2009年9月15日至18日在北京举行的党的十七届四中全会审议通过了:
A、《中共中央关于加强新形势下党的建设若干重大问题的决定》
B、《中共中央关于推进农村改革发展若干重大问题的决定》
C、《中共中央关于加强党的执政能力建设的决定》
D、《中共中央关于深化行政管理体制改革的意见》
中央经济工作会议提出2010年扩大内需,调整经济结构的重点是:
A、改善交通状况,发展现代物流业
C、改善外资结构,发展外向型经济
2009年12月7日至8日在丹麦首都哥本哈根召开的联合国气候谈判大会的主要目的,是在《京都议定书》框架的基础上,量化各国的减排目标,减少向大气排放:
A、

B、
)
C、
)
D、
)
世界博览会是一项由主办国政府组织或委托有关部门举办的有较大影响和悠久历史的国际性博览活动,2010年5日开幕的上海世界博览会的主题是:
2009年12月25日是古田会议召开80周年纪念日,下列表述与古田会议无关的是:
B、明确了党对人民军队的绝对领导地位
C、规定了红军处理内外关系的准则
“知行兼举”是中国古代哲学的一个命题,下列选项与之无关的是:
A、“纸上得来终觉浅,绝知此事要躬行”
在我国传统学术发展史上,不同时期有不同的标志性学术成就。下列表述正确的是:
A、汉代经学 魏晋玄学 隋唐佛学 宋明理学
B、汉代经学 魏晋佛学 隋唐玄学 宋明理学
C、汉代儒学 魏晋玄学 隋唐佛学 宋明经学
D、汉代儒学 魏晋佛学 隋唐玄学 宋明经学
许多成语源于我国古代著名的历史故事。下列成语故事发生在战国时期的是:
下列诗句作者是杜甫的是:
A、“春蚕到死丝方尽,蜡炬成灰泪始干”
C、“天生我材必有用,千金散尽还复来”
D、“春潮带雨晚来急,野渡无人舟自横”
下列关于文史知识的表述不正确的是:
C、“五经”指《诗经》、《尚书》、《礼记》、《易经》和《春秋》
D、晚清四大谴责小说包括《官场现形记》、《二十年目睹之怪现状》、《老残游记》和《孽海花》
下列关于“元宵节”的别称不正确的是:
我国从2004年开始向海地派遣维和警察防暴队,执行联合国维和任务,下列关于海地的表述不正确的是:
C、海地是世界上第一个独立的黑人国家
下列不属于金融市场的是:
市场在资源配置中发挥越来越重要的作用,但面对世界金融危机,市场的失控引起了各国政府的重视,市场不具有的功能是:
2009年,国务院先后恢复了10个经济区域发展规划,表明我国新的区域经济展图逐渐成型,下列关于区域经济的表述不正确的是:
A、区域经济是一种综合性的经济发展的地理概念
B、区域经济以行政区划界为划分依据
C、医疗卫生和文化教育等区域性基础设施是发展区域经济的重要内容
D、水分 、热量、光照、土地和灾害频率等自然条件都会影响区域经济的发展
中央银行可以利用货币政策对证券市场进行调节,在短期内会导致股票指数下降的政策是:
A、银行存款利率上调,银行准备金上调
B、银行存款利率上调,银行准备金下调
C、银行存款利率下调,银行准备金上调
D、银行存款利率下调,银行准备金下调
下列关于外汇储备的说法不正确是:
A、外汇储备是国家国际清偿力的重要组成部分,同时对平衡国际收支,稳定汇率有重要的影响
B、目前中国的外汇储备总量居世界第一位
C、某国的外汇储备包含其特有的外国国库券
D、经济实力越强的国家,其持有的外汇储备就越多
下行为中不属于行政行为的是:
A、某国家机关为建住宅楼与某建筑公司签订建筑工程承包合同
B、某县技术监督局对所辖境内某化工厂生产国家明令淘汰的产品的行为予以处罚
C、国家知识产权局专利复审委员会根据利害关系人申请,宣告某专利权无效
D、工商行政管理机关为符合条件的企业颁发营业执照
下列属于不可以提起复议的行为是:
A、国务院某部门的《关于提高食盐出厂(场)价格的通知》
B、某市政府的《XX市农村社会基本养老保险实施细则》
C、某镇政府的《关于出生人口性别比升高专项整治活动的意见》
D、某省人大的《××省实施<中华人民共和国消费者权益保护法>办法》
甲有一套商品房要出售,经人介绍,与乙签订房屋买卖合同,丙知道后找到甲,表示愿意以更高的价格购买,甲便与丙订立合同并办理房屋过户手续。
下列说法正确的是:
A、房屋应归乙,甲向丙承担违约责任
B、房屋应归丙,甲向乙承担违约责任
C、房屋产权登记有误,应重新登记为
D、甲与丙订立的合同无效,甲与乙协商房屋的归属权
下列关于公务员录用规定的表述不正确的是:
A、录用担任主任科员以下及其他相当职务层次的非领导职务公务员,采取公开考试、严格考察。平等竞争,择优录取的办法
B、地方各级机关公务员的录用,由省级公务员主管部门负责组织
C、录用特殊职位的公务员可由招录机关自行决定
沈浩同志是新时期共产党的优秀代表,是农村基层干部的楷模,中共中央组织部号召全国各条战线的共产党员和广大干部向沈浩同志学习,其采用的公文形式是:
华裔科学家高锟获得2009年度诺贝尔物理学奖,其取得突破性成果的研究领域是:
下列关于计算机通讯技术的表述不正确的是:
A、Web2.0的用户既是网站内容的浏览者,也是网站内容的制造者
B、3G相对于2G的优势在于传输声音和数据的速度更快
C、物联网是在互联网的基础上,实现人与物品之间的信息交换
D、进入纳米时代,新材料研究成为计算机芯片发展的关键
下列关于日食的表述不正确的是:
A、一次完整的日食过程的顺序是:初亏、食既、食甚、生光、复圆
B、中国的《尚书》上有世界上最早的日食记录
C、日食主要有日全食、日偏食和日环食
D、日全食是因为地球挡住了太阳光线
为降低乘客的眩晕感,“高速列车”的车里安装了减速玻璃。下列关于减速玻璃和普通玻璃的表述正确的是:
A、减速玻璃的平面度比普通玻璃更好
C、透过普通玻璃,窗外的物体运动的速度看起来和实际速度一致
D、透过减速玻璃,窗外的物体运动更模糊
下列关于交通安全设备的表述不正确的是:
A、设有救生筏船舶沉到水下一定深度时,会自动将救生筏释放
B、汽车安全气囊应该与安全带配合工作,这样才能起到最佳的保护作用
C、随着飞机的问世,原本用在杂技场上的降落伞开始进入航空领域
D、黑匣子的作用,类似于计算机里的硬盘
下列关于含磷洗衣粉的表述不正确的是:
A、含磷洗衣粉可以起到软化水的作用
B、含磷洗衣粉是造成湖泊等水体发生“赤潮”的元凶之一
D、含磷洗衣粉对人体具有毒副作用
下列生活常识中表述不正确的是:
A、刚煮熟的鸡蛋放入冷水中一小段时间更容易剥壳
B、冬季气温降低时往冰冷的玻璃杯中倒入开水容易导致玻璃杯破裂
C、夏天自来水管外壁出现大量的水珠,这往往是下雨的预兆
D、用水烧菜时,水开后应该加大火力,提升水温以便尽快将菜煮熟,节省燃料
下列关于汽车行驶的表述不正确的是:
A、汽车快速行驶时,尾部通常会卷起尘土,主要是由于汽车底部形成的低气压区导致的
B、汽车急刹车时,乘客会向车行进方向倾倒,主要是由离心力导致的
C、油罐车尾都通常会挂 一条铁链直达地面,主要是为了避免静电放电导致灾难发生
D、汽车行驶时,车内一般都不开灯,主要是为了避免车内乘客在司机前的挡风玻璃上成像
运动中扭伤后可采取的正确措施是:
A、立即用冰袋冷敷,以防止毛细血管破裂后充血
B、立即用热水袋热敷,以促进血液循环,加快痊愈
C、立即用手揉捏受伤处,以散解淤血,防止肿胀
D、不做任何处理,等待其自然恢复
为贯彻党的十七届四中全会精神,加快推进海峡西岸经济区建设,福建省委省政府提出要把海峡西岸经济区建设成为科学发展之区,改革开放之区,文明祥和之区与:
国务院出台《关于支持福建省加快建设海峡西岸经济区的若干意见》福建省已启动实施建设的综合区位于:
2009年9月,福建省有三个项目入选世界非物质文化遗产,不包括:
下列关于福建省情历史表述不正确的是:
B、从汉朝开始,福建作为一个郡出现在中国的版图上
C、南宋时,福建设有一府五州二军,被称为“八闽”
这次国际金融危机 了中国特色发展模式的优越性,中国积极应对国际金融危机,并以本国经济增长为相关国家和经济体 困境提供市场和资金支持,进而在国际危机治理和国际机构改革进程中发挥了建设性作用,改善了国际形象,提升了道义感召力,国际社会开始重新 中国发展模式。
上面划线处依次填入词语,最恰当的是:
人是会思考的芦苇,也是世界上惟一会运用逻辑推理的生物。环环相扣, 的逻辑推理,确实可以帮助我们进行正确的思考、研究和决策。在二战前著名的德国国会纵火案中,季米特洛夫的无罪辩护,就是利用自己娴熟的法律知识和 的逻辑推理,驳倒了法西斯分子的诬陷栽赃,使法官不得不当庭宣判无罪释放。但错误的逻辑推理也常常可以使人陷入诡辩荒唐的 。
上面划线处依次填入词语,最恰当的是:
林则徐小时候去应童子试,因人群拥挤,他的父亲就扛着送他进考场。考官见他父子这副样子,开玩笑道:“骑父作马”,引起 ,弄得林则徐父亲十分尴尬。谁知,林则徐脱口而出:“望子成龙”。满场为之 。林则徐的回答既解除了父亲的 ,又道出了父亲盼儿成材的的心情,一时传为佳话。
依次填入划横线部分最恰当的一项是:
迈克尔·杰克逊是流行乐坛最具影响力的音乐家之一, 世界销量第一的专辑。他魔幻般的舞步更是让无数的明星 。他一个人 了世界上39个慈善救助基金会,是全世界以个人名义捐助慈善事业最多的人。
上面划线处依次填入词语,最恰当的是:
其实,我们每个人的生命最初都是一片光秃秃的土地。只是后来,在我们经历了许多物事之后,我们的种种体验就像一片柔韧而尖锐的犁铧一样,将我们的生命一点一点地开垦出来。被开垦的土地从此便不再是一片不毛之地,我们所有的体验都会在不同的时间里,将根须扎进我们生命的深处疯狂地生长,这些生长的植物中有清丽高贵也有瑕疵世俗。
根据这段文字,理解不正确的是:
C、人生经历种种滋味是不以个人意志为转移的
下列各句中存在歧义的一句是:
A、这一场关于宗教的争辩,虽说引起甚嚣尘上,然而却没有结出果实来
B、某国政府明令禁止取缔建立对冲基金
C、某国政府公表示要认真执行无核政策,各国对此表示怀疑
D、从大部分黑洞来的辐射非常弱,但总的来说,辐射是可以检测得到的
①节能减排,促进低碳经济发展,既是救治全球气候变暖的关键性方案,也是践行科学发展观的重要手段
②低碳经济不一定成本很高,温室气体减排甚至会帮助节省成本,并且不需要很高的技术
③在全球气候变化的大背景下,发展低碳经济正在成为各级部门决策者的共识
④发展低碳经济是关乎每个人的事情,应对全球变暖,关乎地球上每个国家和地区,关乎每一个人
⑤然而,低碳不等于贫困,贫困不是低碳经济,低碳经济的目标是低碳高增长
⑥低碳经济并不是未来需要做的事情,而是应从现在做起
将以上6个句子重新排列,语序正确的是:
2009年12月,藏羚羊基因组序图谱在青海大学医学院宣告绘制完成。
①藏羚羊是中国青藏高原特有的物种,是研究低氧适应性的极佳模式动物,具有珍贵的进化研究价值
②并且,有助于从根本上改善高原居民尤其是青藏高原藏族等世居少数民族的生存状态
③专家认为,此图谱的绘制完成,将为破译慢性高原病发机制提供科学依据
④这是世界上第一部高原濒危物种全基因组序列图谱,也是中国科学家对全球基因组科学的又一重大贡献
将以上4个句子重新排序,使之与前一部分文字组合完整,语序正确的是:
城市是人类文明精华的汇聚之地,数千年来政治、经济、文化和科技的光芒在此交相辉映,然而演进至今,城市却遭遇各种挑战,诸如人口膨胀、饮水卫生、安全隐患、环境污染和交通拥挤等问题日益凸显。如果不加以有效解决,这些问题终将严重制约城市的发展。
这段文字的主旨是:
D、城市要健康发展必须积极有效地应对各种挑战
《毛诗序》说:“情动于中而行于言,言之不足,故嗟叹之,嗟叹之不足,故咏歌之,咏歌之不足,不知手之舞之,足之蹈之也。”这说明人在非常激动,内心情感用语言以至唱歌都难以充分表达的时候,会情不自禁地通过手舞足蹈来抒发。舞蹈表达感情的特点是形神结合,以感情引起体动,以体动表达感情,给人以生动的直观形象。
这段文字意在说明:
A、舞蹈是内心情感的直观形象表现
C、舞蹈的艺术魅力在于能更好地表达内心情感
我们一直跑上最后的观海亭。那里石阶上下都厚厚地堆满了水沫似的雪,亭前的树上,雪着得很重,在雪的下层并结了冰块。旁边有几株山茶花,正在艳开着粉红色的花朵。那些花朵有些堕下来,半掩在雪花里,红白相映,色彩灿然,使我们感到华而不俗,清而不寒,因而联忆起那“天寒翠袖薄,日暮倚修竹”的美人儿来。
这段文字意在强调:
只有儿子做了父亲,这父亲才有觉悟对自己的父亲好起来,可以与父亲共同地衔一枝烟,共同拔下巴上的胡须。但是做父亲的已经丧失了一个男人的真正权势后,对于儿子的能促膝相谈的态度却很有几分苦楚,或许明白这如同一个得胜的将军盛情款待一个败将只能显得人家宽大为怀一样,儿子的恭敬即使出自真诚,父亲在本能的潜意识里仍觉得这是一种耻辱,于是他开始钟爱起孙子了。
这段文字意在叙述:
据悉,寿山石雕作品“春声赋”将在上海世博会福建馆展出。“春声赋”为传统的花鸟题材,一凤一凰与五十六只形态各异的小鸟或栖或飞,环绕在一棵不老松身边,形成众鸟朝凤的欢乐图景,寓意中国五十六个民族团结和睦与新中国繁荣富强。它是用整块名贵高山鸡母窝石历时五年雕刻而成,是福建省寿山石雕最重要的优秀作品之一,价值约一亿三千万人民币。这是寿山石首次参展世博会,将向全球展示寿山石文化的深刻内涵和艺术成就,对提高寿山石在全球范围内的知名度和影响力有着积极的意义。
最适合这则新闻报道的标题是:
B、寿山石雕“春声赋”将参展世博会
D、世博会首现寿山石雕“春声赋”
筷子古名曰“箸”。《史记十二诸侯年表》中有“纣为象箸,而箕子唏”之语。由此可见,筷子的历史似可追溯到公元前11世纪的商纣时期,距今已有3000余年的历史。关于箸之易名为筷,亦有成就。明陆容于其所撰《菽园杂记》卷一中有云:“民间俗讳,各处有之,而吴中为甚。如舟行讳住,讳翻,以箸为快儿,幡布为抹布。”船家希望行船时安稳平顺,到码头捷足先登,亦在情理之中。“快”又大多以竹制成,就在“快”字头上添个“竹”字头,“筷”字乃成。
根据这段文字,可以推导出:
B、名词“筷”这个称谓是在明代出现的
C、筷子是从贵族阶层向劳动阶层普及的
摩天(Skyscraper)一词,最初是船员的专门术语,意思是帆船上的高大的杆或者帆,后来不断演变,逐渐成为建筑中一个特定术语。1883年,“摩天大楼”首现出现在美国一位喜欢幻想的作家所写的《美国建筑师与建筑新闻》文中,这个术语就此诞生了。从那时到现在,人们建造了众多摩天大楼,它们鳞次栉比,耸立在世界各大城市的天空。
根据这段文字,理解不正确的是:
A、联想与类比往往赋予词语以崭新的内容
B、有些词语的意义要先于实物的存在
C、词语的意义随着时间的推移不断扩大
D、船员与作家共同创造了“摩天大楼”这个词语
儒学源远流长、内涵丰富,其内部不仅有子学、经学之分,也有汉学、宋学的对立,每一学术形态下又有不同之派系,故后世有所谓“道统说”以对其内容做出判别、衡定、分析。一种学术思想,虽极其复杂,但不可无一中心,道统即表示一种居中心地位的思想传统。儒家的道统观念由来已久,不过系统表述道统思想的是唐代中期的韩愈。韩愈道统说是在“儒门淡薄”的颓势下,辟佛老、明仁义,重新确立儒学的正统地位,故对后世影响甚大。
根据这段文字,理解不正确的是:
A、道统说因为学术思想的复杂性而出现
B、韩愈是儒学发展史上的标志性人物
D、儒学体系复杂,内部存在一些彼此矛盾的思想
孔子说“以言取人,失之宰予。”宰予在孔子三千弟子中排“言语科”第一,口才当然没得说,可他仅因为白天睡觉一小节,就失去了孔子的信任。孔子说:“始善于人也,听其言而言其行;今吾于人也,听其言而观其行。于予与改是。”孔子毕竟是圣人,很快就领悟到言易行难的道理,不轻信人言,而要察其所为。
根据这段文字,最符合作者意图的是:
C、与行相比,言更容易得到旁人的好感
D、与言相比,普通人更侧重对行的考察
据报载,著名物理学家、英国剑桥大学教授斯蒂芬.霍金宣布他已放弃对“万有理论”(Theory of Everything)的追求,过去他认为人们很快就能找到一个至少能在原则上描述、预测宇宙中所有事物的终极“万有理论”,而现在他认为,人们永远都获得不了这样的理论;因为根据数学中的“哥德尔不完备性定理”,这样的理论根本就不可能有。
根据这段文字,理解不正确的是:
A、任何一种学科的发展都离不开其他学科的支持
B、“哥德尔不完备性定理”比“万有理论”更加接近事物的真相
C、追求真理的道路并不总是一帆风顺的
D、霍金过往对“万有理论”的追求显示了人们不竭的探索精神
从晋代一直到唐代,嘲笑一个人土气缺乏良好教养,不懂得上流社会的卫生习惯,往往就会说此人“不识澡豆”。澡豆是魏晋南北朝时发明的高档卫生清洁用品。此前人们盥洗的时候,去除油污的手段基本上只有米汤、面汤以及天然的皂角。澡豆则是以各种豆子研成的细末作为主料,利用豆角天然具有的去除油污的性能来清洁皮肤。
根据这段文字,可以得出结论的是:
B、澡豆的出现是因为生活水平的提高
D、澡豆的除污能力是米汤、面汤和皂角所远远不及的
光在被照射物体单位面积上所施加的压力叫光压,也被称为辐射压强。根据量子理论,光具有“波粒二象性”,它既是一种电磁波,又是一种粒子,即光子。光子没有静态质量,但有动量。当光子撞击到光滑的平面上时,可以像从墙上反弹回来的兵乓球一样改变运动方向,并给撞击物体以相应的作用力,形成光压。
这段文字主要意在说明:
每年冬天,当向南迁徙的鸟儿飞过英国的大地时,许多爱鸟人都会在庭院里抛种子和燕麦,希望可以帮助鸟群获得足够的能量。但这种做法使10%的黑顶林莺改变了传统的迁徙路线,它们由德国南部和奥地利飞往西南方向的西班牙转而飞向西北方的英国,在那里依赖爱鸟人的供养生存。
这段文字的主旨是:
C、黑顶林莺的天性使得它们改变了迁徙路线
D、人类可以通过自身的行为帮助鸟类
美国研究人员的一项研究显示,非洲最高峰乞力马扎罗山山峰的积雪正在快速融化,20年后乞力马扎罗山山峰的积雪可能消失殆尽。自2000年以来,乞力马扎罗山山峰的积雪减少了26%,2007年时,山峰积雪覆盖的面积比1912年时缩小了85%。造成山峰积雪减少的最主要原因可能是气候变暖,而云的变化和降雪量的变化则是次要因素。
最能反映这段文字原意的是:
A、2007年乞力马扎罗山山峰的积雪覆盖面积是1912年的15%
B、进入21世纪,乞力马扎罗山山峰积雪的融化速度越来越快
C、如果不能改变气候变暖趋势,乞力马扎罗山山峰的积雪可能在20年后消失殆尽
D、进入20世纪,乞力马扎罗山山峰积雪开始融化
当前,由于全球贸易“蛋糕”的缩小,部分经济实体借“反倾销”“特别保护税”之名,行贸易保护主义之实。近年来,由于中国是全球最大的贸易出口国,欧盟、美国等经济实体的对华贸易一直存在巨额逆差,他们对此选择了日益强硬的态度,相关的贸易摩擦日见增多。
根据这段文字,接下来作者最有可能着重讲述:
D、中国如何采取积极措施应对贸易摩擦
“泡沫论”的支持者并非杞人忧天。如果从2008年10月28日的最低点1664点算起,截至2009年8月6日的收盘价3365点,A股涨幅已经超过了100%。而从市盈率和市净率来分析,似乎也很容易得出A股泡沫严重的结论。根据8月3日汤森路透全球主要股市估值和表现对比表,上证综指的静态市盈率和市净率已经分别达到28.03和3.77,在全球股市中名列前茅。
根据这段文字,作者要表明的观点是:
中国造纸工业所用的植物纤维原料中:木材占20%,芦苇占13%,竹子占15%,稻麦草占22%,废纸占30%。而在国外经济比较发达的国家,造纸工业所用的植物纤维原料中:木材占90%,其他(含废纸)只有约10%。目前,世界上一般用于书写、印刷和包装的普通纸,仍旧是以植物纤维为主要原料制成的,约占总产量的95%,其他的纸张则为5%。
这段文字支持的观点是:
A、目前造纸的原料仍然局限于植物纤维原料
C、造纸可以不必以木材为主要原料
D、我国比国外经济比较发达的国家更重视保护木材资源





生态平衡是指在一定时间内生态系统中的生物和环境之间、生物各个种群之间,通过能量流动、物质循环和信息传递,使它们相互之间达到高度适应、协调和统一的状态。在一定限度的干扰下,生态系统能通过自我调节恢复到初始的稳定状态,一旦超过就会衰退乃至崩溃。
根据上述定义, 下列表述不正确的是:
A、草原应设定最大适宜载畜量,才能保证生态平衡
B、应根据环境的自净能力规定污染物的排放量
D、生态系统衰退的主要原因是受到人类的污染
跨媒体制作是指将近期具有一定程度经济效益的作品通过不同传播媒体制作出数种副产品而展开的商业行为。
根据上述定义,下列属于跨媒体制作的是:
A、电视剧《三国演义》改编自罗贯中的小说
B、奥运会开幕式同时采用了动态空中焰火组图、地面LED系统等技术
D、《喜洋洋与灰太狼》电视剧很受欢迎,出现了同名电影
斯德哥尔摩综合症是指被害者被犯罪者控制一段时间后,对犯罪者产生情感,甚至反过来帮助犯罪者的一种情绪。
根据上述定义,下列表述不属于斯德哥尔摩综合症的是:
A、某银行职员被歹徒劫持数日,获救后在歹徒服刑期间与其订婚
B、某甲入户行窃时被主人乙发现,甲持刀威胁乙并逼问其银行卡密码,在对峙中甲被乙制服。乙得知甲因急需大笔钱给母亲治病后深感同情,放走甲并给其一笔钱
C、某年轻姑娘被绑架数年,受尽虐待,侥幸逃离后却不愿报案,并一直和绑架者保持联系
D、甲男以找工作为诱饵,将乙女骗至家乡。乙女几次试图逃脱都未成功,在生了孩子之后便安心在当地生活,并协助甲男从事拐卖人口的活动
“搭便车”是指一些人需要某种公共产品,但事先宣称自己并无需要,在别人付出代价取得后,他们就可不劳而获地享受成果。
根据上述定义,下列不属于“搭便车”现象的是:
C、一部分住户逃避缴纳小区道路维修费用
生物质能是指太阳能以化学能形式贮存在生物质中的能量形式。
根据上述定义,下列不属于生物质能的是:
生物集群灭绝是指在一个相对短暂的地质时段中,在一个以上地理区域范围内,数量众多的生物突然死亡,从而造成生物物种数量短时间突然大幅下降。
根据上述定义,下列属于生物集群灭绝的是:
A、1987年6月6日,最后一只黑海雀死去后,这种南美洲特有的雀科鸣鸟在地球上永远消失了。
B、在过去的40年中,英国本土的鸟类种类减少了54%,本土的野生植物种类减少了28%,而本土蝴蝶的种类更是惊人地减少了71%
C、有研究显示,巴西中西部热带草原地区的163种树木中将有70%以上的树种灭绝
D、距今约2.5亿年前的二叠纪末期,地球上有96%的物种灭绝,其中90%的海洋生物和70%的陆地脊椎动物灭绝
试图使别人积极看待自己的努力是获得性印象管理;而尽可能弱化自己的不足或避免使别人消极地看待自己的防御性措施是保护性印象管理。
根据上述定义,下列属于保护性印象管理的是:
A、小范上班时总是提前半小时到单位把办公室打扫得干干净净,同事都觉得他是一个勤快的人
B、小陈平时不喜欢说话,因为他有时会出现口吃的现象
C、小王读书很认真,获得了“三好学生”的称号
D、小张有些小聪明,喜欢在课堂上抢答
供给诱导需求是指供应商利用优于消费者的资讯,以自身的利益为优先考量,促使消费者购买更多的产品和服务。
根据上述定义,下列不属于供给诱导需求的是:
A、某百货商场为促销,在元旦期间先对某商品进行提价,再以“满200元送50元”的手段促销该商品
B、某超市售货员让顾客免费品尝国外某品牌饮料,并宣称该饮料是该国成功人士的首选
C、林女士凭免费券到某美容店美容时,美容师说其美白产品效果很好,用了能使人年轻10岁,林女士随后订购了一年的美容消费
D、李先生为更换手机到某电器城,他详细咨询了销售员,买到了一部自己称心的手机
帕累托最优是指这样一种社会状态,对于任何一个人来说,如果不使其他某个(或某些)人境况变坏,他的情况就不可能变好。
根据上述定义,下列不符合帕累托最优状态断定的是:
A、处于帕累托最优状态的社会里,只有在有人境况变坏的情况下,才有人境况变好
B、如果有人境况变好,但他人境况没有因此变坏,说明社会并非处于帕累托最优状态
C、对于任何一个人来说,只要使其他人境况变好,他的境况就可能变好。这样的社会,处于帕累托最优状态
D、对于任何一个人来说,只要使其他某个(或某些)人境况变坏,他的情况才可能变好。这样的社会,处于帕累托最优状态
工业产权是指法律规定对应用于生产和流通中的创造发明与显著标记等智力成果在一定期限和地区内享有占有权。
根据上述定义,下列属于工业产权的是:
A、某企业近期购买的某国外先进生产设备
B、某饮料公司开发的饮料秘密配方
C、某服装生产企业经多年打拼创下的西裤品牌
D、某学者在某大学学报上发表的论文
滑翔:飞机
Dos:windows XP
二进制:十进制
茶叶:福建:铁观音
平行四边形:长方形:正方形
B、三角形:等腰三角形:等边三角形
衣柜:衣服:拉链
纸张:印刷:书籍
梅兰芳 之于 京剧 正如 ( ) 之于 ( )
伐木 之于 森林 正如 ( ) 之于 ( )
高粱 之于 白酒 正如 ( ) 之于 ( )
数据显示,全世界收看2006年世界杯足球赛电视转播的观众中,女性就占了39%,在下一届比赛时该比例可望升高。“这是一种新现象,但其价值却被严重低估。”世界第四大广告营销集团阳狮媒体的首席执行长莫里斯·勒维说:“我们显然因此错失了商机。”
由此可以推出:
①2006年世界杯期间的大量广告集中在男性消费品上
②2010年世界杯的女性观众人数可能将首次超过男性观众
③在转播世界杯比赛的电视广告中,将出现越来越多的女性消费品
④2010年世界杯比赛的电视广告中,可能出现更多的女性消费品
白炽灯功率越大,灯光越明亮。100瓦的白炽灯功率高于15瓦的白炽灯功率,因此,100瓦的白炽灯比15瓦的白炽灯明亮。
下列与上述推理最为类似的是:
A、一个人越喜欢看电视和看书,他的近视程度越厉害。老张的爱人比他爱看电视,因此,老张的爱人近视程度比他的近视程度厉害
B、一套房子的面积越大,他的总价越高。老张的房子比同一栋老李的房子面积大,因此,老张的房子比老李的房子贵
C、今年跳远冠军的成绩比前年跳远冠军的成绩好。张华是今年的跳远冠军,因此,他今年的跳远成绩比他前年的好
D、产品质量越高并且广告投入越多,产品需求就越大。甲公司投入的广告费比乙公司的多,因此,对甲公司产品的需求量比对乙公司的需求量大
某年,电信公司投入了巨资改善网络通讯质量和网络覆盖区,结果当年用户增加了20%,但是利润却下降了10%。
最可能的原因是:
D、电信公司为扩大网络覆盖区投入的资金过多
两组学生,其中一组参加了古文训练班,另一组没有参加,在语文考试中,参加过古文训练班的学生比那些没有参加过的学生的平均分数高很多,因此,要想让学生在语文考试中的成绩提高,就必须让他们参加古文训练班。
下列是上述论证所建立的假设是:
B、学生的父母应该教给学生一些古文知识
C、语文成绩的提高与参加古文训练班没有必然的联系
D、只有参加古文训练才能够提高语文成绩
新型平板电脑比传统平板电脑更快捷,它安装了新型操作系统,因此,新型平板电脑的销售情况比传统平板电脑好。
下列最能削弱上述观点的是:
A、某些平板电脑使用者的使用环境和平常人不同
B、传统平板电脑最常用的功能在新型平板电脑中找不到
C、新型平板电脑的操作系统是全新的
D、无论平板电脑使用何种操作系统,使用习惯都因人而异
在甲市,电动自行车一方面方便了居民的出行,另一方面又增加了城市交通压力,形成交通隐患。在甲市居民中形成“放开”和“限制”电动自行车的两种意见。
以下各项如果为真,都只能支持上述某一种意见,除了:
A、甲市为方便市民出行,目前正在改善道路交通管网
B、甲市发生的多起交通事故都是电动自行车占道行驶引起的
C、由于电动自行车出行便利,致使甲市的公交车营业额递减
D、电动自行车厂商是甲市的主要纳税大户
根据医学理论,一个人想要健康就必须有足够的运动量,但是城里人往往是以汽车等交通工具代步,没有足够的运动量。所以,这个医学理论不成立。
下列最可能是上述论证的预设前提的是:
B、有些城里人为了健康很注意运动
C、以交通工具代步对城里人来说是必需的
为了粮食安全,某国家近一年来连续四次下调粮食出口退税率,以抑制粮食出口,但是,该国粮食出口仍然在不断增加,在国际商场上有很强的竞争力。
以上述如果为真,最能支持这一情况的是:
A、国际市场上粮食处于供不应求的状态
B、该国粮食的质量在国际市场上享有很高的声誉
C、该国粮食的价格在下调退税率后仍然比其他国家低
D、该国粮食的产量仍然在不断增加
去年某商品的销售量与前年相比减少一半,市场营销部门调查发现,去年与前年的最大不同是该商品的价格上涨了20%。
下列最可能有效解决商品销售量下滑问题的措施是:
C、根据实际情况,商品价格实行季节浮动价
D、给购买该商品的顾客附赠一个小礼品
甲、乙、丙均为教师,其中一位是大学教师,一位是中学教师,一位是小学教师,并且大学教师比甲的学历高,乙的学历与小学教师不同,小学教师的学历比丙低。
由此可以推出:
A、甲是小学教师,乙是中学教师,丙是大学教师
B、甲是中学教师,乙是小学教师,丙是大学教师
C、甲是大学教师,乙是小学教师,丙是中学教师
D、甲是大学教师,乙是中学教师,丙是小学教师
1,8,28,80,( )
,
,
,
,
,
A、

B、

C、

D、

,
,
,
,
,
A、

B、

C、

D、

假设67代表C,7179代表GO,6778代表CN,那么687389代表:
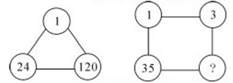
观察左图相邻数字的规律,要使右图相邻数字也符合这个规律,应选择:

田忌与齐威王赛马并最终获胜被传为佳话,假设齐威王以上等马、中等马和下等马的固定程序排阵,那么田忌随机将自己的三匹马排阵时,能够获得两场胜利的概率是:
A、

B、

C、

D、

为估算湖中鲤鱼的数量,某人撒网捕到鲤鱼300条,并对这300条鱼作了标记后又放回湖中,过了一段时,他又撒网一次捕到鲤鱼200条,发现其中鲤鱼有5条有标记,由此他估算湖中鲤鱼的数量约为:
数列
,
,
,
,
,……中,数值最小的项是:
某村有甲乙两个生产小组,总共50人,其中青年人共13人。甲组中青年人与老年人的比例是2:3,乙组中青年人与老年人的比例是1:5,甲组中青年人的人数是:
一只蚂蚁从下图的正方体的
顶点沿正方体的表面爬到正方体的
顶点,设正方体边长为
,问该蚂蚁爬过的最短路程为:

A、

B、

C、

D、

根据以下资料,完成各题。
2009年前三个季度,我国规模以上电子信息制造业扭转了上半年下滑的势头,但比去年同期增速下降10个百分点以上,重点产品增长面逐步扩大。9月,重点监测的27个产品中,14个产品产量出现正增长,比上半年多了3个产品,其中计算机、显示器、彩电、数码相机绩效保持增长,手机,集成电路扭转上个月下降的势头,分别增长2.4%、4.7%。1~8月,规模以上电子信息制造业实现主营业务收入29618亿元,同比下降4.8%,实现利润892亿元,同比下降21.5%,二者降幅分别比1~5月缩小了3.7,19.5个百分点,电子信息11个行业中实现利润增长的行业扩大为4个,其中通信设备、视听产品行业分别增长28.1%、6.4%,计算机、电子元件行业分别下降35.5%、29.4%,电子器件行业扭亏为盈,实现利润35亿元。2009年1~9月,我国规模以上电子信息制造业完成出口交货值20329亿元,同比下降10.6%。1~9月全行业行业实现出口交货值占销售产值的比得为57.6%,比去年同期回落5.7个百分点,1~9月,电子信息产业500万元以上项目完成固定资产投资2808亿元,同比增长17.2%,增速低于去年同期12.1个百分点,低于同期全国制造业增速11.5个百分点。
2008年1~9月,规模以上电子信息制造业出口交货值约为:
2009年1-8月,规模以上电子信息制造业主营业务收入利润率约为:
2008年1~9月,电子信息产业500万元以上项目完成固定资产投资额约为:
2008年1~9月,电子信息制造业全行业实现出口交货值占销售产值的比重约为:
根据以上资料,无法推出的是:
A、2009年上半年,在规模以上电子信息制造业重点监测的27个产品中有11个产品量出现正增长
B、2009年1~9月,电子信息产业500万元以上项目的固定资产投资同比增长超过10%,但增速低于去年同期
C、2009年1~8月,电子器件行业的利润超过30亿元
D、2009年前三季度,在规模以上电子信息制造业重点监测的产品中仅计算机、显示器和彩电保持增长
根据以下资料,完成各题。

2003年~2007年,乙国的年碳排放量最大值与最小值之间的差距为:
2007年两国碳排放量之和比2006年两国碳排放量之和约增加了:
2003年~2007年,甲国平均每年比乙国少排放的碳总量为:
2004~2007年,甲国的年碳排放量与上年相比增长幅度最大的年份是:
根据以上资料,能够推出的是:
A、碳排放量总是呈逐年上升趋势的国家是发展中国家,反之,发达国家的碳排放量总是呈逐年下降
B、2003~2006年,乙国的年碳排放量稳中有升
C、2003~2006年,甲国的每年碳排放量总低于乙国的每年碳排放量总量
D、甲国的年碳排放量的增速远大于乙国
根据以下资料,完成各题。
2000~2008年××省进出口总额

由以上表估算2008年人民币对美元的平均汇率约为:
以2000年为基准,该省2008年的出口总额约增加:
2006~2008年,该省平均每年进出口总额约为:
2000~2008年,该省年贸易顺差达到最大的年份是:
根据以上资料,能够推出的是:
A、2001~2008年,该省每年出口总额相对上年增幅最小的年份是2001年
B、2001~2008年,该省每年出口总额相对上年增幅最大的年份是2001年
C、2001~2008年,该省出口总额呈逐年上升趋势
D、2001~2008年,人民币对美元的平均汇率呈逐年上升的趋势
