下列各组物质,化学键类型相同、晶体类型也相同的是( )。
和
和
和
和
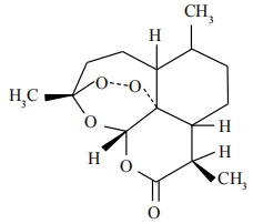
中国科学家屠呦呦因发现并提纯抗疟药物青蒿素而获得2015年诺贝尔奖。已知青蒿素的结构如下图所示。下列有关青蒿素说法正确的是( )。


在由水电离产生的
浓度为
的溶液中,一定能大量共存的离子组是( )。
、
、
、
、
、
、
、
、
、
、
、
、
短周期元素X、Y、Z、W在元素周期表中的相对位置如下图所示,其中W的原子序数是X与Y原子序数之和,下列说法不正确的是( )。

在恒容密闭容器中发生反应
,该反应的热效应为
,在温度
和
时,
的物质的量随时间变化的关系如下图所示,下列判断正确的是( )。

,
,
,
,
下列叙述正确的是( )。
设
为阿伏加德罗常数的值,下列说法正确的是( )。
(相对原子质量:H—1,C—12,Cl—35.5,Fe—56)
碳酸钠溶液中
的个数为



下列分子的中心原子,杂化轨道类型为
的是( )。




某学习小组研究电化学腐蚀及防护的装置如下图所示,下列说法错误的是( )。



下列电对中标准电极电势
值最大的是( )。




化学课程目标中,“情感态度与价值观”是( )。
现代化学课程的理念是( )。
①重视提高学生的科学素养
②采用自主、合作、探究的学习方式
③强调科学精神与人文精神结合
④应用多媒体展示实验过程
人们对原子结构的认识是不断深化的,下列先后顺序符合化学史实的是( )。
①玻尔提出的量子力学模型
②汤姆森提出的葡萄干布丁模型
③道尔顿提出的实心球模型
④卢瑟福提出的行星模型
在化学教学内容中,教学重点( )。
化学课程目标确立的依据是( )。
①国家对人才培养的基本要求
②考试要求和需要
③化学学科的特征
④学生发展的需要
“化学平衡”概念所属的化学知识类型是( )。
关于教学目标的表述错误的是( )。
化学课堂上,有些同学只喜欢观看教师所做的演示实验,这种兴趣属于( )。
下列教学行为不恰当的是( )。
某教师在开学时,对高一新生开展了一次小测验,以了解学生的化学知识基础与能力发展水平。这种测试属于( )。
阅读下面素材,回答有关问题:
某教师在进行“原电池”教学时,并没有完全遵从教材上的内容,让学生按照教材规定的实验方案做实验,而是在认真分析教材相应内容基础上,为学生提供了几个相关的活动主题,制作各种水果电池,利用实验探究原电池原理,利用网络查找燃料电池的相关资料等,让学生选择主题,开展活动,并在此基础上实施教学。
问题:
(1)上述过程体现了教师“用教材教”的教材观念,请简述“教教材”和“用教材教”的区别。(6分)
(2)上述过程体现了哪些教学理念?(6分)
阅读下面素材,回答有关问题:
次氯酸具有漂白性是某本教材“富集在海水中的元素——氯”一节的教学内容,某教师在课堂教学中,通过将潮湿的和干燥的有色布条分别放在氯气中的演示实验,引导学生观察和分析,并板书:
,得出次氯酸具有漂白性的结论。
这时有学生质疑,HCl与HClO同时生成,为什么不是HCl使有色布条褪色。教师又引导学生设计实验探究HCl有没有漂白性,并开展交流讨论得出了结论。
(1)简述实验探究法的主要环节。(6分)
(2)说明实验探究法的教学功能。(7分)
某化学兴趣小组设计了一个课外实验,目的是测定一定质量的某铜铝混合物中的铜的质量分数。且希望实验尽量不产生有毒气体,实验方案如下所示:

(1)方案Ⅰ的溶液A可以是什么物质?(2分)
(2)给出利用方案Ⅰ测定混合物中铜的质量分数的思路。(5分)
(3)有同学提出方案Ⅰ的溶液A可以选择浓
或稀
,请你给出评价。(4分)
(4)指出方案Ⅰ和方案Ⅱ哪种更好?请说明理由。(4分)
某教师在必修教材《化学2》“生活中两种常见的有机物”第一课时教学中,用“乙醇”设计了以下教学过程,并展开教学:通过中国的酒文化引入课题→观察乙醇,总结物理性质→复习回忆乙醇的分子式→根据碳原子可形成四个共价键的原则,提出乙醇的两种可能结构(即
和
)→实验验证:乙醇和钠的反应→得出乙醇的分子结构,介绍羟基官能团→实验验证:铜丝在酒精灯的内焰和外焰移动→介绍乙醇的催化氧化,启发联想断键方式→介绍有机化学中的氧化反应→得出醇类物质的通性→介绍乙醇的性质和用途→布置作业,制作一份关于酗酒危害的海报。
问题:
(1)简要评述上述教学设计的优缺点。(10分)
(2)结合本案例,说一说教学设计时应从哪些方面开展学情分析。(10分)
阅读下列三段材料,根据要求完成任务。
材料一 《普通高中化学课程标准(实验)》关于“离子反应”的内容标准:知道酸、碱、盐在溶液中能发生电离。
材料二 某版高中必修教材《化学1》第二章第2节“离子反应”的部分内容:



材料三 教学对象为高一年级学生。学生在初三化学中已经学习了离子、盐酸、硫酸、氢氧化钠、氢氧化钙、氯化钠等知识。
要求:
(1)关于电解质,学生易产生哪些错误认识?(4分)
(2)根据以上材料完成“酸、碱、盐在水溶液中的电离”的教学设计,内容包括教学目标、教学重点、教学难点、教学方法、教学过程。(不少于300字)(26分)
