全国范围内积极推广的ETC应用提高了高速公路车辆通行效率,节约了人工成本。高速公路ETC的工作流程图如图1所示,该系统使用的核心关键技术是( )。

进入网站页面后,可实现循环播放网页背景音乐bg.mid的网页代码是( )。
2017年国家颁布的《互联网用户公众账号信息服务管理规定》指出互联网用户公众账号信息服务提供者应当按照“后台实名,前台自愿”的原则,对使用者进行基于组织机构代码,身份证件号码,移动电话号码等真实身份信息认证。使用者不提供真实身份信息的,不得为其提供信息发布服务。对该规定的实施,下列说法正确的是( )。
缺
使用photoshop软件制作“世界军人运动会”的海报,部分界面如图2所示,下列说法正确的是( )。

图2
某Flash动画编辑部分页面如图3所示,“按钮”图层的最后1帧放置了“重播”按钮,想要实现鼠标按下该按钮后重新开始(从第一帧)播放该场景,给“重播”按钮添加的动作命令正确的是( )。

图3
如图4所示的聊天机器人与用户通过文本进行交流(非语音对话),该系统的核心要素是( )。

图4
一个容量大小为1.68MB且未经压缩的WAV文件,其相关信息如图5所示,则该音频文件的量化位数为( )。

图5
某公司的业务规则为:(1)每个职工的属性有职工号,姓名,职位和小时工资;(2)每位职工有一个职位,且多名职工可能有相同的职位;(3)工程的属性有工程号和工程名称;(4)每位职工可以参加几个不同的工程,且每个工程有多名职工参与;(5)职位决定小时工资,按职工在每个工程中完成的工时计算酬金。该业务ER模型如图6所示,若将其转换成关系模式集正确的是( )。

图6
某十进制正整数n转化为二进制数,该二进制末位是“0”。下列说法正确的是( )。
计算机弈棋是人工智能的应用领域之一。弈棋计算机的基本“思考模式”就是将当前盘面下的每一种合法的,且“获胜概率”最高的走法进行筛选,计算机下围棋的主要工作是在降低搜索计算量的前提下运用搜索算法逼近最优解。可以运用这种搜索算法的原因是围棋属于( )。
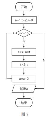
某算法的部分流程如图7所示。执行循环部分流程的执行次数和a的值分别是( )。

已知R={
,
,
},S={1,2},
。那T关系中的元组数为( )。
栈是一个操作受限的数据结构,对其进行插入和删除必须在( )。
采用曼彻斯特编码技术,将一组数字数据0101001101编码为数字信号,下列所示的四组图形中正确的是( )。





某排序程序在运行时,其每趟排序的结果如图10所示。请问此过程体现的是哪种排序?(4分)此种排序算法的基本思想是什么?(6分)

图10
SMTP属于TCP/IP协议体系结构中的哪一层?(4分)请列出其通信的三个阶段。(6分)
《普通高中信息技术课程标准(2017年版2020年修订)》提出的高中信息技术课的基本理念包含哪几方面的内容?(10分)
《机器人循光》一课的主要教学内容是设计机器人循光程序,利用红外线传感器实现机器人自动循光。
李老师以往的教学步骤如下:先讲授程序的设置方式,然后讲授机器人循光判断过程,利用流程图在软件中编写程序,再说明如何编制程序、运行程序。机器人循光的基本逻辑:如果前方有光源,机器人前进;如果前方没有光源,机器人停止运动;如果光源的光照度不够,机器人后退。通过循环检测,让机器人追逐着光源运动。
李老师发现此部分的教学效果总是不尽如人意,相当数量的学生无法顺利完成程序搭建,或者不会根据机器人实际出现的情况修改程序。经过思考,李老师改进了教学,他将问题化整为零,通过分解问题的方式改善教学过程,设计了如下所示的表格。

教学中,李老师以此表格为线索,引导学生通过填写表格,循序渐进,最终同学们顺利地完成了学习任务。下图为学生填写的部分内容。

下课前,李老师又提出了问题,请同学们课后思考:“表格中的6个问题之间是什么关系?这个表格对于我们解决问题有什么作用?”通过此次教学,李老师总结到利用表格帮助学生分解复杂问题是一种有效的教学策略,也有助于培养学生计算思维。
问题:
(1)李老师改进后的表格对学生设计机器人循光程序有什么作用?(10分)
(2)请分析李老师改进后的教学有助于培养学生计算思维的哪些方面?(10分)
《用递归算法解决问题》一课的主要教学目标是:
(1)理解递归算法及其缺点;
(2)应用自定义函数方法实现递归算法的编程。
为此,陈老师给同学们布置了如下所示的两道练习题。

陈老师在巡视过程中发现学生练习一的完成率比较高,但是仍有很多学生会将
写成
。学生在完成练习二的过程中,陈老师不时提醒:请同学们对比用这种方法求第1项和第35项时运行时间。
问题:
(1)陈老师布置的练习一和练习二两个题目之间存在什么关系?
(2)结合教学目标,分析学生在练习二时陈老师不时提醒学生的目的是什么?
阅读材料,根据要求完成教学设计。
网络安全不仅事关个人生活,更关系到社会稳定和国家安全。因此,信息社会中每个人都应该提高网络安全意识,并在理解网络传输原理和数据加密原理的基础上,应用适当的技术工具,提高风险防范技能。
教学目标:学生在学习本节课内容之后,能够:
(1)知道加密、解密和密钥等基本概念;
(2)用自己的语言描述加密和解密的基本原理;
(3)举例说明常见的数据加密应用场景;
(4)举例说明智能产品可能存在的安全风险。
教学对象:高一年级学生,在学习本节课内容之前,已经知道网络传输的基本过程,生活中也有使用密码的经验。
教学重难点:准确地描述加密和解密的基本原理。
教学课时:1~2课时(45分钟/课时)
素材一:随着人们对居住环境要求的提高,人们越来越重视家居入户的管理,对家庭出入等方面提出了更高的安全要求。智能门锁以其便捷的特点正在走进千家万户的智能家居产品行列,但是实现智能化以后的问题也给用户带来了一系列安全的风险。智能锁制造商通常会在门锁芯片上采用数据传输加密技术,降低风险。
素材二:如下所示的2个图片。


要求:
(1)写出一段课堂实录语言,采用类比的方式解释加密、解密和密钥等基本概念。(14分)
(2)利用教学素材一和素材二设计一个教学环节,使学生理解数据加密原理。(21分)
