方面的应用,研究人员开发了靶向ASGR1的抗体疗法。实验结果显示,抗ASGR1抗体成功复制了ASGR1基因敲除对下游信号通路的影响,将小鼠的血清总胆固醇水平降低50%,同时将血清甘油三酯水平降低22%。这一抗体同时降低了肝脏中的总胆固醇水平和甘油三酯水平。
根据以上陈述,可以得出下列哪项结论?
你若活着,则不可能知道自己已经死了;你若死了,则也不可能知道自己已经死了。你或者活着,或者死了,总之,你都不可能知道自己已经死了。
以下选项与上述论证方式最为相似的是哪项?
某单位购买了一批影像资料,有科幻片、故事片、战争片等;有国内的、欧美的、印度的;有中文的,也有英文原版的。其中,所有的科幻片都不是英文原版的,所有的故事片都是英文原版的,所有的故事片都是印度的。战争片既有印度的,也有欧美的;既有中文的,也有英文原版的。
根据以上陈述,关于这批影像资料可以得出 项。
休谟的实践推理理论,是否具有实践推理能力对回答智能机器是否具有道德权利和道德地位等问题具有启发性。因为,根据休谟的理论,人类、非人类的智能机器都能够进行实践推理,尽管智能机器的信念和欲望相较于人类的非常有限,它们的实践推理能力也相对有限。但是,如果智能机器能够像人一样具有道德情感或自利概念等,那么它们也能做出像人一样的实践推理,拥有像人一样的道德权利和道德地位。
以下选项最准确地概括了上述论证的基本结构的是 项。
某处室共有李、王、陈、宋、文5人,办公室就该处室是否购买打印机和投影仪征询5人意见。5人表示如下:
李:不管买不买打印机,都要买投影仪;
王:两样都买;
陈:两样至少买一样;
宋:若买投影仪,则一定也买打印机;
文:两样至多买一样。
办公室经过综合考虑,最终完成了采购工作。
根据以上信息,可知办公室最终的采购不可能 。
某国际会议期间,会务组招聘了张、王、李、陈、宋、孔、何7名志愿者,拟将他们分配至甲、乙、丙3个工作组,每组分配2至3人。已知:
(1)若王、李和孔中至少有一人分配在甲组或者丙组,则分配至乙组的是张和宋;
(2)若宋、何中至少有一人分配在乙组或者丙组,则分配至甲组的是张和李。
根据上述信息,下列 项中的两人是分配至丙组的。
年终某单位评优,拟从所属甲、乙、丙、丁、戊、己、庚、辛8个部门中推选出12名候选人。要求:
(1)甲、乙、丁、辛4部门人数较少,4部门合计推选出2名候选人;
(2)没有合适人选的部门不必勉强推荐,有合适人选的部门至多可以推选出4名候选人;
(3)若甲、丙两部门至少有1个部门推选出候选人,则戊、己、庚3部门至多有1个部门可推选出候选人。
根据上述信息,可以得出下列 项中的两个部门均推选出了候选人。
若丙和戊两部门合计推选出2名候选人,则可以得出下列 项。
2022年10月16日,中国共产党第二十次全国代表大会在北京开幕。习近平代表第十九届中央委员会向大会作报告。他指出,十年来,我们经历了对党和人民事业具有重大现实意义和深远历史意义的三件大事。这三件大事是( )。
①迎来中国共产党成立一百周年
②中国特色社会主义进入新时代
③统筹疫情防控和经济社会发展取得重大积极成果
④完成脱贫攻坚、全面建成小康社会的历史任务,实现第一个百年奋斗目标
⑤坚决反对外部势力干涉,牢牢把握两岸关系主导权和主动权
⑥实施供给侧结构性改革,我国经济实力实现历史性跃升
习近平总书记在党的二十大报告中指出,我们要实现好、维护好、发展好最广大人民根本利益,紧紧抓住人民最关心最直接最现实的利益问题,坚持尽力而为、量力而行,深入群众、深入基层,采取更多惠民生、暖民心举措,着力解决好人民群众急难愁盼问题,健全基本公共服务体系,提高公共服务水平,增强( ),扎实推进共同富裕。
党的二十大报告指出,人心是最大的政治,统一战线是凝聚人心、汇聚力量的强大法宝。以( )为主线,坚定不移走中国特色解决民族问题的正确道路,坚持和完善民族区域自治制度,加强和改进党的民族工作,全面推进民族团结进步事业。
党的二十大报告指出,坚持制度治党、依规治党,以党章为根本,以( )为核心,完善党内法规制度体系,增强党内法规权威性和执行力,形成坚持真理、修正错误,发现问题、纠正偏差的机制。
2022年是中国共产党第二十次全国代表大会召开之年,同时也是( )召开一百周年。
新修改的《中国共产党章程》指出,习近平新时代中国特色社会主义思想是对马克思列宁主义、毛泽东思想、邓小平理论、“三个代表”重要思想、科学发展观的继承和发展,是当代中国马克思主义、二十一世纪马克思主义,是( )的时代精华,是党和人民实践经验和集体智慧的结晶,是中国特色社会主义理论体系的重要组成部分,是全党全国人民为实现中华民族伟大复兴而奋斗的行动指南,必须长期坚持并不断发展。
党的二十大报告提出,当前,世界之变、时代之变、历史之变正以前所未有的方式展开,人类社会面临前所未有的挑战。中国始终倡导构建人类命运共同体。其中,中国的外交政策宗旨是( )。
“如果不把党的历史搞清楚,不把党在历史上所走的路搞清楚,便不能把事情办得更好。”中国共产党人认识把握党史的根本方法是( )。
十月革命取得成功,建立了世界上第一个社会主义国家,科学社会主义由此从理论走向实践。第二次世界大战结束后,一批社会主义国家诞生,特别是我们党领导人民建立了新中国并建立了社会主义制度,科学社会主义由此( )。
人民代表大会制度的重要原则和制度设计的基本要求,就是任何国家机关及其工作人员的权力都要受到监督和制约。在我国的国家监督体系中( )。
①各级人大要对执法司法工作进行监督
②“一府一委两院”要接受人大的监督
③地方人大接受全国人大的领导与监督
④各级国家政权机关都要接受人民监督
受新冠肺炎疫情、气候变化、地区冲突等多种因素影响,世界粮食安全面临严峻挑战。从2013年发起“光盘行动”到2021年颁布实施《反食品浪费法》,再到呼吁世界各国加快行动、切实减少世界粮食损耗,中国倡议和举措为进一步保障世界粮食安全提供了理念和经验借鉴。由此可见:
为了实现长远目标,中国共产党采取渐进策略,提出一个时期内的目标任务和实现路径,一步一步推进,积小胜为大胜。过去一百年,党向人民、向历史交出了一份优异的答卷。现在,党团结带领中国人民又踏上了实现第二个百年奋斗目标新的赶考之路。从马克思主义哲学角度看,这体现了:
社会救助是我国社会保障制度的一项重要内容,是扶危济困、救急救难的兜底性制度安排。全社会要形成救助合力,切实做到弱有所扶、难有所帮、困有所助、应助尽助,把困难群众的民生底线兜住兜牢。以下属于社会救助措施的是:
2022年是落实《国企改革三年行动方案(2020-2022年)》收官之年,国企混改是推进国企改革的重要举措和重要突破口,上海通过深化混合所有制改革、健全激励约束机制,任务完成率达到84.6%。关于国企混改及其作用的传导正确的是( )。
2022年政府工作报告攸关市场主体发展的“加减法”措施很实。减的是企业税费负担,增的是( )。减增之间,彰显了政府助企纾困、稳就业保民生的坚定决心和积极作为。
2022年7月1日,习近平总书记在出席庆祝香港回归祖国25周年大会暨香港特别行政区第六届政府就职典礼时强调,( ),这是保证香港长治久安的必然要求,任何时候都不能动摇。
上海在部分街道试点参与式社区规划,通过调动居民的积极性、主动性和创造性,从身边的小处着手,改善社区环境,让人民群众成为城市发展的积极参与者和最大受益者。这一举措能够:
某微博视频号发布了“外卖平台销量第一的炸鸡店有多脏?”的视频,反映H快餐店北京某加盟店发生的食品安全问题。获悉有关舆情后,上海市市场监管局迅速组织力量对H快餐店上海门店进行了专项突击检查,并约谈了H快餐店上海总部。此次约谈,是拥有行政职权的机关,通过约谈沟通、学习政策法规、分析讲评等方式,对相关组织运行中存在的问题予以纠正并规范的:
我国东西部协作和对口支援按照“按需选派”原则,支援地与受援地双方相互选派科级、处级干部赴当地交流学习,为巩固脱贫攻坚成效和推进乡村振兴提供强有力的人才保障和智力支撑。这属于我国公务员交流中的( )形式。
甲系某地不动产登记中心工作人员,利用收取买房托管资金等职务便利,采取收取托管资金不入账等方式,非法获取人民币6000多万元,并用于个人奢侈消费,至案发时已挥霍殆尽。甲的行为构成:
最高人民法院印发《关于深入推进社会主义核心价值观融入裁判文书释法说理的指导意见》,强调在涉及国家利益、重大公共利益,社会广泛关注的案件中,要强化运用社会主义核心价值观释法说理。关于该意见的意义,下列说法错误的是( )。
在扬州考古发掘中,唐代地层的陶瓷残片数量猛增,令人瞩目,可扬州本地并无瓷窑。最常见的长沙窑来自湖南,而长沙窑执壶上恰有“借问舡轻重,满载到扬州”“借问岳家舫,附歌到扬州”的诗句。河北邢台、河南巩县等地烧造的白瓷、唐青花、白釉绿彩在扬州也非常普遍。关于唐代扬州多陶瓷的原因,下列最可能的是( )。
在我国古代的物候历,以五日为一候,三候为一气,六气一季,四季一年;故一年分二十四气,每季十八候,共七十二候。每候相对应一个物候现象,叫“候应”,表示一年中物候和气候变化的一般情况。《礼记·月令》在描述孟春(一月)的物候时说“东风解冻,蛰虫始振,鱼上冰,獭祭鱼,鸿雁来。”以春夏秋冬为序,下列候应按时间先后排序正确的是( )。
龙吸水多发生在海面或湖面上空,具有很大的吸吮作用,可将水吸离水面,形成水柱,甚至与云侧相接。对于这一自然现象,下列说法错误的是( )。
近年来,上海以科技创新为引领,大力发展三大先导产业和六大高端产业集群,致力于构建“3+6”的新型产业体系。其中,三大先导产业是指( )。
人民民主是社会主义的生命,是全面建设社会主义现代化国家的应有之义。习近平总书记在党的二十大报告中把发展全过程人民民主确定为中国式现代化本质要求的一项重要内容,强调全过程人民民主是社会主义民主政治的本质属性,对“发展全过程人民民主,保障人民当家作主”作出全面部署、提出明确要求。这对于新时代新征程更好发挥我国社会主义政治制度优势、全面建设社会主义现代化国家、全面推进中华民族伟大复兴具有十分重要的意义。
党的十八大以来,以习近平同志为核心的党中央立足新的历史方位,深刻把握我国社会主要矛盾发生的新变化,积极回应人民对民主法治、公平正义的新要求新期待,坚持党的领导、人民当家作主、依法治国有机统一,深化对民主政治发展规律的认识,提出全过程人民民主重大理念,全面发展全过程人民民主,健全人民当家作主制度体系,发挥社会主义协商民主重要作用,丰富民主形式,畅通民主渠道,从各层次各领域扩大人民有序政治参与,推动全过程人民民主取得历史性成就,成为新时代我国民主政治领域具有重大创新意义的标志性成果。
2019年,习近平在上海市长宁区虹桥街道市民议事厅考察工作时强调指出:“我们走的是一条中国特色社会主义政治发展道路,人民民主是一种全过程的民主,所有的重大立法决策都是依照程序、经过民主酝酿,通过科学决策、民主决策产生的。”全过程人民民主包括 等过程。
改革开放以来,中国不断探索、积极推进政治建设,成功开辟并坚持了中国特色社会主义民主政治发展道路,为实现最广泛的人民民主确立了正确方向。该道路最根本的是“三者有机统一”,即坚持中国特色社会主义政治发展道路,关键就是要坚持 有机统一。
我国全过程人民民主实现了过程民主和成果民主、程序民主和实质民主、直接民主和间接民主、人民民主和国家意志相统一,是全链条、全方位、全覆盖的民主,是最广泛、最真实、最管用的社会主义民主。下列能够体现全过程人民民主这一特征的有 。
习近平总书记创造性地提出的全过程人民民主重大理念,是一个总括性、纲领性、规范性命题。下列理解不正确的是 。
习近平总书记强调:“民主不是装饰品,不是用来做摆设的,而是要用来解决人民要解决的问题的。”我国社会主义民主的本质是人民当家作主,在制度设计和民主实践中,人民当家作主具体体现在很多方面。下列能够体现人民当家作主的是 。
为了加强长江流域生态环境保护、保障生态安全,2020年底我国通过了第一部流域法律,即《中华人民共和国长江保护法》(自2021年3月1日起施行),将法治清流注入长江母亲河。
2021年6月19日,R市F区水利局收到举报线索,汉江河道F区龚洲渡口下游有工程船正在进行非法采砂作业,遂立即前往涉案水域进行查看。经调查,R市某石业公司M号采砂船在当日采期即将结束途中,在龚洲渡口下游500米处水域持续进行2小时左右的采砂作业,采砂量共计300吨,涉案价值达1.2万元。
R市F区水利局根据事发当日执法人员现场拍摄的照片、现场勘验记录及现场作业人员的询问笔录认定,R市某石业公司M号采砂船作业区域为禁采区,开采行为属于非法采砂,遂作出没收采砂船舶、没收违法所得1.2万元、罚款25万元的行政处罚。该石业公司认为行政处罚过重,向F区人民法院提起行政诉讼,要求撤销行政处罚。
R市F区人民法院审理后认为,M号采砂船在F区河道采砂规划禁采区域作业的行为,违反《长江保护法》第二十八条“禁止在长江流域禁止采砂区和禁止采砂期从事采砂活动”之规定,F区水利局作为涉案水域的河道主管机关,具有查处非法采砂等违法行为的法定职责,在作出行政处罚决定之前,已进行调查取证、举行听证会、并召开了重大案件集体讨论会,作出的行政处罚事实认定清楚、程序正当合法、法律适用正确,遂判决驳回该石业公司全部诉讼请求,维持F区水利局的行政处罚决定。
在该案诉讼证据中,某石业公司M号采砂船非法采砂300吨,这属于( )。
区水利局作出没收采砂船舶、没收违法所得1.2万元、罚款25万元的行政处罚,均属于( )。
下列关于行政处罚听证的说法中正确的有( )。
F区水利局作出行政处罚后,R市某石业公司的下列做法中正确的有( )。
区人民法院在该案审理过程中( )《长江保护法》。
在长三角(上海)智慧互联网医院,居家“数字”照护、“无墙医院”等新场景正渐次落地······围绕城市数字化转型工作,以提供更具温度的高品质生活为原则,青浦区在健康领域打造“长三角数字干线样板间”,为推进健康上海行动注入新内涵,同时也为长三角医疗数字化转型探索新路。
家住青浦区莲湖村76岁的李大伯由于偏瘫长期卧床,家人为他申请了家庭病床,莲湖村卫生站的家庭医生通过远程监测设备发现李大伯有心脏早搏异样情况,赶紧利用移动终端“健康云”远程协同平台向上级——朱家角人民医院发起远程门诊申请,经心内科医生看诊后开具了处方,病人足不出户,在床旁就享受到了优质医疗资源下沉服务。
朱家角人民医院不仅仅是一家实体医院,也是长三角(上海)智慧互联网医院的所在地。在这里,数字转型赋能便捷就医的青浦“样板”,正不断释放红利:“拆掉”医院物理概念上的围墙,为更多当地百姓看病带来便利。青浦区卫生健康委主任介绍,长三角(上海)智慧互联网医院自2020年10月正式投入运营,这一健康“数字枢纽”借助长三角医疗健康数字共享与交换平台,联合市级优质医疗资源,已逐渐实现与6家三甲医院的“对接”,并向下辐射到青浦区内3家医疗机构、12家社区卫生服务中心,以及12个村卫生室(站)。
2021年年初,上海市“便捷就医服务”数字化转型工作吹响号角,按照工作方案提出的“便捷就医”应用场景、探索2-3个数字健康城区的规划,青浦作为本市高质量发展的数字健康城区先行区,充分运用先进技术手段、现代健康理念,筑牢数字健康城区健康“网底”。让人印象深刻的是,青浦“数字干线”的服务半径越来越大:当前,长三角(上海)智慧互联网医院已向浙江嘉善二院、江苏吴江五院、安徽霍邱一院等长三角区域辐射。家住苏州吴江的王阿姨最近发现视力模糊,选择在吴江五院就诊,由于病情较为复杂,吴江五院的医生通过长三角(上海)智慧互联网医院预约了复旦大学附属眼耳鼻喉科医院的眼科专家进行会诊。会诊时,上海专家直接调阅了患者在吴江的检查报告及医学影像,患者不用来上海就完成了就诊。确定诊疗方案后,王阿姨需要持续用药一段时间,同样在长三角(上海)智慧互联网医院在线复诊后,实现了“在线便捷配药、药品快递到家”。通过跨域的互联互通互认及新型医疗服务模式,王阿姨不出吴江,就享受到了上海的优质医疗资源。上海市卫健委提供的信息显示,在对长三角地区患者的就医需求、就诊路径、疾病谱情况进行精准分析,并以此为基础建成长三角一体化示范区试点医院间检验检查结果的互认平台后,上海已与吴江、嘉善共同研究了三地(青浦、吴江、嘉善)医疗健康信息互认的业务规范,将进一步加速推进示范区试点医院间检验检查报告的互联互通互认工作,为居民在家门口带来更多就医体验度、获得感。
长三角医疗数字化转型的探索致力于解决 的现实痛点。
材料中“病人足不出户,在床旁就享受到了优质医疗资源下沉服务”的个案包含了“便捷就医”的( )应用场景。
长三角医疗数字化转型的前提条件为 。
材料中,“长三角(上海)智慧互联网医院······已逐渐实现与6家三甲医院的‘对接’,并向下辐射到青浦区内3家医疗机构、12家社区卫生服务中心,以及12个村卫生室(站)”旨在说明 。
从材料中可以推断,长三角一体化示范区数字医疗发展的方向为( )。
