CCD(电荷耦合器件)广泛应用在数码相机、扫描仪、数码摄像机中,是用来感光成像的器件,光纤经过CCD,可以完成( )。
对某Word文档的修订如图1所示,则修订处的原文应为( )。

图1
网络钓鱼是指不法分子通过批量发送欺骗性信息,引诱收信人主动提供其敏感信息(如用户名、口令、账号ID或信用卡详细信息),并利用这些信息进行非法交易的行为(如图2)。对此行为,在国家加大打击力度的同时,用户还要及时为计算机( )。

图2
如图3所示的PowerPoint动画效果为:椭圆先向右运动,然后矩形在椭圆运动结束后立即向左运动,则矩形对象的动画效果“计时”参数设置正确的界面是( )。

图3




某音频软件打开一个文件后的状态栏界面如图4所示,下列说法错误的是( )。

图4
某用户的桌面如图5所示,下列关于窗口排列方式的说法正确的是( )。

图5
自2017年起,全国各大火车站陆续采取自动实名制验证验票闸机系统,乘客只要持二代身份证和蓝色磁介质车票(蓝票),即可“刷脸”进站,有效保证了票、证、人“三合一”,其典型界面如图6所示,该系统采用的主要技术是( )。

图6
某单位的计算机网络结构和部分相关信息如图7所示。据此判断下列IP地址中适合PC4的是( )。


用Excel计算期末考试成绩如图8所示,将D2单元格中的公式移动至D4单元格,则D4单元格的公式为( )。

图8
二进制运算规则为:
,
。那么二进制算式
等于( )。
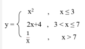
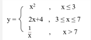
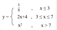
如图9所示流程图实现的函数是( )。





在使用Photoshop制作如图10所示的效果时,当需要对文字图层中的部分文字进行修改时发现操作不能完成,其原因是( )。

图10
根据关系模型Stu(学号,姓名,性别,出生年月),统计学生平均年龄应使用的SQL语句是( )。
某网页制作的界面如图11所示,下列选项正确的是( )。

图11
使用Flash编辑某作品的界面如图12所示,在第30帧能直接添加动作命令的图层是( )。

图12
请简要回答何为DHCP,以及DHCP服务器为客户机分配IP地址的方式。(10分)
请简要回答计算机文件保密的含义以及常用的措施有哪些。(10分)
2018年1月,《普通高中信息技术课程标准(2017年版)》正式发布,请简要回答高中信息技术学科核心素养包含哪几方面的内容。(10分)
缺。
缺。
缺。
