党的十九届四中全会通过了《坚持和完善中国特色社会主义制度、推进国家治理体系和治理能力现代化若干重大问题的决定》。关于该《决定》的内容,下列说法正确的是
①闸述了我国国家制度和国家治理体系发展的历史性成就和显著优势
②提出了推进国家治理体系和治理能力现代化的重大意义和总体要求
③回答了什么是社会主义和怎样建设社会主义这个重大政治问题
④明确了各项制度必须坚持和巩固的根本点、完善和发展的方向
习近平总书记强调,在群众工作中要坚持有事多商量,遇事多商量,做事多商量,商量得越多越深入越好。对此,下列理解正确的是
①做群众工作要问计于民、问政于民、问需于民
②涉及群众利益的政策要充分发扬民主,坚持集体决策
③政策执行要向群众做好宜传说服工作,认真听取群众意见
④衡量党和政府工作好坏的标准是看有没有与群众商量
我国当前正处在转变发展方式、优化经济结构、转换增长动力的攻关期,建设现代化经济体系是跨越关口的迫切要求。下列关于现代化经济体系的说法正确的是
2019年10月31日,国务院决定开展第七次全国人口普查。关于第七次全国人口普查,下列说法不正确的是
我国要优化行政区划设置,提高中心城市和城市群综合承载和资源优化配置能力,实行扁平化管理,形成高效率组织体系。下列属于实行扁平化管理的改革措施是
中国共产党始终坚持以人民为中心,把人民立场和群众路线贯彻到治国理政的全部活动之中。人民立场和群众路线体现的马克思主义基本原理是
①人民群众是社会历史的活动主体
②从认识到实践、从实践到认识
③个别与一般内在统一并紧密相连
④从物质到精神、从精神到物质
1949年3月,中共中央和毛泽东离开西柏坡前往北平进驻香山。在香山的半年时间里,发生的一系列重大历史事件在党和国家历史上具有非常重要的地位。下列发生在这一时期的重大历史事件是
①毛泽东、朱德发布向全国进军的命令,吹响了解放全中国的伟大号角
②召开了党的七届二中全会,规定了党在全国胜利后应当采取的基本政策
③毛泽东发表了《论人民民主专政》,为新中国建立奠定了理论和政策基础
④制定了《中国人民政治协商会议共同纲领》,描绘了建立建设新中国的蓝图
人们常常引用希腊典故来分析当今世界的现实问题。下列希腊典故与其寓意对应正确的是
我国在区块链领域拥有良好基础,要加快推动区块链技术和产业创新发展,积极推进区块链和经济社会融合发展。关于区块链的特征和作用,下列说法不正确的是
“春江潮水连海平,海上明月共潮生。”关于海水涨落,下列说法不正确的是
对下列古语所蕴含法律思想的理解,不正确的是
某区教育局将学区调整的情况张贴在各学校门口。刘某的住房被划入新的学区,但他没有及时了解情况,将房屋低价卖给了王某。对此,下列说法正确的是
制度建设不在于制度的多少,而在于精,在于务实管用,突出针对性和指导性,“牛栏关猫”是不行的。下列管理举措属于“牛栏关猫”的是
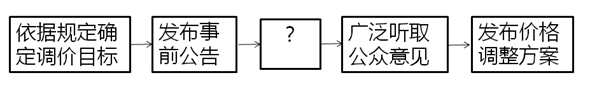
为应对运营成本上涨压力,某地政府决定对现行地铁票价进行调整,下图为地铁票价调整的部分工作流程:

填入上述流程图中“?”处的正确选项是
按照城市品质提升的总体要求,住建部于2019年7月在9个城市开展规范城市户外广告设施管理工作。就政策执行来说,下列举措与此属于同一类的是
国家治理效能是反映制度优势的重要指标。中国特色社会主义的制度优势需要转换为国家治理效能,需要通过治理效能来实现和彰显。要善于运用制度和法律治理国家,把各方面制度优势转换为管理国家的效能。推进国家治理体系和治理能力现代化,是发挥社会主义制度优越性的必由之路。
这段文字重在强调
书院是中国历史上一种独具特色的文化教育形式,在书院发展的一千多年历史进程中,它不仅是中国文化的象征,更是中国文化向域外传播的窗口。书院之名起于唐代,由最早的修书、藏书的机构,逐步演变为具有教学、研究功能的场所。书院制度在宋代不断发展、壮大、成熟,清代是书院发展的鼎盛时期,无论是穷乡僻壤,还是边陲小镇都可见到书院。不仅如此,书院还随儒学走出国门,在朝鲜半岛生根、萌芽、兴盛起来,对中国文化传播起着不可替代的作用。
这段文字主要说明
统一的数据采集和分类管理标准有利于政务数据的整合共享,方便各地区、各部门数据库之间的接口连接与数据交换。应加快制定政务数据采集、处理、提供、修改等各类标准规范,对原有信息资源进行标准化处理,规范数据共享的类型、方式、内容、对象和条件,破除数据共享的技术障碍。
这段文字中提取的关键词最恰当的是
语言和文化一样,很少是自给自足的,故词语的借用自古至今都是常见的语言现象。但当外来词汇进入一个国家后,当地民族会在适应吸收新成分的同时,不自觉地变异和改造其原貌。随着时间的推移,外来词会逐渐本土化,日久天长,源流模糊,体用隔断,变异迭生。一旦借词身上的“异域特征”(诸如音素、音节的构成等)在使用者的意识里淡化或消失,它们就会被当地人视为自己母语中的一部分。
这段文字重在说明
以种植业和养殖业为主的农业生产,是深度贫困地区产业扶贫的重要项目和农民主要收入来源。农业生产是“露天工厂”,具有“靠天吃饭”的局限性。深度贫困地区大都自然条件恶劣,发生灾害的频率高、范围广,加之病虫害等方面的影响,给农业生产带来极大挑战。因此,深度贫困地区发展种植业和养殖业,更需要借助农业保险这一市场经济条件下风险管理的基本手段。
以下概括不符合文意的是
空气污染物对大脑造成严重影响的罪魁祸首是细颗粒物,即直径小于2.5微米的空气污染物。一旦被吸入体内,它们就能抵达肺部深处,进入血流,并随之进入大脑。细颗粒物直径极小,足够穿越为阻隔大型毒物分子而存在的血脑屏障。若细颗粒物由鼻子吸入,还可以通过鼻腔中的嗅觉神经进入大脑。这些颗粒物可能会激发炎症反应,导致严重的脑部疾病,影响认知能力。
这段文字意在说明
文本是书法的灵魂所系。书法的书卷气,以及艺术风格等,皆与文本背后的人文精神息息相关。文本缺位的书法,是不完整的书法。对于书法的价值判断,尽管在传统文化和现代文化中有一定程度的调整,但其文化根本并没有动摇。书法艺术一直承担着“载道”的功能。以《兰亭集序》《祭侄文稿》等为代表的书法经典,均是笔墨与文辞交相辉映的产物,其中蕴含着家国情怀、民族风骨、人文精神,体现着书家的文化修养与艺术素养,至今熠熠生辉。
以下概括不符合文意的是
①为生态环境利益设置核心的法律原则,构建生态环境保护的核心制度体系
②在生态环境保护的法律规范中,生态环境保护是其核心的价值诉求
③生态文明的理论要求法律对具有公共性的、体现未来时代人的利益和自然生态本身价值的生态环境利益进行系统性、整体性的保护
④这决定了仅仅依托传统的法律部门不能对生态环境提供有效的保护
⑤这些法律规范对生态环境提供直接的保护
⑥生态文明需要一个以生态环境价值为核心价值,以生态环境公共利益保护为核心诉求的法律体系
将以上6个句子重新排列,语序正确的是
支持外资评级机构进入中国银行间债券市场和交易所债券市场开展所有种类债券评级业务,是中国金融市场扩大开放的重大举措。信用评级作为金融市场的重要基础性制度安排,随着中国金融市场国际化进程不断加快,引入国际信用评级机构在中国开展评级业务,有利于满足国际投资者的多样化需求,也有利于促进中国评级行业评级质量改善,有助于中国金融市场的规范健康发展。
这段文字着重说明的是
海底矿产资源中最受关注的是海底石油。有人推测,
的大陆架蕴藏着石油。海底石油储量约2500亿吨,相当于世界石油预估储量的三分之一以上,仅在大陆架的石油储量就有1400亿吨。第一口浅海油井出现在1891年,更多的勘探开发始于20世纪20年代,60年代进入飞跃发展时期。现在,全世界有100多个国家在勘探海底石油,30多个国家已开采出这种“工业的血液”。20世纪50年代海底石油产量仅占全世界石油总产量的
,70年代增加到
,80年代已达
,21世纪初已远远超过
。
以下概括不符合文意的是
古典音乐里有很多“炫技”的曲目,在历史发展中,有推动“炫技”的多重力量存在。有时候,是作曲家想要试验声音的极限,出于旋律或和声的考虑,写了当时的演奏者一般演奏不出来的乐段。有时候,是作曲家不够了解某个独奏乐器,无法贴切地从演奏的角度理性思考,于是写了很难演奏甚至无法演奏的曲子。还有些时候,是演奏者主动追求突破,要求演奏过去没法表现的音乐,并借此凸显自己和其他演奏者不同的地方。
关于音乐“炫技”的推动力量,下列说法不符合文意的是:
一个国家的发展应该致力于将经济发展的蛋糕做大,在此基础上,注重公平的分配。对区域经济发展来说,应牢牢建立比较优势的概念。不同的地方在自然地理条件上有巨大的差异。即便是两个自然条件完全相同,地理上相邻的省份或城市,最佳的发展模式也不是大家发展同样的生产结构,而是应该各自有分工。
作者通过这段文字重在强调:
群体免疫力是一种保护整个社区免受疾病侵害的手段:通过免疫社区里足够多的人,有效地打断疾病从一个人传染到另一个人的接力,中断感染链,从而保护少数不能接种疫苗的人群。但是,这个模式要真正起作用,社区中接种疫苗的人必须足够多。接种疫苗的人数必须高于一个最小的百分值(学术界称之为“阈值”),群体免疫才会生效。接种的社区成员越多, 。
填入画横线处最恰当的是:
个案研究的经验告诉我们,法学理论其实只是从特定维度对纷繁的生活实践的一种抽象描述,它不可能追随、更没法规训真实生活的复杂和生动。因此,看起来再好的理论,也不应试图以其抽象的命题来规训真实生活的生动、饱满和复杂。理论法学学者必须始终意识到自己习惯的那种话语在真实生活世界中的局限,并能不断以对经验的考察来理解生动的法律世界。
作者通过这段文字重在强调:
在电影表现的技术层面,数字技术事实上已代替了同源成像技术,出现了由电脑生产影像所构造的故事片。电脑生产的影像已经不再局限于单纯的特技效果,它们构成了影片全部蒙太奇中的镜头,主要角色都是完全或部分由电脑合成。在电影的发行和放映环节,具有质感的胶片卷,放映机吵闹的声音,抑或是影像剪辑表,还有流动于影院之间装胶片的金属盒,正在一个个地消失于我们的视线,成为历史。
下列对文意的概括最恰当的是:
法治是社会治理的基本规则,尤其是在全面依法治国新时代,任何人不管在线上还是线下,都应遵守法律秩序。任何人都必须在法律和道德的 内对网络话语权“轻拿轻放”,用谨言慎行守护 的网络空间和人间正道。
依次填入画横线处最恰当的一项是:
稻作农业社会的建立和古代文明的出现同时发生在良渚文化时期,这传达了一个重要信息:农业起源与文明起源应该是一个相互衔接的、 的人类社会发展过程。稻作农业社会的建立为古代文明的形成 了基础,古代文明的形成反过来又促进了稻作农业生产的发展。
依次填入画横线处最恰当的一项是:
三年前,某咨询公司在一份报告中预测,到2030年,全自动驾驶出租车将占据全球三分之一以上的汽车出行市场。这在当时看来似乎有些 。而现在,正如这份报告所说,尽管向自动出行的转型无法 ,但整个汽车行业在包括法律法规、基础设施、投资与消费者兴趣在内的几乎所有方面都取得了实质性进展。
依次填入画横线处最恰当的一项是:
多年宣传之后,垃圾分类真的要走入每个中国家庭的生活了。在这场与垃圾 的拉锯战中,中国是否能借助垃圾分类扭转局势,并通过利用自身的回收行业优势提升人们的环保意识,真正解决垃圾问题,避免重蹈发达国家的覆辙,我们 。
依次填入画横线处最恰当的一项是:
解决气候变化不是一个零和博弈,而是需要多种方案 。我们的确需要保护和更有效地管理森林,但对森林碳汇能力也不能 ,需要更加严谨的考证计算。归根到底,科学有效地制定并执行减排政策,才是解决气候变化问题的真正灵药。
依次填入画横线处最恰当的一项是:
旅行实际上可以让“读万卷书”和“行万里路”同时实现。行万里路会 我们读更多的书,所以旅行是生命中 的内容,也是人生不断自我释放、自我重构的 。
依次填入画横线处最恰当的一项是:
回顾我国科技事业的发展,正是一代代航天人 、顽强拼搏, 了一系列关键核心技术,才有了中国航天大国的地位;正是因为 了深海装备的关键核心技术,才能使“蛟龙”“潜龙”“海龙”邀游深海,独立自主地进行科学考察,使中国在世界深海科学事业上拥有了发言权。
依次填入画横线处最恰当的一项是:
一个人走在森林里,膨胀的暖流扑面而来,仿佛热气从暖炉中 而出。随着森林的浓密稀疏,温热的空气或膨胀、或减弱。湿润的凉意令人感到河道的存在,它们虽早已 ,但泥土中仍 着湿气。
依次填入画横线处最恰当的一项是:
执法检查是人大行使宪法法律赋予的监督权,也是保证法律得到全面有效实施的一把“利剑”。既然是“利剑”,就必须锋利,而不是 、无关痛痒。有力度、有硬度的执法检查,才能 法律的权威。为什么有的执法检查所呈现的结果却与老百姓的切身感受 ?其中原因恐怕还在于执法检查没到位。
依次填入画横线处最恰当的一项是:
中国彩陶很注意图案纹样与器型的关系, 而统一谐调,也注意彩陶图案在不同 所产生的不同效果,这种以彩绘纹样与造型 完美结合的艺术手法,同时也成为传统雕塑和工艺美术极有特色的表现手法。
依次填入画横线处最恰当的一项是:
我们多数人对“膳食纤维”的感性印象,恐怕就是那些粗糙的、嚼不烂的“植物纤维”,所以很容易就会想到芹菜和韭菜这类含“筋”丰富的蔬菜,其实,这两种蔬菜膳食纤维含量和许多食物比起来丝毫不出众。它们“渣渣”的口感,主要是植物木质部和韧皮部形成的宏观维管束结构,不完全等同于“膳食纤维”。
食物膳食纤维的含量,并不与“粗糙”程度成正比,反而许多“软细滑润”的食物同样含有大量的膳食纤维。笼统说,膳食纤维是不能被我们消化酶消化的植物细胞壁残余物,包括纤维素、半纤维素、抗性淀粉、菊粉和各类多糖如葡甘露聚糖和果胶等等。膳食纤维分为“不溶性膳食纤维”和“可溶性膳食纤维”两大类,它们在身体里发挥着不同生理作用。
“不溶性膳食纤维”不溶于水,但它们能像钢筋骨架一样撑起食物,从而增加了“饱腹感”并能刺激肠道蠕动,减少排泄物在肠道里的停留时间,就是俗称的“润肠通便";它们通常不能被肠道微生物消化利用,但可以吸附肠道里的有害物质。
“可溶性膳食纤维”能溶于水,吸水后多呈凝胶状,让食物变得粘稠软滑,使食团体积膨胀,延长胃的排空时间,减缓糖分的吸收:它们能被结肠中的微生物降解生成短链脂肪酸等有益的物质,也能阻止肠粘膜粘连和潜在致病菌迁移,减轻肠道炎症。
大多数植物性食物,都同时含有这两类膳食纤维。食物口感粗糙的部分,主要包含不溶性膳食纤维,而可溶性纤维完全没有粗粝的口感,膳食纤维含量 ,所以一种食物粗纤维较多,并不代表它的膳食纤维的总量就高。那么,哪些食物的膳食纤维含量比较高呢?膳食纤维在谷物、豆类、菌藻和果蔬中广泛存在,而动物性食物则几乎不含膳食纤维。实际上,豆类和谷物才是膳食纤维的含量冠军,它们可溶性和不可溶性膳食纤维的含量都很高,是普通果蔬的几倍甚至十多倍。需要强调的是,这里的“谷物”特指“全谷物”:即脱壳后没有经过精制的粮食种子,譬如小麦粒、大麦粒、糙米、燕麦、荞麦、玉米、薏米、小米等,不包括精白米和精白面,事实上,精米、精面做成的食物,膳食纤维含量很低。
我国居民膳食指南建议,成人每日膳食纤维的摄入量约为25~30克(正比于摄入热量),我们日常的烹饪方式 比如粗研磨、切碎、加热,对膳食纤维的含量和状态影响不大。但如果你不吃谷物或豆类,仅仅靠吃蔬果坚果和肉类,膳食纤维能达到每日推荐量的可能性几乎没有。
那些长期选择“低碳水加只吃肉类和果蔬”的饮食方式,从膳食纤维摄入角度看并不健康,这类人的肠道菌群会发生改变,体内产生的三甲胺和氧化三甲胺显著高于普通人,这类物质也是心血管疾病的风险因子。
但值得注意的是,既然有推荐量,也就是说膳食纤维摄入并非越多越好,有相关动物性实验显示某类型的膳食纤维摄入过量,会影响肠道菌群,从而对身体产生非常负面的影响。所以尽量从均衡膳食中摄入膳食纤维,不推荐额外的可溶性膳食纤维补充剂。
正常人群还是应该遵照居民膳食指南来吃,自己“设计”的饮食方式绝不会优于指南的。
作者在文章开头以芹菜韭菜为例主要想说明:
下列对膳食纤维的描述不符合文意的是:
填入文中画横线处最恰当的是:
下列说法与文意不符的是:
作者通过这篇文章主要说明:
7.003,13.009,19.027,25.081,31.243,( )
2,
,
,10,
,( )



3,7,16,36,80,( )
23:30,23:45,0:20,1:20,2:50,( )
,
,
,
,
,( )




台风过后,某单位发起救灾捐款活动,甲、乙两部门的员工人数之比是
,捐款总额之比是
。若甲部门的人均捐款是
元,则乙部门的人均捐款是
某网店零售月季花,每束成本39元、售价99元,月销量800束。现推出团购活动,购买10束及以上,每束售价59元,预计零售销量减半,团购销量激增。若使原销售利润不减,则月团购销量至少应是
某装配式建筑企业接到一个生产1033套楼板的订单。甲班组生产5天后,乙班组再生产4天,刚好完成任务。若甲班组比乙班组每天多生产23套,则甲班组生产楼板的套数是
使用浓度为
的硫酸溶液
克和浓度为
的硫酸溶液若干克,配制浓度为
的硫酸溶液
克,需要加水的质量是
长方形花坛的周长为20米,若长与宽各增加3米,则增加的面积是
小张下班回家乘地铁18:45之前到家的概率为0.8,乘公交为0.7。已知小张下班回家要么乘地铁,要么乘公交,且选择乘地铁的概率为0.6,则他下班回家18:45之前到家的概率是
某企业预计今年营业收入增长
,营业支出增长
,营业利润增加600万元。已知该企业去年的营业利润为1000万元,则其今年的预计营业支出是
甲、乙两人分别从A、B两地同时出发相向而行。当两人合计走完两地间路程的
时,甲距A地的路程是500米;当两人合计走完两地间路程的
时,乙距B地的路程是2400米。若两人的速度始终不变,则当速度较快者走完全程时,速度较慢者距走完全程还剩的路程是
某便民超市将薏米、红豆和小黄米按2:3:5混合后出售,每千克成本13.3元。若薏米每千克成本23.6元,红豆每千克成本9.8元,则小黄米每千克的成本是
某区财政局年度考核,办公室与国库科平均得分90分,预算科与政府采购科平均得分84分,办公室与政府采购科平均得分86分,政府采购科比预算科多10分,国库科的得分比综合科多5分,那么办公室、预算科、国库科、政府采购科、综合科的平均得分是
某食品厂速冻饺子的包装有大盒和小盒两种规格,现生产了11000只饺子,恰好装满100个大盒和200个小盒。若3个大盒与5个小盒装的饺子数量相等,则每个小盒与每个大盒装入的饺子数量分别是
在统计某高校运动会参赛人数时,第一次汇总的结果是1742人,复核的结果是1796人,检查发现是第一次计算有误,将某学院参赛人数的个位数字与十位数字颠倒了。已知该学院参赛人数的个位数字与十位数字之和是10,则该学院的参赛人数可能是
某商品的进货单价为80元,销售单价为100元,每天可售出120件。已知销售单价每降低1元,每天可多售出20件。若要实现该商品的销售利润最大化,则销售单价应降低的金额是
某企业按三个等级给员工发放奖金,一、二、三等奖的获奖人数之比为1:3:10,奖金总额之比为2:3:1。已知获奖员工总数126人,发放奖金总额16.2万元,则三等奖的奖金是
某单位要抽调若干人员下乡扶贫,小王、小李、小张都报了名,但因工作需要,若选小李或小张,就不能选小王。已知三人入选的概率都是0.2,但小李、小张同时入选的概率是0.1,则三人中有人入选的概率是
唇亡:齿寒
湄公河:跨境河
柳:柳眉:柳腰
笔:文具:写字
暴雨:洪灾:排涝
摸清致贫原因:提出扶贫措施
粮库 之于( )相当于( )之于 思想
( )之于 实事求是 相当于 南辕北辙 之于( )
请从四个选项中选出恰当的一项,其特征或规律与题干给出的一串符号的特征或规律最为相符。





请从四个选项中选出恰当的一项,其特征或规律与题干给出的一串符号的特征或规律最为相符。
由甲申曱甲申甴甲由曱
请从所给的四个选项中,选出最恰当的一项填入问号处,使之呈现一定的规律性。

请从所给的四个选项中,选出最恰当的一项填入问号处,使之呈现一定的规律性。

请从所给的四个选项中,选出最恰当的一项填入问号处,使之呈现一定的规律性。

下面四个图形中,只有一个是由上面的四个图形拼合(只能通过上、下、左、右平移)而成的,请把它找出来。

下面四个图形中,只有一个是由上面的四个图形拼合(只能通过上、下、左、右平移)而成的,请把它找出来。

下面四个图形中,只有一个是由上面的四个图形拼合(只能通过上、下、左、右平移)而成的,请把它找出来。

下面四个图形中,只有一个是由上边的四个图形拼合(只能通过上、下、左、右平移)而成的,请把它找出来。

下面四个图形中,只有一个是由上边的四个图形拼合(只能通过上、下、左、右平移)而成的,请把它找出来。

下面给定的是纸盒外表面的展开图,右边哪一项能由它折叠而成?请把它找出来。

下面给定的是纸盒外表面的展开图,右边哪一项能由它折叠而成?请把它找出来。

下面给定的是纸盒外表面的展开图,右边哪一项能由它折叠而成?请把它找出来。

下面给定的是纸盒外表面的展开图,右边哪一项能由它折叠而成?请把它找出来。

请从所给的四个选项中,选出最恰当的一项填入问号处,使之呈现一定的规律性。

请从所给的四个选项中,选出最恰当的一项填入问号处,使之呈现一定的规律性。

下图为给定的立体,从任意角度剖开,右边哪一项不可能是它的截面图?

党内存在的很多问题都同政治问题相关联。不从政治上认识问题、解决问题,就会陷入头痛医头、脚痛医脚的被动局面,就无法从根本上解决问题。提高政治能力,很重要的一条就是要善于从政治上分析问题、解决问题。只有从政治上分析问题才能看清本质,只有从政治上解决问题才能抓住根本。
根据以上陈述,可以得出以下哪项?
人类学家测量了历史上各个时期的人类头骨之后发现,当代成人的脑容量平均为1349毫升,相比中石器时代人类的脑容量,男性减少了
,女性减少了
。研究者认为,在分工日益明确的时代,富有合作精神的人比其他人有更多的生存和繁衍机会,“最友好者生存”是导致人类大脑不断缩小的重要原因。
以下哪项如果为真,最能支持上述结论?
每个“熊孩子”的背后都有一个“熊家长”。这些“熊家长”对“熊孩子”百依百顺,溺爱娇惯,这使得“熊孩子”以自我为中心,缺乏规则意识,容易产生过激的非理性行为。当“熊孩子”有些行为对他人和社会造成伤害时,“熊家长”也会以“他还是个孩子”来护短辩解,要求原谅。
以下哪项最可能是“熊家长”辩解所隐含的前提?
张、王、李、赵四人计划在6至9月中分别选择一个月休年假,但部门人手短缺,一个月中不能有两个人休假。赵不希望安排在6月,张要求不要安排在9月,李表示6月或8月都可以,王提出只能安排在7、8月份。
如四人的要求均得到满足,则可以推出以下哪项?
某部门新录用甲、乙、丙三名工作人员,他们各自的籍贯为江苏、安徽、浙江中的某个省。张红、李梅和王芹对他们的籍贯有如下猜测:
张红:甲是浙江人,乙是安徽人,丙也是浙江人;
李梅:甲是浙江人,乙是江苏人,丙不是江苏人;
王芹:甲是江苏人,乙是浙江人,丙也是江苏人。
已知,对甲、乙、丙的籍贯,上述三人均猜对1个,猜错2个。
根据以上信息,以下哪项是可能的?
一项对某企业基层工作人员的研究报告显示,使用社交软件的基层工作人员罹患糖尿病、精神疾病、缺血性心脏疾病的概率均显著低于不使用社交软件的。据此,该企业管理人员认为,社交软件的使用有利于基层工作人员的健康。
以下哪项如果为真,最能削弱上述管理人员的结论?
由于业务量增加,某服务中心计划增加登记、咨询、报送、投诉和综合5个业务窗口,拟安排的5名工作人员所熟悉的业务各有不同:小丽作为新人,只熟悉登记业务;小马熟悉登记和咨询业务;小高熟悉报送和投诉业务;老王除了综合和投诉,其他业务都很熟悉;老董所有业务都很精通。最终,5名工作人员被分别安排到5个窗口负责各自熟悉的业务。
关于人员安排,以下说法正确的是
随着社会经济的快速发展,很多现代化都市高楼林立,变成了钢铁水泥的森林。但欧洲某著名城市几乎没有一座高楼大厦,某旅游者在游览时了解到该城市仅有10万人。由此他认为,人口稀少、需求不旺是这座城市不建高楼大厦的主要原因。
以下哪项如果为真,最能质疑上述旅游者的观点?
在400米跑比赛中,罗、方、许、吕、田、石6人被分在一组。他们站在由内到外的1至6号赛道上。关于他们的位置,已知:
(1)田和石的赛道相邻;
(2)吕的赛道编号小于罗;
(3)田和罗之间隔着两条赛道;
(4)方的赛道编号小于吕,且中间隔着两条赛道。
根据以上陈述,关于田的位置,以下哪项是可能的?
根据以上陈述,可以推出以下哪项?
造血式扶贫:指政府部门或社会力量通过持续性地扶持农村产业发展,拓宽农产品销售及消费渠道等,帮助贫困地区、贫困人口增收脱贫的扶贫方式。
下列属于造血式扶贫的是
”的产业发展模式,使农民年收入翻了一番,人均达到近万元分众化教育:指根据受众的具体差异,用典型案例分别进行宣传,以激发情感共鸣,达成特定目标的教育方式。
下列属于分众化教育的是
喘息服务:指由政府部门购买服务,为有失能失智老人的低收入家庭或特殊困难家庭提供临时性援助,让常年在家照顾亲属者得到短暂休息。
下列属于喘息服务的是
口述登记制:指办理个体工商户登记手续时,申请人无需亲自填表,只要口述各项信息,核对确认后即可当场领取营业执照的登记方式。
下列属于口述登记制的是
垃圾资源化:指垃圾进行分选处理后,成为无污染的循环再利用原料,进而加工、转化为再生资源的垃圾处理方式。
下列属于垃圾资源化的是
良性冲突:指管理者设法把企业内部的小冲突转化为凝聚力,推动企业发展的管理策略。
下列属于良性冲突的是
乡贤调解:指村民之间发生纠纷后,由具有较高威望和影响力的乡村贤达人士出面解决纠纷的民间调解方式。
下列不属于乡贤调解的是
等待经济:指商家利用人们购物、就医、出行时的空余时间,提供选择自由、使用方便的付费服务。
下列不属于等待经济的是
信息污染:指信息传播过程中混入危害性、欺骗性或误导性信息元素,从而影响对有效信息的正常获取和利用的现象。
下列属于信息污染的是
痕迹管理:指按照相关部门要求,用文字或图片等材料记录、展示工作过程和业绩,作为绩效考核依据的监督管理手段。
下列不属于痕迹管理的是
抢跑焦虑症:指家庭或学校由于担心孩子缺乏竞争力,急于进行超前教育、加深教学内容等违背教育教学基本规律的现象。
下列不属于抢跑焦虑症的是
情感营销:指在商品销售过程中,商家运用各种手段拉近与客户的情感距离,从而达到销售目的的营销策略。
下列属于情感营销的是
同辈压力:指年龄相近的人因生活、工作、社会地位等方面存在差距,担心受到轻视排挤而产生的心理压力。
下列属于同辈压力的是
谜语有多种猜法。比较法是将字形、字义相近或相反的词放在一起,加以比较而扣合谜底;溯源法是追溯谜面的来源及其与原出处的上下关联,然后再扣合谜底;拟物法是将人或人体某部分物化,将谜面字词语义或所言之事物化,扣合谜底。
①谜面:枕头。要求打一成语。谜底:置之脑后
②谜面:桃花潭水深千尺。要求打一成语。谜底:无与伦比
③谜面:加一笔不好,加一倍不少。要求打一字。谜底:夕
关于①②③谜语的猜法,下列判断正确的是
层递:指根据事物的逻辑关系,连用结构相似的语句,把意思按照大小、多少、高低、轻重、远近等不同程度逐层排列出来,表达层次递进的事理。
下列没有使用层递的是
新中国成立70年来,我国人口由1949年末的5.4亿人增加到2018年末的近14亿人。其中,从1949年末到1970年末,我国人口由5.4亿人增加到8.3亿人;1971年末至1980年末,全国人口由8.5亿人增加到9.9亿人;20世纪80年代,全国人口由1981年末的10.0亿人增加到1990年末的11.4亿人;1991年以来,我国人口增长率稳步下降,最终在
左右的增速上保持平稳。1991-2018年,我国人口年均增加878万人,自2001年以来年均增加711万人。
1953年末全国16-59岁劳动年龄人口为3.10亿人,1964年末为3.53亿人,1982年、1990年、2000年和2010年四次人口普查数据显示,我国劳动年龄人口分别为5.67亿人、6.99亿人、8.08亿人和9.16亿人。在2012年末我国劳动年龄人口总量达到峰值9.22亿人后增量由正转负,2018年末为8.97亿人。
新中国成立之初,全国
的人口都是文盲。1982年末全国高中及以上受教育程度人口占总人口的
,1990年末占
,2000年末占
,2010年末达到
,2018年末提高到
。1982年末大专及以上受教育程度人口仅占总人口的
,1990年末为
,2000年末为
,2010年末为
,2018年末达到
。
1981-1990年这十年,全国人口总增长率是




用
、
、
分别表示四次人口普查间的全国劳动年龄人口年均增长率,下列关系正确的是




2000年末全国人口为
全国大专及以上受教育程度人口占总人口比重提高最多的时期是
从上述资料不能推出的是

2019年1-10月,江苏民航机场旅客吞吐量4901万人次,同比增长
,增速比华东地区(六省一市)高6.2个百分点,比上海高9.7个百分点,比浙江高5.7个百分点,比山东高4.4个百分点,比福建高8.7个百分点,比江西高6.9个百分点,与安徽持平。

2019年1-10月,江苏民航机场旅客吞吐量同比增加
2013-2018年江苏9个民航机场中旅客吞吐量逐年增加的机场个数是
2019年1-10月,华东地区民航机场旅客吞吐量同比增速最慢的省(市)是
2013-2018年江苏9个民航机场中旅客吞吐量年均增速最快的机场是
从上述资料中能够推出的是
2019年2月中下旬,某市统计局随机抽取2000名在该市居住半年以上的18~65周岁居民,就其2019年春节期间的消费情况进行了调查。调查结果显示:与上年春节相比,
的受访居民消费支出有所增加,
的受访居民消费支出基本持平。


受访居民中,2019年春节期间消费支出多于上年的人数与少于上年的人数相差:
2019年春节期间有“餐饮消费”的受访居民中,一定有人:
2019年春节期间消费支出在2000元以下的受访居民中,“发红包、给压岁钱的”至少占




2019年春节期间消费支出在5000元以上的受访居民人数有可能是:
关于2019年春节期间消费,从上述资料中能够推出的是:
的受访居民同时选择“购保健产品”“购数码产品、智能家电”和“去旅游”2019年上半年,全国快递业务量完成277.5亿件。同比增长25.7%;业务收入完成3396.7亿元,同比增长23.7%。6月份,全国快递业务量完成54.6亿件,同比增长29.1%;业务收入完成643.2亿元,同比增长26.5%。
2019年6月,国家邮政局和各省(区、市)邮政管理局接到消费者对快递服务问题申诉42840件,环比下降0.3%,同比下降10.1%;处理的申诉中,有效申诉量1479件,环比下降5.7%,同比下降68.5%。
表2018年和2019年上半年全国分地区快递业务量及收入占比 单位:%


2019年上半年,全国异地快递业务量同比增长( )
2019年上半年,快递业务收入同比增长最快、最慢的地区分别是( )
2018年上半年,中部地区快递业务收入为( )
2018年6月,国家邮政局和各省(区、市)邮政管理局处理的快递服务有效申诉量为( )
从上述资料不能推出的是( )
