党的十八大以来,党中央作出全方位培养、引进、使用人才的重大部署,推动新时代人才工作取得历史性成就,发生历史性改革。关于我国新时代人才工作取得的历史性成就、发生历史性改革,下列表述正确的是( )。
①党对人才工作的领导全面加强
②各类研发人员的总量居世界首位
③全球创新指数的排名位居第二
④成为各类最齐全的人才资源大国
习近平总书记在参加十四届全国人大一次会议江苏代表团审议时,对高质量发展作出重要论述。并希望江苏在高质量发展上继续走前列,为全国大局作出新的更大贡献。下列关于高质量发展的表述,与习近平总书记讲话内容相一致的是( )。
①加快推动农业现代化是高质量发展的必然要求
②加快构建新发展格局是推动高质量发展的战略基点
③建设社会主义现代化强国是推动高质量发展的最终目的
④实现高水平科技自立自强是推动高质量发展的必由之路
在全面建设社会主义现代化国家的新征程上,必须一切从实际出发,在新时代伟大实践中不断开辟马克思主义中国化时代化新境界。上述论断所蕴含的哲理不包括( )。
2023年3月,中共中央办公厅印发的《关于全党大兴调查研究的工作方案》,深刻阐明了调查研究的重要意义。关于调查研究的重要意义,下列理确不正确的是( )。
习近平法治思想的原创性贡献,不仅体现在国内法治理论和实践上,也体现在世界法治理论和实践上。习近平法治思想的世界性贡献,集中体现在( )。
①为各国的法治现代化提供了新的理论
②为世界法律格局改变提出了新主张
③为人类政治发展设计了新坐标
④为全球治理体系变革贡献了新方案
党的二十大闭幕后不久,习近平总书记带领中央政治局常委专程前往延安。在集体瞻仰延安革命纪念地时,他指出党的七大在党的历史上具有重要里程碑的意义,标志着我们党在政治上思想上组织上走向成熟。关于党的七大贡献,下列表述不正确的是( )。
党的二十报告指出,我们要实现好、维护好、发展好最广大人民的根本利益,扎实推进共同富裕。为此,应发挥法治在利益分配中的作用,围绕实现公平正义、努力分好“蛋糕”下列不属于在利益分配中以法促进公平正义的的措施是( )。
中华优秀传统文化源远流长、博大精深,是中华文明的智慧结晶,其中蕴含着天下为公,民为邦本,天人合一等理念。下列古语最能体现“天人合一”的理念是( )。
下列古语,有助于滋养从业人员诚实守信的职业素养的是( )。
在感动中国2022年度人物的颁奖典礼上,由13位老师平均77岁的退休教师组成的银发直播群体受到广泛关注。原来他们退休之后依然发挥余热,不辞辛苦的借助短视频、直播等传播方式,将自己毕生所学传播到课堂之外,推动着更多人去拥抱知识、探索未知。下列最能体现该银发直播群体道德素养的是( )。
清朝康熙年间,江苏籍官员缪燧曾以“吏治之事,抚字维艰,干城之责,绥靖为尚”自勉。该自勉最能体现的缪燧为官之道是( )。
我国要建全现代公共服务体系,精准开展分众式公共服务。下列做法属于分众式公共服务的是( )。
近年来,我国形成了世界上最大的住房保障体系,并建立了一套较为完整的住房保障政策和管理制度。关于我国住房保障体系的内容,下列不正确的是( )。
制度具有规范性和导向性,是开展有效治理的重要保障。然而,单凭制度本身不足以激发遵守规范的自觉,不足以从源头上遏制违法违规行为的发生。事实上,一项制度的贯彻落实从根本上需要深层的伦理意识和道德观念作支撑。行为之所以被称作是道德的,主要是因为行为者具有道德认知和伦理自觉,自愿恪守道德规范,而不仅仅是因为行为表现得合乎道德。可以说,不管制度出台前,还是制度执行过程中,科技伦理意识都是最后,也是最根本的一道防线。培养伦理意识和加强制度规范,共同构成科技伦理制度不可忽视的着力点。
这段文字意在强调( )。
当前,我国的产业体系尤其是工业体系已经相当完备,但现代化水平还不高。提升产业链供应链现代化水平是实现高质量发展和提升产业核心竞争力的关键。在这一过程中,要聚焦“现代化”,立足实体经济发展需要,突出产业体系的支撑性、引领性、安全性、开放性和可持续性。既要聚焦产业链短板,开展关键核心技术攻关,以产业强链为牵引,打造具有国际竞争力的先进制造业产业集群,还要提升装备制造业发展水平,积极发展高端技术装备、大型技术设备,拓展高端装备国产化空间,为实体经济技术改造和产业转型提供重要保障。
作者通过这段文字想要表达的是( )。
中国人酷爱茶,不仅因为它的曼妙滋味。泡茶、喝茶、赏茶、品茶在1000多年前就形成了具有仪式性和审美性的茶道,对中国人的性情涵养产生深远影响。建窑建盏、宜兴紫砂壶、传统音乐茶山号子、传统舞蹈采茶灯、传统戏剧采茶戏等,都是为茶而生,茶为文化生活的丰富和再创造提供了不竭动力。茶作为载体,也见证了中外文化交流的历史。如近邻的日本茶道、漂洋过海的英式下午茶,都源于中国茶。
下列不符合文意的是( )。
在社交平台上晒年度书单,在城市书房里享受静谧的阅读时光,在热闹的直播间里购买书籍、交流阅读心得······当下人们的日常生活中,阅读有了许多新的打开方式。不久前发布的一份报告显示,2022年我国图书零售市场码洋(全部图书定价总额)规模为871亿元。其中,短视频电商零售图书码洋同比上升42.86%,占比已赶超实体书店。不断变化的线上渠道,为纸质书销售找到新的出口,形成了互联网时代的阅读新图景。
这段文字着重说明( )。
相比小农户,新型农业经营主体的规模化、集约化、标准化、专业化程度更高,加之农业生产经营周期较长,对融资规模和融资期限结构的多元化、金融服务的差异化等都提出了更高要求。支持新型农业经营主体发展,需要金融机构加大金融产品和服务方式创新力度,及时根据新型农业经营主体经营风险变化调整准入标准、担保方式,贷款额度和期限等信贷政策将更多金融资源配置到重点领域和薄弱环节。
这段文字意在说明( )。
面对全面建设社会主义现代化国家的奋斗目标和当前日益严峻复杂的国际形势,要赢得科技竞争、把握创新驱动主动权,必须加快推动人才强国战略与科技兴国战略,创新驱动发展战略的有机融合,以 更多新技术新产业,不断增强高质量发展和现代化建设的新 。
依次填入文中画横线处最恰当的一项是( )。
我们需要想象力,更需要把想象力转化为作品的具体方法,需要一套 的电影工业体系——不光是设备和技术,更是流程和 。有了这套体系,电影人就更容易在前人经验基础上创作出优秀作品, 水平和生产效率就会更有保障。
依次填入文中横线处最恰当的一项是( )。
实现高水平科技自立自强,不仅要啃下“卡脖子”技术等硬骨头,还必须在颠覆性技术领域走在国际前列。这就要求我们 。我们要有适应科技发展趋势的国家重点实验室,结合国家战略科技力量,完善空间布局,加强投入和领导人才队伍建设,提高重大科技任务的攻坚能力。
填入文中横线处最恰当的一项是( )。
①中年人愧疚地站起身,轻轻地把小女孩抱到自己的座位上
②一位老大爷迈着蹒跚的步伐上车走到一位中年人的面前
③司机见状打开语音系统提醒乘客将座位让给有需要的人
④坐着的中年人抬头看了老大爷一眼便扭头向窗外望去
⑤一个扎着两条辫子的小女孩拉着老大爷朝她座位走去
①雪天路滑货车突然突然倒溜
②众人搬来石头阻挡车轮
③货车驶上陡坡艰难前行
④货车司机含泪连连感谢
⑤路过小车见状紧急停车
①小男孩拿出钱塞进奶奶的衣兜
②小男孩在路口挥手和爷爷再见
③小男孩返城的舍不得离开爷爷、奶奶
④小男孩跟父母回乡看望爷爷、奶奶
⑤小男孩阻止奶奶掏钱并拥抱着奶奶
①收费员不顾危险敲打车窗
②收费员示意货车司机停车
③收费员发现司机在打着盹
④货车司机惊醒赶忙踩刹车
⑤货车未停车直接闯杆通过
①解决实际问题
②开展实地调查
③制定工作方案
④推广工作经验
⑤深入分析论证
识才:慧眼
追梦:圆梦
因地制宜:因城施策
古籍:文化载体:历史文脉
乡村振兴:人才振兴
从所给的四个选项中,选择最合适的一个填入问号处,使之呈现一定的规律性( )。

从所给的四个选项中,选择最合适的一个填入问号处,使之呈现一定的规律性( )。
从所给的四个选项中,选择最合适的一个填入问号处,使之呈现一定的规律性( )。
从所给的四个选项中,选择最合适的一个填入问号处,使之呈现一定的规律性( )。

ChatGPT是美国OPENAI公司研发的最新聊天机器人模型,它使用自然语言处理技术,对海量数据进行深度学习,挖掘出关联统计性,形成合成语言语境下的对话能力,生成部分代替人类智能的文本或作品,ChatGPT像是“家教“或“字典”,可为学生答疑解惑,已有许多学生开始通过ChatGPT投机取巧,应对作业和考试。据此有家长担忧ChatGPT有可能取代学校教育。
以下如果哪项为真,最能说明上述家长的担忧是不必要的?( )
鼎起初是用来煮肉的工具,后来用于祭祀神灵。最后走进了庙堂,成为权力的象征。在周朝时,列鼎制度规定,天子用九鼎,诸侯用七鼎,大夫用五鼎,士用三鼎,可见鼎在这时已具有明尊卑的政治功能,成为区分权利等级的重要标志。鼎为什么能从煮肉的大锅升级为权力重器?有专家分析指出,鼎的这种华丽转身,与青铜鼎的物理属性高度相关。
以下哪项如果为真,最能支持上述专家的观点?( )
某县有县领导每周一到周五值班接待群众来访制度,五个工作日上午、下午均有一人值班,且上午、下午值班的人各不相同。每位县领导的接待日不连续,书记和副书记不能同一天值班。下周刘书记、张县长、李副书记及江副县长王副县长等5位领导值班,已知排定
(1)下周一下午张县长
(2)下周三上午江副县长
(3)下周五下午王副县长
根据以上条件,关于下周值班人员,下列哪项正确?( )
为加强对基层的了解,机关处室要求甲、乙、丙、丁、戊五人去宁山、淳水、鼓城、建村、浦江5个乡镇。领导要求每人均需独自逐个调研5地,已知每人顺序各不相同,但每人调研每个地点时间基本相同,以致每人调研一个乡村后,均能与他人立即轮换。经数轮轮换后,每人均调研了5个地点。此外还知道:
(1)丙调研的第1个地点宁山是甲调研的第4个地点
(2)丁调研的第1个地点淳水是乙调研的第3个地点
(3)甲调研的第2个地点鼓城是丙调研的第3个地点也是戊调研的第5个地点
(4)乙调研的第5个地点建村是丙调研的第4个地点也是丁调研的第3个地点
那么可以得出以下哪个结论( )。
甲、乙、丙、丁四人考试,主考官一共出了8道题,答对一题得1分,答错1题扣1分,放弃得0分,4人对这8道题答案各有差异,有些题认为
,有些题认为
,有些题认为放弃为O,4人8题答案和得分如下所示:

根据上述条件,以下哪个选项可能是正确答案( )。




2022年末全国参加城镇职工基本养老保险人数50349万人,比上年末增加2275万人。参加城乡居民基本养老保险人数54952万人,比上年末增加155万人;参加失业保险人数23807万人,比上年末增加849万人;参加工伤保险人数29111万人,比上年末增加825万人,参加生育保险人数24608万人,比上年末增加856万人,近10年城镇基本医疗保险年末参保人数见下表:
表1:近10年城镇基本医疗保险年末参保人数(万人)

下列社会保险类别中,2022年末参保人数比上年末增长率最高的是( )。
2021年末,全国参加失业保险人数比参加工伤保险人数少多少?( )
近10年城镇基本医疗保险年末参保人数中,职工参保人数占比大于30%的年份有几个?( )
分别以V1、V2、V3表示2014
2022城镇基本医疗保险年末参保人数、城镇职工基本医疗保险年末参保人数、城镇居民基本医疗保险年末参保人数的年均增长率,则V1、V2、V3的大小关系是( )。
V2
V3
V2
V1
V1
V3
V1
V2根据上述材料,下列判断不正确的是( )。
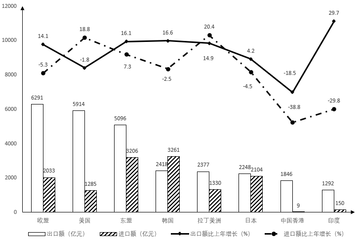
2022年全国城镇职工基本医疗保险年末参保人数逐年增加2022年江苏省进出口总额54455亿元,规模再创新高,比上年提升了4.8%。其中出口34816亿元,提升了7.5%,进口19639亿元,提升了0.4%。从贸易方式看,一般贸易进出口总额31257亿元,提升了7.1%,占进出口总额比重57.4%,比上年提高了1.2个百分点。从出口主体看,私营企业、国有企业、外商投资企业出口额分别提升了12.2%、9.8%、2.9%。从出口产品看,机电、高新技术产品出口额分别提升了7.1%、7.2%。对“一带一路“沿线国家进出口总额14903亿元,提升13.1%,连续7年保持增长。
2022年江苏对主要国家和地区货物进出口情况见下图

2021年江苏一般贸易进出口总额为( )。
2022年江苏对一带一路沿线国家进出口总额占江苏省进出口总额比重为( )。
图中的国家及地区中,2022年江苏对其净出口额最多是( )。
图中的国家及地区,2022年江苏对其净出口额比上年增加的有几个( )。
关于2022江苏进出口情况,下列正确的是( )。
